神经网络知识专题总结

2020 年 10 月 28 日 极市平台
¥¥↑ 点击 蓝字  关注极市平台

作者丨张峰
来源丨 Datawhale
编辑丨极市平台

极市导读

 

人工神经网络通常通过一个基于数学统计学类型的学习方法得以优化,本文详细的介绍了神经网络的定义以及相关运算模型的知识点。>>加入极市CV技术交流群,走在计算机视觉的最前沿

结构总览

一、神经网络简介

对于非线性分类问题(如图1所示),“非线性”意味着你无法使用形式为:
的模型准确预测标签。也就是说,“决策面”不是直线。之前,我们了解了对非线性问题进行建模的一种可行方法 - 特征组合。
现在,请考虑以下数据集:
图 2. 更难的非线性分类问题
图 2 所示的数据集问题无法用线性模型解决。为了了解神经网络可以如何帮助解决非线性问题,我们首先用图表呈现一个线性模型:
图 3. 用图表呈现的线性模型
每个蓝色圆圈均表示一个输入特征,绿色圆圈表示各个输入的加权和。要提高此模型处理非线性问题的能力,我们可以如何更改它?

1.1 隐藏层

在下图所示的模型中,我们添加了一个表示中间值的“隐藏层”。隐藏层中的每个黄色节点均是蓝色输入节点值的加权和。输出是黄色节点的加权和。
图 4. 两层模型的图表
此模型是线性的吗?是的,其输出仍是其输入的线性组合。
在下图所示的模型中,我们又添加了一个表示加权和的“隐藏层”。
图 5. 三层模型的图表
此模型仍是线性的吗?是的,没错。当你将输出表示为输入的函数并进行简化时,你只是获得输入的另一个加权和而已。该加权和无法对图 2 中的非线性问题进行有效建模。

1.2 激活函数

要对非线性问题进行建模,我们可以直接引入非线性函数。我们可以用非线性函数将每个隐藏层节点像管道一样连接起来。
在下图所示的模型中,在隐藏层 1 中的各个节点的值传递到下一层进行加权求和之前,我们采用一个非线性函数对其进行了转换。这种非线性函数称为激活函数。
图 6. 包含激活函数的三层模型的图表
现在,我们已经添加了激活函数,如果添加层,将会产生更多影响。通过在非线性上堆叠非线性,我们能够对输入和预测输出之间极其复杂的关系进行建模。简而言之,每一层均可通过原始输入有效学习更复杂、更高级别的函数。如果你想更直观地了解这一过程的工作原理,请参阅 Chris Olah 的精彩博文。

常见激活函数
以下 S 型激活函数将加权和转换为介于 0 和 1 之间的值。
曲线图如下:
图 7. S 型激活函数
相较于 S 型函数等平滑函数,以下修正线性单元激活函数(简称为 ReLU)的效果通常要好一点,同时还非常易于计算。
ReLU 的优势在于它基于实证发现(可能由 ReLU 驱动),拥有更实用的响应范围。S 型函数的响应性在两端相对较快地减少。
图 8. ReLU 激活函数
实际上,所有数学函数均可作为激活函数。假设 σσ 表示我们的激活函数(ReLU、S 型函数等等)。因此,网络中节点的值由以下公式指定:
TensorFlow 为各种激活函数提供开箱即用型支持。但是,我们仍建议从 ReLU 着手。

1.3 小结

现在,我们的模型拥有了人们通常所说的“神经网络”的所有标准组件:
  • 一组节点,类似于神经元,位于层中。
  • 一组权重,表示每个神经网络层与其下方的层之间的关系。下方的层可能是另一个神经网络层,也可能是其他类型的层。
  • 一组偏差,每个节点一个偏差。
  • 一个激活函数,对层中每个节点的输出进行转换。不同的层可能拥有不同的激活函数。
警告:神经网络不一定始终比特征组合好,但它确实可以提供适用于很多情形的灵活替代方案。

二、训练神经网络

本部分介绍了反向传播算法的失败案例,以及正则化神经网络的常见方法。

2.1 失败案例

很多常见情况都会导致反向传播算法出错。
梯度消失
较低层(更接近输入)的梯度可能会变得非常小。在深度网络中,计算这些梯度时,可能涉及许多小项的乘积。
当较低层的梯度逐渐消失到 0 时,这些层的训练速度会非常缓慢,甚至不再训练。
ReLU 激活函数有助于防止梯度消失。
梯度爆炸
如果网络中的权重过大,则较低层的梯度会涉及许多大项的乘积。在这种情况下,梯度就会爆炸:梯度过大导致难以收敛。批标准化可以降低学习速率,因而有助于防止梯度爆炸。
ReLU 单元消失
一旦 ReLU 单元的加权和低于 0,ReLU 单元就可能会停滞。它会输出对网络输出没有任何贡献的 0 激活,而梯度在反向传播算法期间将无法再从中流过。由于梯度的来源被切断,ReLU 的输入可能无法作出足够的改变来使加权和恢复到 0 以上。
降低学习速率有助于防止 ReLU 单元消失。

2.2 丢弃正则化

这是称为丢弃的另一种形式的正则化,可用于神经网络。其工作原理是,在梯度下降法的每一步中随机丢弃一些网络单元。丢弃得越多,正则化效果就越强:
  • 0.0 = 无丢弃正则化。
  • 1.0 = 丢弃所有内容。模型学不到任何规律。
0.0 和 1.0 之间的值更有用。

三、多类别神经网络

3.1 一对多(OnevsAll)

一对多提供了一种利用二元分类的方法。鉴于一个分类问题会有 N 个可行的解决方案,一对多解决方案包括 N 个单独的二元分类器,每个可能的结果对应一个二元分类器。在训练期间,模型会训练一系列二元分类器,使每个分类器都能回答单独的分类问题。以一张狗狗的照片为例,可能需要训练五个不同的识别器,其中四个将图片看作负样本(不是狗狗),一个将图片看作正样本(是狗狗)。即:
  1. 这是一张苹果的图片吗?不是。
  2. 这是一张熊的图片吗?不是。
  3. 这是一张糖果的图片吗?不是。
  4. 这是一张狗狗的图片吗?是。
  5. 这是一张鸡蛋的图片吗?不是。
当类别总数较少时,这种方法比较合理,但随着类别数量的增加,其效率会变得越来越低下。
我们可以借助深度神经网络(在该网络中,每个输出节点表示一个不同的类别)创建明显更加高效的一对多模型。图9展示了这种方法:
图 9. 一对多神经网络

四、Softmax

我们已经知道,逻辑回归可生成介于 0 和 1.0 之间的小数。例如,某电子邮件分类器的逻辑回归输出值为 0.8,表明电子邮件是垃圾邮件的概率为 80%,不是垃圾邮件的概率为 20%。很明显,一封电子邮件是垃圾邮件或非垃圾邮件的概率之和为 1.0。
Softmax 将这一想法延伸到多类别领域。也就是说,在多类别问题中,Softmax 会为每个类别分配一个用小数表示的概率。这些用小数表示的概率相加之和必须是 1.0。与其他方式相比,这种附加限制有助于让训练过程更快速地收敛。
例如,回到我们在图 9 中看到的图片分析示例,Softmax 可能会得出图片属于某一特定类别的以下概率:
Softmax 层是紧挨着输出层之前的神经网络层。Softmax 层必须和输出层拥有一样的节点数。
图 10. 神经网络中的 Softmax 层
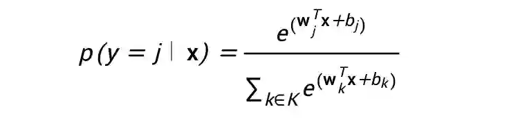
Softmax 方程式如下所示:
请注意,此公式本质上是将逻辑回归公式延伸到了多类别。

4.1 Softmax 选项

请查看以下 Softmax 变体:
  • 完整 Softmax 是我们一直以来讨论的 Softmax;也就是说,Softmax 针对每个可能的类别计算概率。
  • 候选采样指 Softmax 针对所有正类别标签计算概率,但仅针对负类别标签的随机样本计算概率。例如,如果我们想要确定某个输入图片是小猎犬还是寻血猎犬图片,则不必针对每个非狗狗样本提供概率。
类别数量较少时,完整 Softmax 代价很小,但随着类别数量的增加,它的代价会变得极其高昂。候选采样可以提高处理具有大量类别的问题的效率。

五、一个标签与多个标签

Softmax 假设每个样本只是一个类别的成员。但是,一些样本可以同时是多个类别的成员。对于此类示例:
  • 你不能使用 Softmax。
  • 你必须依赖多个逻辑回归。
例如,假设你的样本是只包含一项内容(一块水果)的图片。Softmax 可以确定该内容是梨、橙子、苹果等的概率。如果你的样本是包含各种各样内容(几份不同种类的水果)的图片,你必须改用多个逻辑回归。

推荐阅读



首届珠港澳人工智能算法大赛即将开赛

赛题一:短袖短裤识别

赛题二:小摊贩占道识别

即将开赛 等你加入


添加极市小助手微信(ID : cvmart2),备注:姓名-学校/公司-研究方向-城市(如:小极-北大-目标检测-深圳),即可申请加入极市目标检测/图像分割/工业检测/人脸/医学影像/3D/SLAM/自动驾驶/超分辨率/姿态估计/ReID/GAN/图像增强/OCR/视频理解等技术交流群:月大咖直播分享、真实项目需求对接、求职内推、算法竞赛、干货资讯汇总、与 10000+来自港科大、北大、清华、中科院、CMU、腾讯、百度等名校名企视觉开发者互动交流~

△长按添加极市小助手

△长按关注极市平台,获取 最新CV干货

觉得有用麻烦给个在看啦~   
登录查看更多
0

相关内容

在人工神经网络中,给定一个输入或一组输入,节点的激活函数定义该节点的输出。一个标准集成电路可以看作是一个由激活函数组成的数字网络,根据输入的不同,激活函数可以是开(1)或关(0)。这类似于神经网络中的线性感知器的行为。然而,只有非线性激活函数允许这样的网络只使用少量的节点来计算重要问题,并且这样的激活函数被称为非线性。
专知会员服务
32+阅读 · 2020年9月4日
【新书册】贝叶斯神经网络,41页pdf
专知会员服务
180+阅读 · 2020年6月3日
神经网络的拓扑结构,TOPOLOGY OF DEEP NEURAL NETWORKS
专知会员服务
35+阅读 · 2020年4月15日
【经典书】精通机器学习特征工程,中文版,178页pdf
专知会员服务
360+阅读 · 2020年2月15日
KGCN:使用TensorFlow进行知识图谱的机器学习
专知会员服务
83+阅读 · 2020年1月13日
干货 | 深入理解深度学习中的激活函数
计算机视觉life
16+阅读 · 2019年1月29日
【干货】机器学习中的五种回归模型及其优缺点
机器学习算法与Python学习
7+阅读 · 2018年8月10日
【吴恩达deeplearning.ai笔记二】通俗讲解神经网络上
机器学习研究会
4+阅读 · 2018年3月10日
独家 | 一文为你解析神经网络(附实例、公式)
数据派THU
5+阅读 · 2018年1月11日
理解神经网络的激活函数
论智
7+阅读 · 2018年1月8日
神经网络bp算法推导
统计学习与视觉计算组
11+阅读 · 2017年11月17日
深度学习知识总结(一)
深度学习探索
8+阅读 · 2017年7月18日
Do RNN and LSTM have Long Memory?
Arxiv
19+阅读 · 2020年6月10日
Arxiv
18+阅读 · 2019年1月16日
Arxiv
6+阅读 · 2018年10月3日
Arxiv
22+阅读 · 2018年8月30日
Arxiv
4+阅读 · 2015年8月25日
VIP会员
相关VIP内容
专知会员服务
32+阅读 · 2020年9月4日
【新书册】贝叶斯神经网络,41页pdf
专知会员服务
180+阅读 · 2020年6月3日
神经网络的拓扑结构,TOPOLOGY OF DEEP NEURAL NETWORKS
专知会员服务
35+阅读 · 2020年4月15日
【经典书】精通机器学习特征工程,中文版,178页pdf
专知会员服务
360+阅读 · 2020年2月15日
KGCN:使用TensorFlow进行知识图谱的机器学习
专知会员服务
83+阅读 · 2020年1月13日
相关资讯
干货 | 深入理解深度学习中的激活函数
计算机视觉life
16+阅读 · 2019年1月29日
【干货】机器学习中的五种回归模型及其优缺点
机器学习算法与Python学习
7+阅读 · 2018年8月10日
【吴恩达deeplearning.ai笔记二】通俗讲解神经网络上
机器学习研究会
4+阅读 · 2018年3月10日
独家 | 一文为你解析神经网络(附实例、公式)
数据派THU
5+阅读 · 2018年1月11日
理解神经网络的激活函数
论智
7+阅读 · 2018年1月8日
神经网络bp算法推导
统计学习与视觉计算组
11+阅读 · 2017年11月17日
深度学习知识总结(一)
深度学习探索
8+阅读 · 2017年7月18日
Top
微信扫码咨询专知VIP会员