开源的语音合成系统WORLD介绍以及使用方法

2018 年 1 月 28 日 深度学习每日摘要 DLdigest

题图:桑德罗·波提切利《维纳斯的诞生》

WORLD是一个基于C语言的开源语音合成系统,语音合成主要包括波形拼接和参数合成两种方法,WORLD是一种基于vocoder的参数合成方法,它相比于STRAIGHT的优势是减少了计算复杂度,并且可以应用于实时的语音合成。由于STRAIGHT不是开源的系统,并且在WORLD论文中已经对比了WORLD相比于STRAIGHT无论是在合成的音频质量上还是合成速度上都处于领先优势,所以这里我不准备介绍STRAIGHT,我们今天主要讲一下WORLD语音合成系统的原理以及使用方法。

WORLD系统如下图所示,包含三个模块,分别是DIO、CheapTrick、PLATINUM,其中DIO的作用是用来估计一段波形的Fundamental Frequency(简称F0),CheapTrick算法是根据波形和F0来计算spectral envelope,PLATINUM算法是基于波形、F0和spectral envelope来计算aperiodic parameter,下面我们来分别看这些参数的计算原理。


1. F0的计算

F0在维基百科中的定义是:当发声体由于振动而发出声音时,声音一般可以分解为许多单纯的正弦波,所有的自然声音基本都是由许多频率不同的正弦波组成的,其中频率最低的正弦波即为基音,而其他频率较高的正弦波则为泛音,即这些不同正弦波中的最低频率称为基频。F0是一种非常常用的可以表示声音的特征,在WORLD中,F0的计算是基于DIO算法,DIO算法主要包含如下三个步骤:

第一步:使用不同的截止频率的低通滤波器,如果滤波后的信号只包含基频,那么它就是一个正弦波,由于事先我们对F0并不知晓,需要多次试探,所以在这一步中会有很多不同截止频率的滤波器被使用;


第二步:计算每一个滤波后的信号中的候选基频以及可信度,由于只包含基频的信号应该是一个正弦波,因此如下图所示,四个区间的跨度应该基本相等,我们可以计算四个跨度的平均值,用这个值的倒数来表示候选基频。同时,计算这四个跨度的标准差来作为衡量基频可信度的指标,标准差越大,说明跨度长短差异较大,那么取此频率作为基频的可信度就较低。


第三步:选取可信度最高的候选基频作为最终的基频。

2. 用于估计频谱包络的CheapTrick算法

首先,我们需要明白什么是语音的频谱包络,语音是一个时序信号,例如对于一个采样频率为16kHz的音频文件,意味着在这个音频中,每一秒包含16000个采样点,这些采样点在计算机中以某种数据形式进行存储着(例如常见的有16bit整型),当我们使用矩形窗函数对一段音频进行处理,它就被划分成多个帧,于是得到了多个子序列,然后对每个子序列进行傅里叶变换操作,就得到了频率-振幅图,将这些图在时间维度上展现出来,就得到了这个语音文件的spectrogram。一张实际的spectrogram如下图所示。

频谱包络实际上是在一个频率-振幅图中,将每个频率共振峰用平滑的曲线连接起来,而这个平滑的曲线就是语音的频谱包络,下图展示了频谱包络在频谱图中的位置。

确定这个频谱包络的算法有很多,例如常见的是倒谱法(Cepstrum,有趣的是,cepstrum与spectrum两个单词只是开头四个字母翻转了位置而已,这其实也暗示了它们的物理含义有某种巧合的关联...),在WORLD中,使用的是CheapTrick算法来估计频谱包络,该算法工作流程如下:

首先,对信号添加Hanning window,然后对windowed之后的信号计算其功率,公式如下(1)所示;


其次,使用矩形窗函数对功率谱进行平滑化,公式如下(2)所示;


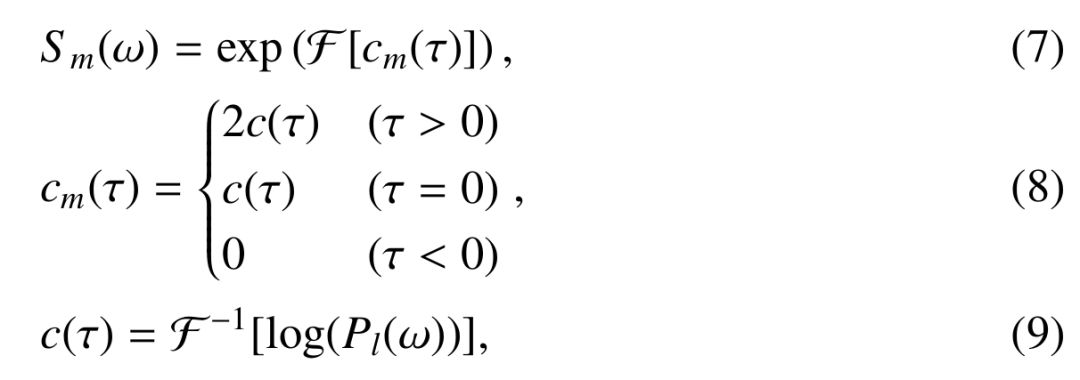
最后,计算功率谱的倒谱,并做倒谱提升,公式如下(3)(4)(5)(6)所示;

最终得到的Pl(w)就是我们所需要的频谱包络。

3. Aperiodic参数提取算法

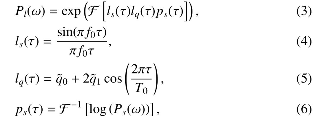
aperiodic是与混合激励相关的参数,为了获得自然的声音,激励源不能只使用周期信号,也需要包含一些非周期信号。在WORLD中,aperiodic参数可以直接基于波形、F0、频谱包络来计算得到。这种算法叫做PLATINUM,它的工作流程如下:

首先,对波形添加宽度为2T0的窗函数,并计算得到其频谱X(w);
将X(w)除以最小相谱Sm(w)得到Xp(w),公式如(11)所示;
对Xp(w)进行逆iFFT,即可得到激励信号,公式如(10)所示;

最终的语音合成是通过将最小相谱与激励信号进行卷积得到。

最后,来看一下如何调用WORLD来合成一段语音以及合成的效果。WORLD源代码是基于C语言的,但是WORLD也有一个Python wrapper库——PyWorld,为了代码简洁起见,这里我们使用PyWorld来演示。

在终端运行pip install pyworld以及pip install soundfile即可安装PyWorld库,该库中提供了一个demo代码,可以用来演示语音合成。下面一段代码就是使用WORLD库来提取音频特征,并将此特征基于vocoder合成新的音频,原始音频和新的音频的波形图对比如下图所示。

#获取音频的采样点数值以及采样率
x, fs = sf.read('utterance/vaiueo2d.wav')

#使用DIO算法计算音频的基频F0
_f0, t = pw.dio(x, fs, f0_floor=50.0, f0_ceil=600.0,                channels_in_octave=2,                frame_period=args.frame_period,                speed=args.speed)

#使用CheapTrick算法计算音频的频谱包络
_sp = pw.cheaptrick(x, _f0, t, fs)

#计算aperiodic参数
_ap = pw.d4c(x, _f0, t, fs)

#基于以上参数合成音频
_y = pw.synthesize(_f0, _sp, _ap, fs, args.frame_period)

#写入音频文件
sf.write('test/y_without_f0_refinement.wav', _y, fs)


下图是原始波形与合成后音频的波形对比,上图是原始波形,下图是合成后的音频波形,可以看到,基本保持一致。由于公众号文章只能上传一段音频,因此这里我只能上传合成后的音频。


WORLD语音合成系统可以根据F0、spectral envelope、aperiodic三个参数来合成一段语音,因此,在前沿的语音合成研究中,会通过深度学习技术学习到一段文本所对应的这三个特征,然后借助WORLD合成为语音。


你可能会感兴趣的文章有:

漫谈语音合成之Char2Wav模型

漫谈Capsule Network基本原理

漫谈机器阅读理解之Facebook提出的DrQA系统

详解TensorFlow Eager命令式执行环境

动态层归一化(Dynamic Layer Normalization)

端对端的深度卷积神经网络在语音识别中的应用

SampleRNN语音合成模型

详述DeepMind wavenet原理及其TensorFlow实现

Layer Normalization原理及其TensorFlow实现

Batch Normalization原理及其TensorFlow实现

Maxout Network原理及其TensorFlow实现

时延神经网络(TDNN)原理及其TensorFlow实现

ConvLSTM原理及其TensorFlow实现

Network-in-Network原理及其TensorFlow实现

如何基于TensorFlow实现ResNet和HighwayNet

详解TensorFlow的新seq2seq模块及其用法

TensorFlow seq2seq中的Attention机制(续)

深度学习每日摘要|坚持技术,追求原创

微信ID:deeplearningdigest
长按二维码关注我
登录查看更多
2

相关内容

语音合成(Speech Synthesis),也称为文语转换(Text-to-Speech, TTS,它是将任意的输入文本转换成自然流畅的语音输出。语音合成涉及到人工智能、心理学、声学、语言学、数字信号处理、计算机科学等多个学科技术,是信息处理领域中的一项前沿技术。 随着计算机技术的不断提高,语音合成技术从早期的共振峰合成,逐步发展为波形拼接合成和统计参数语音合成,再发展到混合语音合成;合成语音的质量、自然度已经得到明显提高,基本能满足一些特定场合的应用需求。目前,语音合成技术在银行、医院等的信息播报系统、汽车导航系统、自动应答呼叫中心等都有广泛应用,取得了巨大的经济效益。 另外,随着智能手机、MP3、PDA 等与我们生活密切相关的媒介的大量涌现,语音合成的应用也在逐渐向娱乐、语音教学、康复治疗等领域深入。可以说语音合成正在影响着人们生活的方方面面。
最新《自动微分手册》77页pdf
专知会员服务
103+阅读 · 2020年6月6日
基于深度学习的表面缺陷检测方法综述
专知会员服务
89+阅读 · 2020年5月31日
【纽约大学】最新《离散数学》笔记,451页pdf
专知会员服务
131+阅读 · 2020年5月26日
【综述】关键词生成,附10页pdf论文下载
专知会员服务
54+阅读 · 2019年11月20日
知识图谱更新技术研究及其应用,复旦大学硕士论文
专知会员服务
106+阅读 · 2019年11月4日
语音识别中的CTC算法的基本原理解释
数盟
4+阅读 · 2018年6月24日
漫谈语音合成之Char2Wav模型
深度学习每日摘要
8+阅读 · 2017年12月31日
小米的语音识别系统是如何搭建的
深度学习每日摘要
5+阅读 · 2017年9月3日
EKF常用于目标跟踪系统的扩展卡尔曼滤波器
无人机
10+阅读 · 2017年7月25日
A Survey on Bayesian Deep Learning
Arxiv
64+阅读 · 2020年7月2日
Talking-Heads Attention
Arxiv
15+阅读 · 2020年3月5日
VIP会员
相关资讯
语音识别中的CTC算法的基本原理解释
数盟
4+阅读 · 2018年6月24日
漫谈语音合成之Char2Wav模型
深度学习每日摘要
8+阅读 · 2017年12月31日
小米的语音识别系统是如何搭建的
深度学习每日摘要
5+阅读 · 2017年9月3日
EKF常用于目标跟踪系统的扩展卡尔曼滤波器
无人机
10+阅读 · 2017年7月25日
Top
微信扫码咨询专知VIP会员