TKDE 2020 | CTRR:组稀疏约束的紧凑张量环回归

2020 年 12 月 7 日 PaperWeekly






论文标题:
Smooth Compact Tensor Ring Regression


论文作者:
Jiani Liu, Ce Zhu, Yipeng Liu


论文链接:
https://ieeexplore.ieee.org/document/9253557


论文代码:
https://github.com/liujiani0216/SCTRR


摘要


随着数字影像设备的快速普及和发展,涌现了大量高阶数据,如光学视频,医学图像等。高阶数据相关的学习任务中,如何对高阶的回归系数进行高效的近似是一个关键问题。低秩张量近似是其中一个方法。作为一种新的张量分解,张量环已经被证明可以建模更多多维数据的相关信息。但是,其最优的张量环秩通常是未知的,需要从多种组合中进行经验选择。


为弥补这一缺陷,我们提出了一种新的张量回归模型。通过对张量环分解的潜在因子施加组稀疏约束,以此来实现张量环秩的自动估计,从而获得高效紧凑的表示。此外,引入总变差约束项确保预测响应的局部一致性,以减少随机噪声所带来的不利影响。


在仿真数据集上的实验表明,该方法能够在学习过程中更准确地推断张量环秩,平衡预测误差和模型复杂性。并且在人体运动轨迹捕捉任务的对比实验进一步验证了该算法的有效性和稳健性。



研究背景

随着大量高维数据的出现,与其相关的数据分析技术逐渐成为了研究热点。多线性回归作为解决涉及高维数据学习任务的关键技术,广泛应用于社会科学、气候科学和神经科学。


多线性回归模型的核心思想是保留数据的原始形式,通过张量积形式反应多维数据之间的相关关系。鉴于数据自身的结构特征,通常假设多维数据之间的回归系数张量满足低秩性或者稀疏性。其通用的优化方案有两种,一种基于秩最小化模型,一种是给定秩的张量因子化模型。


对于给定秩的张量因子化模型,一个最大的挑战便是张量秩的预估。尤其是Tucker 秩,张量链或张量环秩等多线性秩,其预估需要从大量的组合之中进行选取,耗费大量时间。因而,本文以张量环分解为例,引入了一种组稀疏约束项,可以在训练过程中实现对张量环秩的自适应,从而实现模型复杂度和性能的平衡。



符号定义和描述

在对本文的方法进行描述之前,首先需要简要定义与多线性回归相关的各个概念。对张量   ,其中   个元素表示为   。

定义1(张量收缩积)
给定张量   和   ,它们沿着共有   维度的张量收缩积表示为   ,如图1所示。

▲ 图1 张量收缩积

定义2(张量环分解)
张量环分解是流行张量网络的一种,它将张量分解为环状网络形式,如图 2 所示。其对应的数学表达形式为:
其中,   ,   ,   是张量环秩。

▲ 图2 张量环分解

定义3(张量环回归)
给定训练样本   ,则张量回归模型通常表示为
   ,
其中
   ,
   ,
   表示   和   的相关关系,   是偏差。对系数张量进行张量环分解   ,便可以得到张量环回归模型,如图3所示。

▲ 图3 张量环回归

算法描述

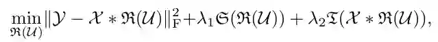
根据已经定义的符号和概念,我们给出了一个新的回归模型,将数据拟合项、用于秩自推断的组稀疏约束项、用于平滑预测结果的全变差约束项整合在一起,如下式所示:

其中,   表示   ,第一项   是数据拟合项,   是组稀疏项,   是全变分项。
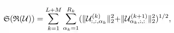
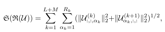
(1)组稀疏项   
估计系数张量   的张量环秩   ,需要对每一个   进行估计。而如图 3 所示,   仅与其相邻的两个因子张量   和   直接相关。这促使我们提出以下组稀疏约束项:

其中,    是   的第   个前向切片,   是   的第   个水平切片。基于交替最小化思想,我们可以依次对每一个张量环秩进行优化。具体来说,以一个 3 阶系数张量为例:
▲ 图4  3阶系数张量的张量环分解形式

其优化图解如图 5 所示:

▲ 图5 组稀疏项图解

(2)全变分项   

为确保张量输出的局部一致性,我们对预测的结果进行全变差约束,如下式所示:

在本文中,我们分别给出了   和   时的算法,分别为 CTRR 和 SCTRR。这里仅给出 CTRR 的算法流程,其优化思想主要来源于迭代加权最小二乘算法。

实验

4.1 仿真数据
(1)在仿真数据集上验证 CTRR 在不同条件下(不同信噪比, 不同样本量,不同大小和张量环秩的回归系数张量)的预测性能(Q^2)和张量环秩推断的准确性(REE)。实验结果如图6所示:

▲ 图6 CTRR 在不同条件下生成的仿真数据集上的表现
(2)为更直观地观察所提算法对回归系数张量估计的准确性,我们利用不同形状的图片作为回归系数张量,构建仿真数据,在不同信噪比条件下,CTRR 对回归系数图像的重建如图 7 所示。

▲ 图7 CTRR在shape数据集上的表现

4.2 人体行为轨迹重建实验

这里在人体行为轨迹重建的数据集 UMPM 上验证所提算法的有效性,实验结果如表 1 所示:
▲ 表1 CTRR和SCTRR在UMPM数据集上的性能



结论


为了克服张量回归中张量环秩估计这一困难,本文提出了一种基于组稀疏约束的紧凑张量回归模型,将张量秩最小化问题放缩为带有组稀疏约束的张量环低秩近似问题。在仿真数据集上的实验验证了 CTRR 可以在训练过程中对回归系数张量的张量环秩进行推断,以获得紧凑的低秩近似。同时,在真实数据集上的实验说明了引入局部平滑约束可以提高模型的预测性能并改善预测的视觉效果。


CTRR 将张量秩推断这一离散参数的调节问题转换为稀疏项的连续参数调节问题,提高了算法的稳健性。未来,我们将进一步探索如何实现该算法参数的自动调节问题,开发更加实用有效的张量学习方法与应用。



参考文献

[1] W. Guo, I. Kotsia, and I. Patras, “Tensor learning for regression,” IEEE Transactions on Image Processing, vol. 21, no. 2, pp. 816–827, 2012.

[2] E. F. Lock, “Tensor-on-tensor regression,” Journal of Computational and Graphical Statistics, vol. 27, no. 3, pp. 638–647, 2017.

[3] J. Liu, C. Zhu, Z. Long, H. Huang and Y. Liu, “Low-Rank Tensor Ring Learning for Multi-linear Regression,” Pattern Recognition, pp. 107753, 2020.

[4] Y. Liu, J. Liu, and C. Zhu, "Low Rank Tensor Train Coefficient Array Estimation for Tensor-on-Tensor Regression," IEEE Transactions on Neural Networks and Learning Systems, 2020.

[5] X. Li, Y. Ye, and X. Xu, “Low-rank tensor completion with total variation for visual data inpainting,” in Thirty-First AAAI Conference on Artificial Intelligence, 2017.

[6] I. Daubechies, R. DeVore, M. Fornasier, and C. S. Gunturk, “Iteratively reweighted least squares minimization for sparse recovery,” Communications on Pure and Applied Mathematics, vol. 63, no. 1, pp. 1–38, 2010.

[7] M. Zhu and T. Chan, “An efficient primal-dual hybrid gradient algorithm for total variation image restoration,” UCLA CAM Report, 08-34, 2008.



更多阅读




#投 稿 通 道#

 让你的论文被更多人看到 



如何才能让更多的优质内容以更短路径到达读者群体,缩短读者寻找优质内容的成本呢?答案就是:你不认识的人。


总有一些你不认识的人,知道你想知道的东西。PaperWeekly 或许可以成为一座桥梁,促使不同背景、不同方向的学者和学术灵感相互碰撞,迸发出更多的可能性。 


PaperWeekly 鼓励高校实验室或个人,在我们的平台上分享各类优质内容,可以是最新论文解读,也可以是学习心得技术干货。我们的目的只有一个,让知识真正流动起来。


📝 来稿标准:

• 稿件确系个人原创作品,来稿需注明作者个人信息(姓名+学校/工作单位+学历/职位+研究方向) 

• 如果文章并非首发,请在投稿时提醒并附上所有已发布链接 

• PaperWeekly 默认每篇文章都是首发,均会添加“原创”标志


📬 投稿邮箱:

• 投稿邮箱:hr@paperweekly.site 

• 所有文章配图,请单独在附件中发送 

• 请留下即时联系方式(微信或手机),以便我们在编辑发布时和作者沟通



🔍


现在,在「知乎」也能找到我们了

进入知乎首页搜索「PaperWeekly」

点击「关注」订阅我们的专栏吧



关于PaperWeekly


PaperWeekly 是一个推荐、解读、讨论、报道人工智能前沿论文成果的学术平台。如果你研究或从事 AI 领域,欢迎在公众号后台点击「交流群」,小助手将把你带入 PaperWeekly 的交流群里。



登录查看更多
0

相关内容

专知会员服务
146+阅读 · 2021年2月3日
专知会员服务
38+阅读 · 2020年11月24日
专知会员服务
66+阅读 · 2020年9月24日
最新《图神经网络模型与应用》综述论文
专知会员服务
296+阅读 · 2020年8月2日
专知会员服务
46+阅读 · 2020年7月29日
【推荐系统】16篇最新推荐系统论文送你
深度学习自然语言处理
3+阅读 · 2020年3月7日
图嵌入(Graph embedding)综述
人工智能前沿讲习班
449+阅读 · 2019年4月30日
稀疏性的3个优势 -《稀疏统计学习及其应用》
遇见数学
15+阅读 · 2018年10月24日
目标跟踪算法分类
算法与数据结构
20+阅读 · 2018年9月28日
KDD 2018 | 推荐系统特征构建新进展:极深因子分解机模型
微软研究院AI头条
4+阅读 · 2018年8月22日
【干货】机器学习中的五种回归模型及其优缺点
机器学习算法与Python学习
7+阅读 · 2018年8月10日
数据分析师应该知道的16种回归技术:KNN回归
数萃大数据
6+阅读 · 2018年8月6日
机器学习(16)之支持向量机原理(二)软间隔最大化
机器学习算法与Python学习
6+阅读 · 2017年9月8日
CNN超参数优化和可视化技巧详解
量子位
4+阅读 · 2017年7月15日
Arxiv
92+阅读 · 2020年2月28日
Arxiv
6+阅读 · 2019年4月8日
Learning Recommender Systems from Multi-Behavior Data
Arxiv
7+阅读 · 2018年11月29日
VIP会员
相关VIP内容
相关资讯
【推荐系统】16篇最新推荐系统论文送你
深度学习自然语言处理
3+阅读 · 2020年3月7日
图嵌入(Graph embedding)综述
人工智能前沿讲习班
449+阅读 · 2019年4月30日
稀疏性的3个优势 -《稀疏统计学习及其应用》
遇见数学
15+阅读 · 2018年10月24日
目标跟踪算法分类
算法与数据结构
20+阅读 · 2018年9月28日
KDD 2018 | 推荐系统特征构建新进展:极深因子分解机模型
微软研究院AI头条
4+阅读 · 2018年8月22日
【干货】机器学习中的五种回归模型及其优缺点
机器学习算法与Python学习
7+阅读 · 2018年8月10日
数据分析师应该知道的16种回归技术:KNN回归
数萃大数据
6+阅读 · 2018年8月6日
机器学习(16)之支持向量机原理(二)软间隔最大化
机器学习算法与Python学习
6+阅读 · 2017年9月8日
CNN超参数优化和可视化技巧详解
量子位
4+阅读 · 2017年7月15日
Top
微信扫码咨询专知VIP会员