【重点】Batch Normalization的诅咒

2020 年 10 月 31 日 深度学习自然语言处理

点击上方,选择星标置顶,每天给你送干货

阅读大概需要9分钟

跟随小博主,每天进步一丢丢


作者:Sahil Uppal

编译:ronghuaiyang

来自:AI公园

导读

batch normalization时的一些缺陷。


Batch Normalization确实是深度学习领域的重大突破之一,也是近年来研究人员讨论的热点之一。Batch Normalization是一种被广泛采用的技术,使训练更加快速和稳定,已成为最有影响力的方法之一。然而,尽管它具有多种功能,但仍有一些地方阻碍了该方法的发展,正如我们将在本文中讨论的那样,这表明做归一化的方法仍有改进的余地。

我们为什么要用Batch Normalization?

在讨论任何事情之前,首先,我们应该知道Batch Normalization是什么,它是如何工作的,并讨论它的用例。

什么是Batch Normalization

在训练过程中,当我们更新之前的权值时,每个中间激活层的输出分布会在每次迭代时发生变化。这种现象称为内部协变量移位(ICS)。所以很自然的一件事,如果我想防止这种情况发生,就是修正所有的分布。简单地说,如果我的分布变动了,我会限制住这个分布,不让它移动,以帮助梯度优化和防止梯度消失,这将帮助我的神经网络训练更快。因此减少这种内部协变量位移是推动batch normalization发展的关键原则。

它如何工作

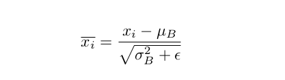
Batch Normalization通过在batch上减去经验平均值除以经验标准差来对前一个输出层的输出进行归一化。这将使数据看起来像高斯分布

其中μ和*σ^2^*分别为批均值和批方差。

并且,我们学习了一个新的平均值和协方差γβ。所以,简而言之,你可以认为batch normalization是帮助你控制batch分布的一阶和二阶动量。

vgg16网络的中间卷积层的特征分布输出。(左)没有任何归一化,(右)应用了batch normalization

优点

我将列举使用batch normalization的一些好处,但是我不会详细介绍,因为已经有很多文章讨论了这个问题。

  • 更快的收敛。
  • 降低初始权重的重要性。
  • 鲁棒的超参数。
  • 需要较少的数据进行泛化。

1. 更快的收敛,2. 对超参数更鲁棒

Batch Normalization的诅咒

好,让我们回到本文的出发点,在许多情况下batch normalization开始伤害性能或根本不起作用。

在使用小batch size的时候不稳定

如上所述,batch normalization必须计算平均值和方差,以便在batch中对之前的输出进行归一化。如果batch大小比较大的话,这种统计估计是比较准确的,而随着batch大小的减少,估计的准确性持续减小。

ResNet-50在Batch Norm使用32、16、8、4、2张/GPU图像时的验证错误

以上是ResNet-50的验证错误图。可以推断,如果batch大小保持为32,它的最终验证误差在23左右,并且随着batch大小的减小,误差会继续减小(batch大小不能为1,因为它本身就是平均值)。损失有很大的不同(大约10%)。

如果batch大小是一个问题,为什么我们不使用更大的batch?我们不能在每种情况下都使用更大的batch。在finetune的时候,我们不能使用大的batch,以免过高的梯度对模型造成伤害。在分布式训练的时候,大的batch最终将作为一组小batch分布在各个实例中。

导致训练时间的增加

NVIDIA和卡耐基梅隆大学进行的实验结果表明,“尽管Batch Normalization不是计算密集型,而且收敛所需的总迭代次数也减少了。”但是每个迭代的时间显著增加了,而且还随着batch大小的增加而进一步增加。

ResNet-50 在ImageNet上使用 Titan X Pascal

你可以看到,batch normalization消耗了总训练时间的1/4。原因是batch normalization需要通过输入数据进行两次迭代,一次用于计算batch统计信息,另一次用于归一化输出。

训练和推理时不一样的结果

例如,在真实世界中做“物体检测”。在训练一个物体检测器时,我们通常使用大batch(YOLOv4和Faster-RCNN都是在默认batch大小= 64的情况下训练的)。但在投入生产后,这些模型的工作并不像训练时那么好。这是因为它们接受的是大batch的训练,而在实时情况下,它们的batch大小等于1,因为它必须一帧帧处理。考虑到这个限制,一些实现倾向于基于训练集上使用预先计算的平均值和方差。另一种可能是基于你的测试集分布计算平均值和方差值。

对于在线学习不好

与batch学习相比,在线学习是一种学习技术,在这种技术中,系统通过依次向其提供数据实例来逐步接受训练,可以是单独的,也可以是通过称为mini-batch的小组进行。每个学习步骤都是快速和便宜的,所以系统可以在新的数据到达时实时学习。

典型的在线学习pipeline

由于它依赖于外部数据源,数据可能单独或批量到达。由于每次迭代中batch大小的变化,对输入数据的尺度和偏移的泛化能力不好,最终影响了性能。

对于循环神经网络不好

虽然batch normalization可以显著提高卷积神经网络的训练和泛化速度,但它们很难应用于递归结构。batch normalization可以应用于RNN堆栈之间,其中归一化是“垂直”应用的,即每个RNN的输出。但是它不能“水平地”应用,例如在时间步之间,因为它会因为重复的重新缩放而产生爆炸性的梯度而伤害到训练。

[^注]: 一些研究实验表明,batch normalization使得神经网络容易出现对抗漏洞,但我们没有放入这一点,因为缺乏研究和证据。

可替换的方法

这就是使用batch normalization的一些缺点。在batch normalization无法很好工作的情况下,有几种替代方法。

  • Layer Normalization
  • Instance Normalization
  • Group Normalization (+ weight standardization)
  • Synchronous Batch Normalization

总结

所以,看起来训练深度神经网络很简单,但我不认为它很容易。从这个意义上说,我可以选择的架构很少,每个模型都有固定的学习速度,固定的优化器和固定的技巧。这些技巧是通过自然选择选择的,就像有人想出了一些技巧,人们引入之后如果有效,就会保留,如果无效,人们最终会忘记,并没有人再去使用它。除此之外,batch normalization是深度学习发展中的一个里程碑技术。然而,正如前面所讨论的,沿着batch 维度进行归一化引入了一些问题,这表明归一化技术仍有改进的空间。


END

英文原文:https://towardsdatascience.com/curse-of-batch-normalization-8e6dd20bc304


  
  
    
下载一:中文版!学习TensorFlow、PyTorch、机器学习、深度学习和数据结构五件套!
后台回复【五件套


下载二:南大模式识别PPT
后台回复南大模式识别



说个正事哈



由于微信平台算法改版,公号内容将不再以时间排序展示,如果大家想第一时间看到我们的推送,强烈建议星标我们和给我们多点点【在看】。星标具体步骤为:

(1)点击页面最上方深度学习自然语言处理”,进入公众号主页。

(2)点击右上角的小点点,在弹出页面点击“设为星标”,就可以啦。

感谢支持,比心



投稿或交流学习,备注:昵称-学校(公司)-方向,进入DL&NLP交流群。

方向有很多:机器学习、深度学习,python,情感分析、意见挖掘、句法分析、机器翻译、人机对话、知识图谱、语音识别等

记得备注呦


推荐两个专辑给大家:
专辑 | 李宏毅人类语言处理2020笔记
专辑 | NLP论文解读
专辑 | 情感分析

整理不易,还望给个在看!

登录查看更多
0

相关内容

最新《深度持续学习》综述论文,32页pdf
专知会员服务
183+阅读 · 2020年9月7日
深度学习批归一化及其相关算法研究进展
专知会员服务
52+阅读 · 2020年7月17日
【干货书】现代数据平台架构,636页pdf
专知会员服务
260+阅读 · 2020年6月15日
【伯克利】再思考 Transformer中的Batch Normalization
专知会员服务
41+阅读 · 2020年3月21日
机器学习速查手册,135页pdf
专知会员服务
345+阅读 · 2020年3月15日
激活函数还是有一点意思的!
计算机视觉战队
12+阅读 · 2019年6月28日
干货 | 深入理解深度学习中的激活函数
计算机视觉life
16+阅读 · 2019年1月29日
BAT机器学习面试题1000题(376~380题)
七月在线实验室
9+阅读 · 2018年8月27日
深度学习面试100题(第41-45题)
七月在线实验室
15+阅读 · 2018年7月18日
【动态】何恺明团队最新力作:群组归一化(Group Normalization)
详解深度学习中的Normalization,不只是BN(1)
PaperWeekly
5+阅读 · 2018年2月6日
BAT机器学习面试1000题系列(第121~125题)
七月在线实验室
3+阅读 · 2017年10月25日
GAN猫的脸
机械鸡
11+阅读 · 2017年7月8日
Layer Normalization原理及其TensorFlow实现
深度学习每日摘要
32+阅读 · 2017年6月17日
Arxiv
19+阅读 · 2020年7月21日
Arxiv
12+阅读 · 2020年6月20日
Arxiv
12+阅读 · 2018年9月5日
Arxiv
3+阅读 · 2018年6月24日
Arxiv
7+阅读 · 2018年3月22日
VIP会员
相关VIP内容
最新《深度持续学习》综述论文,32页pdf
专知会员服务
183+阅读 · 2020年9月7日
深度学习批归一化及其相关算法研究进展
专知会员服务
52+阅读 · 2020年7月17日
【干货书】现代数据平台架构,636页pdf
专知会员服务
260+阅读 · 2020年6月15日
【伯克利】再思考 Transformer中的Batch Normalization
专知会员服务
41+阅读 · 2020年3月21日
机器学习速查手册,135页pdf
专知会员服务
345+阅读 · 2020年3月15日
相关资讯
激活函数还是有一点意思的!
计算机视觉战队
12+阅读 · 2019年6月28日
干货 | 深入理解深度学习中的激活函数
计算机视觉life
16+阅读 · 2019年1月29日
BAT机器学习面试题1000题(376~380题)
七月在线实验室
9+阅读 · 2018年8月27日
深度学习面试100题(第41-45题)
七月在线实验室
15+阅读 · 2018年7月18日
【动态】何恺明团队最新力作:群组归一化(Group Normalization)
详解深度学习中的Normalization,不只是BN(1)
PaperWeekly
5+阅读 · 2018年2月6日
BAT机器学习面试1000题系列(第121~125题)
七月在线实验室
3+阅读 · 2017年10月25日
GAN猫的脸
机械鸡
11+阅读 · 2017年7月8日
Layer Normalization原理及其TensorFlow实现
深度学习每日摘要
32+阅读 · 2017年6月17日
相关论文
Top
微信扫码咨询专知VIP会员