知识图谱实体链接:一份“由浅入深”的综述

2020 年 1 月 8 日 PaperWeekly


这个世界充斥着无数的结构化数据(wiki)和非结构化数据(web),然而,如何将两者有效地集成仍然是个非常困难的问题。

作者丨Nicolas

单位丨追一科技AI Lab研究员

研究方向丨信息抽取、机器阅读理解


本文介绍实体链接(Entity Linking)这一技术方向,会先从最基础的概念讲起,然后对 EL 中的三个主要模块做一个清晰的梳理。在此基础上,选取三篇比较有代表性的论文,详述其中的核心方法和思想。


EL入门


1. 任务定义  

实体链接,就是把文本中的 mention 链接到 KG 里的 entity 的任务。如下图所示 [1]

▲ Entity Linking示意图

有些读者可能对知识图谱的概念不甚了解,这边先解释一下图谱里常用的一些概念。 

Knowledge Graph(知识图谱): 一种语义网络,旨在描述客观世界的概念实体及其之间的关系,有时也称为 Knowledge Base(知识库)。 

  • 图谱由三元组构成:<实体1,关系,实体2> 或者 <实体,属性,属性值>; 

  • 例如:<姚明,plays-in,NBA>、<姚明,身高,2.29m>; 

  • 常见的KB有:Wikidata、DBpedia、YOGO。 


Entity(实体): 实体是知识图谱的基本单元,也是文本中承载信息的重要语言单位。 

Mention(提及): 自然文本中表达实体的语言片段。 

回过头再看,上面的这个图中,“乔丹”、“美国”、“NBA”这些蓝色的片段都是 mention,其箭头所指的“块块”就是它们在图谱里对应的 entity。 

2. 几个应用  

EL 有什么用呢?一般有 KB 的地方就离不开 EL。以下是 EL 的几个应用 [2] : 

Question Answering: EL 是 KBQA 的刚需,linking 到实体之后才能查询图数据库; 

Content Analysis: 舆情分析、内容推荐、阅读增强;  

Information Retrieval: 基于语义实体的搜索引擎,google 搜索一些实体,右侧会出现 wikipedia 页面; 

Knowledge Base population: 扩充知识库,更新实体和关系。 

3. Taxonomy

▲ Taxonomy

大体来说,EL 的工作可以分为两类 [3]

End-to-End: 先从文本中提取到实体 mention(即 NER),对应到候选实体,然后将提取到的 entities 消除歧义,映射到给定的 KB 中。 

Linking-Only: 与第一种方法对比,跳过了第一步。该方法直接将 text 和 mention 作为输入,找到候选实体并消除歧义,映射到给定的 K B中。 

由于端到端的工作比较少,且 NER 也没太多可讲的。本文着重介绍 Linking-Only 的相关技术方向和工作。

EL的三大模块


EL 的工作非常有挑战性,主要有两个原因: 

1. Mention Variations: 同一实体有不同的 mention。(<科比>:小飞侠、黑曼巴、科铁、蜗壳、老科) 

2. Entity Ambiguity: 同一 mention 对应不同的实体。(“苹果”:中关村苹果不错;山西苹果不错) 

针对上述两个问题,一般会用 Candidate Entity Generation (CEG) 和 Entity Disambiguation (ED) 两个模块 [2] 来分别解决: 

1. Candidate Entity Generation: 从 mention 出发,找到 KB 中所有可能的实体,组成候选实体集(candidate entities); 

2. Entity Disambiguation: 从 candidate entities 中,选择最可能的实体作为预测实体。 

下面我们来讲讲这两个模块里都有些啥东西。其中,CEG 的方法都比较朴素,没什么可讲的,笔者会把重点放在 ED 上。 

1. Candidate Entity Generation (CEG) 

最重要的方法:Name Dictionary ( {mention: entity} ) 

哪些别名:首字母缩写、模糊匹配、昵称、拼写错误等。 

构建方法: 

  • Wikipedia (Redirect pages, Disambiguation pages, Hyperlinks); 

  • 基于搜索引擎:调 google api,搜 mention。若前 m 个有 wiki entity,建立 map; 

  • Heuristic Methods; 

  • 人工标注、用户日志。 


CEG 这部分,最主流也最有效的方法就是 Name Dictionary,说白了就是配别名。虽然 CEG 很朴素,但作为 EL 任务中的第一道门槛,其重要性不言而喻。对于每一个 entity,紧凑而充分地配置别名,才能保证生成的 candidate entites 没有遗漏掉 ground truth entity。 

具体的,要配置哪些别名,要用什么构建方法,往往取决于 EL 的使用场景。比如做百科问答或是通用文本的阅读增强,就很依赖于 wikipedia 和搜索引擎;但如果是某个具体的行业领域,就需要通过一些启发式的方法、用户日志、网页爬取,甚至人工标注的方法来构建 Name Dictionary。 

2. Entity Disambiguation (ED) (手动划重点) 

Features: 
  • Context-Independent Features:

    • LinkCount: #(m->e),知识库中某个提及 m 指向实体 e 的次数; 

    • Entity Attributes: Popularity, Type; 

  • Context-Dependent Features:

    • Textual Context: BOW, Concept Vector 

    • Coherence Between Entities: WLM, PMI, Jaccard Distance 


实体消歧时,不同场景的特征选取是非常重要的。总的来说,实体消歧的特征分为,context 独立和 context 不独立的。 

特征里,独立的有:mention 到实体的 LinkCount、实体自身的一些属性(比如热度、类型等等)。其中,LinkCount 作为一个先验知识,在消歧时,往往很有用,比如当我们在问“姚明有多高?”时,大概率都是在问<篮球运动员姚明>,而不是其他不为人知的“姚明”。

虽然 context 中完全没有包含篮球运动员这一信息,但大多数情况下,根据“姚明”到<篮球运动员姚明>的 LinkCount 最高,选其作为实体进行查询,都会是一个不错的答案。 

不独立的有:文本的 context、实体间的 coherence(一致性)。这部分,可深入挖掘的东西比较多,文本 context 可以用一些深度学习的方法去深度理解文本的语义,从而实现消歧;实体间的一致性更加有趣,由于文本包含的所有的 mention 都没有确定,所以全局地进行 entities 的消歧实际上是一个 NP-hard 的问题。因此,如何更加快速有效地利用一致性特征,是一个非常有趣的方向。 

基于这些常用的特征,消歧的方法可以大致分为以下几种: 

Learning to Rank Methods: Point-wise、Pair-wise、List-wise。由于 ED 任务 ground truth 只有一个实体,一般都是用 point-wise 来做。输入是文本的 context、mention、某个 entity 的一些 attributes,输出 mention 指向该 entity 的置信度,以此 rank,选出最可信的 entity; 

Probabilistic Methods:  Incorporate heterogeneous knowledge into a probabilistic model。结合不同信息,得到条件概率 P(e|m,c),其中 c 是输入文本,e 为实体, m 是 mention。比如用归一化的 LinkCount 信息,作为先验概率 P(e|m); 

Graph-Based Approaches: maximize coherene between entities。利用图特征(entity embedding、relation),在消歧时,考虑全局消歧后实体的一致性; 

一般来说,现在的 ED 工作都会综合以上的方法来设计,后面我们会具体介绍几篇近期的论文,大家可以对照这三类方法看看。 

3. 还有个小问题:Unlinkable Mention Prediction  

除了上面的两大模块,还有一个小问题,就是如何拒识掉未知实体,毕竟你不可能建立一个能穷举万物的 KB。这就涉及到 Unlinkable Mention Prediction,不是很复杂,一般就三种做法: 

NIL Threshold:  通过一个置信度的阈值来卡一下;  

Binary Classification: 训练一个二分类的模型,判断 Top-rankeded Entity 是否真的是文中的 mention 想要表达的实体; 

Rank with NIL: 在 rank 的时候,在候选实体中加入 NIL Entity。 

一般就阈值卡一下就好了,不是太大的问题。但如果具体的场景是做 KB Population 且实体还不是很全的时候,就需要重点关注一下了。

EL的近期工作


为了让读者能更清楚地了解 EL,笔者在这里选取了三篇近两年出的,比较有代表性的工作 [4] [5] [6] ,给大家具体讲讲: 

1. Deep Joint Entity Disambiguation with Local Neural Attention. (Ganea and Hofmann, 2017, EMNLP) 


2. Improving entity linking by modeling latent relations between mentions. (Le et al., 2018, ACL) 


3. DeepType: multilingual entity linking by neural type system evolution. (Raiman et al., 2018, AAAI) 


1. Deep Joint Entity Disambiguation with Local Neural Attention 

早期的 EL 工作都非常依赖 manually-designed 的特征,这篇文章是 EL 领域第一篇不依赖特征工程,用深度学习来学习基础特征的工作。主要的创新点和关键部件有三个: 

  • Entity Embeddings: 用到了知识库里实体的 embedding; 

  • Context Attention: 用 attention 机制来获得 context 的表征; 

  • Collective Disambiguation: 考虑实体间的 coherence,联合消歧。


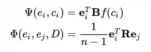
给定文本 D,其中有一堆 mention   对应的实体为 ,对应的 context 为 ,对应的候选实体集为 。文章提出了两种模型:Local model、Global model。local 只考虑 mention 的 context;global 还需要考虑实体间的一致性,联合消歧。

Local model: 令   为local score function,local model 要解决的问题即: 


Global model:  除了 context,还考虑实体间的 coherence(为了简化,只考虑两元一致性)。令   为实体之间的 pair-wise coherence score function,,全局搜索:


Local and pair-wise score function 的计算方法如下:


其中,   是实体  的 embedding, 是对角矩阵。 是在上下文 上取 attention 后的表征,具体的 attention 计算如下图所示:

▲  Local Model里的Attention机制

这里是用 candidate entity embeddings 做 key,context word embeddings 做 value,得到 score matrix 之后,按列取 max,如果某个 word 的 score 较高表示这个 word 至少和一个 entity 相关度高。为了去除 stop words 的影响,作者只取了 top R 的 score,剩下的置为负无穷。 

得到 score 后,还会结合 m 到 e 的 LinkCount 先验概率,计算出最终各个实体的概率。该工作在 AIDA 数据集上取得了 SOTA ( local: 88.8、global: 92.22)。 

2. Improving entity linking by modeling latent relations between mentions 

上一篇论文开创性地在 EL 中引入 entity embedding 作为信息,很自然的,我们会思考一个问题,KB 中还有别的可利用的信息吗?参考本文一开始的那张图片,“乔丹”、“美国”、“Nike”这些实体之间还有着“公民”、“赞助商”等关系信息,显然,若加以利用,一定能成大器。 

于是 Le et al. 在 Ganea and Hofmann 工作的基础上,增加了隐关系信息。假定图谱中有 K 个关系,令   之间为关系 k 的置信度为 ,上文中的 pair-wise coherence score function 可以写成:


其中,  都是用来表示关系 k 的对角矩阵(类似于关系 k 的 embedding),  为归一化因子, 为将  映射到 的函数。这样一来,我们就隐式地添加了关系 k,丰富了计算全局实体一致性时所参考的信息。 

看起来很 fancy!但是有一个问题,这个归一化因子我们要咋算呢?作者提供了两种思路: 

1. Rel-norm:  Relation-wise normalization。就是以关系 k 维度来 norm; 

2. Ment-norm: Mention-wise Normalization。就是以实体 j 维度来 norm。

▲  两种norm方式的示意图

看一下上面这张图,就很清晰了。该工作在 AIDA 数据集上得到了新的 SOTA (global: 93.07)。 

3. DeepType: multilingual entity linking by neural type system evolution 

前两篇论文都是在联合消歧的这个角度,做了一定的工作。DeepType 这篇文章则另辟蹊径,从优化知识库的 type 系统来做。文章很重要的一个观点是:当我们能预测出实体 mention 的 type,消歧这个任务就做的差不多了。EL 系统主要分成三个模块:

1. Type System: 一组正交的 type 轴和一个 type 标注函数;
 
  • type 轴:一组互斥的 type 集合 A (e.g. {IsHuman} ∩ {IsPlant} = {}) 

  • type 标注函数:

  • 举个例子,假定一个包含两个轴 {IsA, Topic} 的 type 系统,<追一科技>对应的就是 {公司,人工智能} 


2. Type Classifier:  给定 mention 和 text,输出 mention 对应实体的 type; 

3. Entity Prediction Model:  给定 mention、text 和候选实体,预测概率最高的实体(文中直接用的 LinkCount)。

很显然,这三个模块的核心点在于 Type System 的构建。由于 Entity Prediction Model 是直接用的 LinkCount,实际上整个 EL 系统就只有两组参数,一组是 Type System 的离散参数 A,一组是 Type Classifier 的连续参数 θ。给定 text 及其所含的 mention:


其中   为 ground truth 的实体, 为候选实体集,令  为 EL 系统的消歧准确率,则我们的问题可以定义为:


其中:


这个 entity score 可以看成是给定 m 后,EL 系统给出的置信度,后面会给具体公式。 

同步优化两组参数很耗时,因此文章分成 Type System 和 Type Classfier 两个部分独立优化。

a. Discrete Optimization of Type System: 

为了避免同时训练 Type System 和 Type Classifier,我们得先固定 classifier,然后优化 Proxy Objective  ,这里我们假设两个 classifier model 的极端: 

1. Oracle(极端优秀):假设 Type Classifier 开了天眼,不管 A 咋变,都能预测对 mention 的 type,然后从该 type 对应的候选实体集的子集中选 LinkCount 最高的,令:




2. Greedy(极端蠢):不预测 type,直接从候选实体集中选 linkcount 最高的。


最简单的思路直接   其实就完事了,但是我们要考虑到真正的 classifier 并没有开天眼,假设 classifier 的 Learnability(学习能力)是 l(A),那么更合理的目标函数应该是:


但是怎么才能不依赖 A 去计算学习能力呢,如果是用 softmax 多分类,那就糟了,每换一次 A,就得重新训练一个 classifier。因此作者巧妙的用二元分类器代替了多分类,令:


这样就只需要最开始计算一次就好了,如下图所示:

▲  a为训练type系统时的classifier,b为后面真正用的classifier

b. Type Classifier 

就按照上图 b 优化就是了,没什么可说的。 

c. Inference 

在训练完 Type System 和 Type Classifier 之后,我们就可以计算我们上面说的 EntityScore 了:



其中  是 k 个 type 组成 type 轴,α,β∈(0,1) 是 smoothing 系数。最终在 AIDA 数据集上取得了新的 SOTA(94.88)。


4. 三篇论文效果对比和思考



前两篇都是联合消歧的,而 DeepType 其实是个 Local 模型。这么看来,如果考虑联合消歧的话,应该还会有提升。


总结


Entity Linking 其实算是个很复杂的技术领域,因为优化过程中,不仅要考虑 text 的文本信息、KB 的信息、消歧后的一致性,还需要根据具体的业务场景采用不同的方案,同时也不能为了效果去暴力搜索 NP-hard 的离散优化问题。在具体实施的过程中不可能面面俱到,需要一定程度的 trade-off。总结起来,四大特征:LinkCount、Context、Attributes、Coherence。方法千千万,大家灵活运用。


Appendices


数据集:


1. Knowledge Base:Wikipedia, YAGO, DBpedia, Freebase; 

2. EL 监督数据: 

  • 中文:

    https://www.biendata.com/competition/ccks_2019_el/data/
  • 英文:

    • TAC KBP 2010 EL: 

      https://catalog.ldc.upenn.edu/LDC2019T02

    • AIDA CoNLL-YAGO: 

      https://www.mpi-inf.mpg.de/departments/databases-and-information-systems/research/yago-naga/aida/downloads/


一个不错的多因子消歧总结:

https://cloud.tencent.com/developer/article/1491361 


ccks实体链接第一名方案:

https://github.com/panchunguang/ccks_baidu_entity_link 


DeepType原作博客(有一些可玩的插件):

https://openai.com/blog/discovering-types-for-entity-disambiguation/

References


[1] 韩先培,实体链接:从文本到概念:
https://docs.huihoo.com/infoq/baidu-salon51-entity-links.pdf 
[2] Wei Shen, Jiawei Han: Entity Linking with a Knowledge Base: Issues, Techniques, and Solutions. 
http://dbgroup.cs.tsinghua.edu.cn/wangjy/papers/TKDE14-entitylinking.pdf 
[3] Sebastian Ruder: NLP Progress of Entity Linking. 
https://github.com/sebastianruder/NLP-progress/blob/master/english/entity_linking.md 
[4] Ganea and Hofmann, 2017, EMNLP: Joint Entity Disambiguation with Local Neural Attention. 
https://arxiv.org/abs/1704.04920Deep 
[5] Le et al., 2018, ACL: Improving entity linking by modeling latent relations between mentions. 
https://arxiv.org/abs/1804.10637 
[6] Raiman et al., 2018, AAAI: DeepType: multilingual entity linking by neural type system evolution. 
https://arxiv.org/abs/1802.01021



点击以下标题查看更多往期内容: 






#投 稿 通 道#

 让你的论文被更多人看到 



如何才能让更多的优质内容以更短路径到达读者群体,缩短读者寻找优质内容的成本呢?答案就是:你不认识的人。


总有一些你不认识的人,知道你想知道的东西。PaperWeekly 或许可以成为一座桥梁,促使不同背景、不同方向的学者和学术灵感相互碰撞,迸发出更多的可能性。 


PaperWeekly 鼓励高校实验室或个人,在我们的平台上分享各类优质内容,可以是最新论文解读,也可以是学习心得技术干货。我们的目的只有一个,让知识真正流动起来。


📝 来稿标准:

• 稿件确系个人原创作品,来稿需注明作者个人信息(姓名+学校/工作单位+学历/职位+研究方向) 

• 如果文章并非首发,请在投稿时提醒并附上所有已发布链接 

• PaperWeekly 默认每篇文章都是首发,均会添加“原创”标志


📬 投稿邮箱:

• 投稿邮箱:hr@paperweekly.site 

• 所有文章配图,请单独在附件中发送 

• 请留下即时联系方式(微信或手机),以便我们在编辑发布时和作者沟通




🔍


现在,在「知乎」也能找到我们了

进入知乎首页搜索「PaperWeekly」

点击「关注」订阅我们的专栏吧



关于PaperWeekly


PaperWeekly 是一个推荐、解读、讨论、报道人工智能前沿论文成果的学术平台。如果你研究或从事 AI 领域,欢迎在公众号后台点击「交流群」,小助手将把你带入 PaperWeekly 的交流群里。


▽ 点击 | 阅读原文 | 获取最新论文推荐

登录查看更多
9

相关内容

【天津大学】知识图谱划分算法研究综述
专知会员服务
111+阅读 · 2020年4月27日
中文知识图谱构建技术以及应用的综述
专知会员服务
317+阅读 · 2019年10月19日
[综述]基于深度学习的开放领域对话系统研究综述
专知会员服务
80+阅读 · 2019年10月12日
知识图谱本体结构构建论文合集
专知会员服务
110+阅读 · 2019年10月9日
技术动态 | 知识图谱上的实体链接
开放知识图谱
69+阅读 · 2019年9月8日
论文浅尝 | 基于属性嵌入的知识图谱间实体对齐方法
开放知识图谱
30+阅读 · 2019年3月26日
论文浅尝 | 知识图谱相关实体搜索
开放知识图谱
14+阅读 · 2018年12月18日
论文浅尝 | 基于多原型mention向量的文本-实体联合学习
论文浅尝 | 基于Freebase的问答研究
开放知识图谱
5+阅读 · 2018年3月26日
经典论文解读 | 基于Freebase的问答研究
PaperWeekly
3+阅读 · 2018年3月22日
【知识图谱】中文知识图谱构建方法研究
产业智能官
99+阅读 · 2017年10月26日
Arxiv
15+阅读 · 2019年11月26日
Arxiv
20+阅读 · 2019年9月7日
Arxiv
12+阅读 · 2019年2月26日
Arxiv
4+阅读 · 2018年11月6日
Arxiv
7+阅读 · 2018年8月28日
Arxiv
26+阅读 · 2018年2月27日
VIP会员
相关资讯
技术动态 | 知识图谱上的实体链接
开放知识图谱
69+阅读 · 2019年9月8日
论文浅尝 | 基于属性嵌入的知识图谱间实体对齐方法
开放知识图谱
30+阅读 · 2019年3月26日
论文浅尝 | 知识图谱相关实体搜索
开放知识图谱
14+阅读 · 2018年12月18日
论文浅尝 | 基于多原型mention向量的文本-实体联合学习
论文浅尝 | 基于Freebase的问答研究
开放知识图谱
5+阅读 · 2018年3月26日
经典论文解读 | 基于Freebase的问答研究
PaperWeekly
3+阅读 · 2018年3月22日
【知识图谱】中文知识图谱构建方法研究
产业智能官
99+阅读 · 2017年10月26日
Top
微信扫码咨询专知VIP会员