研究快讯 | 量子反常霍尔效应多层结构的实验实现

2018 年 6 月 30 日 中国物理学会期刊网


原文已发表在CPL Express Letters栏目

Received 8 June 2018; online 9 June 2018


量子反常霍尔效应多层结构的

实验实现


量子反常霍尔效应是一种无需外加磁场的量子霍尔效应。它不但可以用来构建多种新奇拓扑量子物态,还是量子霍尔效应在电子学器件中实际应用的关键。早在1988年,量子反常霍尔效应就由霍尔丹(F. D. M. Haldane, 2016年诺贝尔物理学奖获得者)理论预言。直到2012年底,由清华大学和中国科学院物理研究所薛其坤等人的团队在磁性拓扑绝缘体薄膜中实验发现。目前人们观测到的量子反常霍尔效应都具有一个量子电阻h/e2 (h为普朗克常数,e为电子电量)的平台,这意味着在每个边缘只具有一条无耗散量子通道。传统量子霍尔系统可以在不同磁场下呈现高阶量子霍尔效应,即具有多条无耗散量子通道。实现具有多个量子通道的高阶量子反常霍尔效应不但是一个重要的物理问题,还可以推进量子反常霍尔效应在低能耗电子器件和芯片互连中的应用。然而,尽管已出现了几个理论预言,这种高阶量子反常霍尔效应一直未能实验实现。 


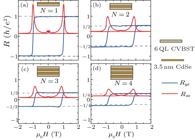
清华大学何珂、王亚愚、薛其坤研究团队姜高源、冯洋等通过生长磁性掺杂拓扑绝缘体薄膜和CdSe(0001)薄膜的多层结构,首次在实验上实现了高阶的量子反常霍尔效应。CdSe是一种能隙高达1.74 eV的正常绝缘体,其(0001)面具有和可显示量子反常霍尔效应的磁性掺杂(Bi,Sb)2Te3拓扑绝缘体相近的晶格常数。该团队利用分子束外延方法在Cr、V共掺杂(Bi,Sb)2Te3量子反常霍尔效应薄膜上制备出了高质量的CdSe单晶薄膜,发现其与磁性拓扑绝缘体形成了良好的外延关系。不仅如此,他们发现拓扑绝缘体层的体能隙完全处于CdSe体能隙之内,二者可以构成I类量子阱结构。他们利用分子束外延方法生长出磁性拓扑绝缘体和CdSe的超晶格结构,并观测到样品在零磁场下的霍尔电阻呈现h/Ne2 (N为磁性拓扑绝缘体层数)的平台,这清楚表明了高阶量子反常霍尔效应的实现


此项研究不但标志着一个等效的高陈数量子反常霍尔效应系统的首次实验实现,还为构筑其他新奇拓扑相奠定了基础。例如,通过对这种量子反常霍尔多层结构层厚的调控可以实现仅具有一对外尔点的磁性外尔半金属,这种物质相对外尔半金属相关研究至关重要,但直到现在还未能获得一种可以得到实验完全确认的该种材料。此外,在量子反常霍尔效应双层结构还可以探索类似量子霍尔双层结构中激子凝聚、库仑拖曳等和电子关联相关的现象。这种多通道量子反常霍尔系统还可以有效降低在电极“热点”处的能量耗散,这对于量子霍尔态在低能耗电子器件中的应用有重要意义


在分子束外延生长的Cr、V共掺杂的(Bi,Sb)2Te3(CVBST)与CdSe超晶格中观测到的不同阶数的量子反常霍尔效应。图(a)-(d)分别对应CVBST层数由1到4的样品的测量结果,蓝色曲线为霍尔电阻,红色曲线为纵向电阻。


点击题目阅读全文

CPL | Express Letter

Quantum Anomalous Hall Multilayers Grown by Molecular Beam Epitaxy 

Cite: Chin. Phys. Lett. 35 077401 (2018) 

相关文献

Interface-Induced High-Temperature Superconductivity in Single Unit-Cell FeSe Films on SrTiO3

Cite: Chin. Phys. Lett. 29 037402 (2012) 

Times Cited: 441


CPL Express Letters栏目简介

为了吸引高质量论文、保证重要研究成果的首发权,CPL于2012年6月开设了Express Letters栏目。此栏目目前已发表文小刚、赵忠贤、薛其坤、潘建伟等著名学者的优秀论文43篇,平均发表周期为3-4。栏目2016年的影响因子为10.57,篇均被引11.72次,已经在国内物理学界建立起良好口碑与声望,来稿数量不断增加。点击查看已发表Express Letters!

CPL高被引论文数量统计

JCR统计数据表明,CPL最近10年来发表的高被引论文数量在中国同类期刊中最多。迄今为止,

CPL发表的文章中,

    有26篇引用超过100次;

    有96篇引用超过50次。

在全世界物理类论文中,

    有3篇超过Top 0.1%的引用水平;

    有6篇文章超过Top 1%的引用水平;

    有68篇文章超过Top 10%的引用水平。


本文转载自《ChinesePhysicsLetters》微信公众号

十大热门文章

1. 周末大家谈—漫谈物理学的过去、现在与未来 | 冯端

2. 周末大家谈—执教六十年的回顾 | 冯端

3. 超导“小时代”之三十一:硒天取经

4. 我们生活在一碗汤面里吗?——光和电子的统一与起源

5. 物理百年:1950~2050

6. 则贤问学录—赵凯华篇(下)

7. 求知路漫漫,风景无限好 | 仪鸣

8. 隐身漫谈

9. 金属液体结构与性能研究的新进展

10. 四十载风雨兼程再出发初心不忘——写在中国科学院理论物理研究所建所40 周年之际

END


登录查看更多
0

相关内容

【ICML2020】持续图神经网络,Continuous Graph Neural Networks
专知会员服务
151+阅读 · 2020年6月28日
【SIGIR2020】LightGCN: 简化和增强图卷积网络推荐
专知会员服务
73+阅读 · 2020年6月1日
人机对抗智能技术
专知会员服务
214+阅读 · 2020年5月3日
专知会员服务
29+阅读 · 2020年3月6日
【ICLR-2020】网络反卷积,NETWORK DECONVOLUTION
专知会员服务
39+阅读 · 2020年2月21日
Nature 一周论文导读 | 2019 年 6 月 6 日
科研圈
7+阅读 · 2019年6月16日
曹雪涛院士团队:刚发完Nature,又发一篇Cell
Arxiv
3+阅读 · 2018年10月25日
Arxiv
24+阅读 · 2018年10月24日
Labeling Panoramas with Spherical Hourglass Networks
Arxiv
14+阅读 · 2018年5月15日
Arxiv
5+阅读 · 2018年5月10日
Arxiv
10+阅读 · 2018年2月4日
Arxiv
6+阅读 · 2018年1月11日
VIP会员
相关VIP内容
【ICML2020】持续图神经网络,Continuous Graph Neural Networks
专知会员服务
151+阅读 · 2020年6月28日
【SIGIR2020】LightGCN: 简化和增强图卷积网络推荐
专知会员服务
73+阅读 · 2020年6月1日
人机对抗智能技术
专知会员服务
214+阅读 · 2020年5月3日
专知会员服务
29+阅读 · 2020年3月6日
【ICLR-2020】网络反卷积,NETWORK DECONVOLUTION
专知会员服务
39+阅读 · 2020年2月21日
相关论文
Arxiv
3+阅读 · 2018年10月25日
Arxiv
24+阅读 · 2018年10月24日
Labeling Panoramas with Spherical Hourglass Networks
Arxiv
14+阅读 · 2018年5月15日
Arxiv
5+阅读 · 2018年5月10日
Arxiv
10+阅读 · 2018年2月4日
Arxiv
6+阅读 · 2018年1月11日
Top
微信扫码咨询专知VIP会员