CVPR2019 | 港中文&腾讯优图等提出:暗光下的图像增强

2019 年 6 月 5 日 极市平台

加入极市专业CV交流群,与6000+来自腾讯,华为,百度,北大,清华,中科院等名企名校视觉开发者互动交流!更有机会与李开复老师等大牛群内互动!

同时提供每月大咖直播分享、真实项目需求对接、干货资讯汇总,行业技术交流点击文末“阅读原文”立刻申请入群~


作者 | 刘浪

来源 | https://zhuanlan.zhihu.com/p/67785574

已获作者授权,请勿二次转载


Underexposed Photo Enhancement using Deep Illumination Estimation

基于深度学习优化光照的暗光下的图像增强


论文地址:http://jiaya.me/papers/photoenhance_cvpr19.pdf


暗光拍照也清晰,这是手机厂商目前激烈竞争的新拍照目标。


提出基于深度学习优化光照的暗光下的图像增强模型,用端到端网络增强曝光不足的照片。


而且不是像以前的工作那样,直接学习图像到图像的映射,而是在新网络中引入中间照明,将输入与预期的增强结果相关联,增强网络从专家修饰的输入/输出图像学习复杂的摄影调整的能力。在此模型的基础上,构造了一个对光照采用约束和先验的损失函数,结果证明,新算法模型,效果超过了市面上一众当红的多摄多硬手机。


传统夜景图像增强算法大致可以分为几个方面: 直方图均衡化(Histogram equalization) ,这种方法简单的利用了图像整体的统计性质,通常不能对复杂场景达到理想效果。


基于Retinex理论的增强算法,通常只能用单通道进行光照优化,颜色无法很好地回复,在光照复杂的情况下还容易出现过曝的现象。


这些传统方法还容易在增加图像亮度的同时,放大噪声等瑕疵,影响图像质量。


基于深度学习的方法,通常是直接训练回归(regression)模型,由于数据本身的特性,这种方法得到的结果通常清晰度、对比度比较低,而且会有一些人工痕迹。


效果图

提出了一种新的端到端图像增强网络。特别地,没有直接学习图像到图像的映射,而是设计网络,首先估计一个图像到光照的映射来建模各种光照条件,然后使用光照映射来照亮曝光不足的照片。此外,为了降低计算成本,我们采用了基于双网格的上采样,并设计了一个在光照上采用各种约束条件和先验的损失函数,使我们能够有效地恢复自然曝光、对比度合适、细节清晰、色彩鲜艳的低曝光照片。


方法

图像增强的任务可以被看作是寻求一个映射函数  ,这样  就是我们想要的图像,由输入图像  增强得到  ,最近基于Retinex方法的图像增强,  的逆函数通常被建模为光照映射S,它与反射率图像  以像素级的方式相乘,生成所观察到的图像  :



这里S建模为RGB三通道是为了增强其对颜色增强的建模能力,特别是对不同颜色通道的非线性处理能力。  是观察图像,  是增强后的图像,因此只要解得  的近似解 即可。为什么这么做有效呢?因为自然图像的光照图有着相对简单的先验,因此使用光照图做中介可以有效应对各种光照情况,同时也可以通过对光照图进行调整,实现个性化增强,例如可以使用局部平滑的光照图增加对比度


网络架构



网络分成了 全分辨率分支 和 低分辨率分支 。其中低分辨率分支用于学习到全图光照的整体信息,低分辨率图像的使用,有助于增大网络感受野,提高算法速度。


低分辨率分支的结果将会传递给高分辨率网络分支,用于重建全分辨率下的亮度图,并最终得到增强后的图像。


损失函数


从N对图片  学习照明映射,学习出S然后增强图像  ,在网络训练过程中,我们设计了一个由三个部分组成的损失函数  ,并将其最小化。它表示为:



 是三个部分的损失,  是相应部分的权重


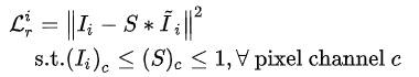
Reconstruction Loss:


为了得到预测的S,我们定义  误差度量来测量重建误差为:

 


其中,  和  中的所有像素通道归一化为[0,1],  表示像素颜色通道,  是多通道光照范围约束。因为  ,将  设为  的下界,确保增强结果  中的所有颜色通道(上界)都有一个上界,因此要避免超出色域的颜色,而将1设置为S的上界可以避免错误地使曝光不足的区域变暗。



Smoothness Loss:

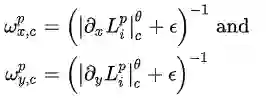
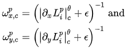
根据先验光滑性,自然图像中的光照一般为局部光滑。在我们的网络中采用这种优先级有两个优点。首先,它有助于减少过度拟合,提高网络的泛化能力。其次,它增强了图像的对比度。当相邻像素点p和q的光照值相似时,它们在增强图像中的对比度可以估计为  ,它也应该被放大,因为  。因此,我们将图3中预测的全分辨率光照S的平滑度损失定义为:



其中对所有像素的所有通道(c)求和,  为图像空间水平方向和垂直方向的偏导数,  为空间变化(每个通道)的平滑权值,表示为:



这里,  是输入图像  的对数,  是控制图像梯度灵敏度的参数,  是一个小常数,通常设置为0.0001,防止被0整除。


直观地说,平滑度损失鼓励光照在小梯度的像素上是平滑的,而在大梯度的像素上是不连续的。有趣的是,对于曝光不足的照片,图像内容和细节往往很弱。较大的梯度更可能是由不一致的光照造成的。如图4中的第4幅图像所示,通过进一步加入平滑度损失,我们恢复了良好的图像对比度,与仅重建损失的结果相比,细节更加清晰。


Color Loss


接下来,设计颜色损失来使生成的图像  中的颜色与相应的标签图片  中的颜色匹配

 表示一个像素,  是一个运算符,它将RGB颜色作为三维向量计算两种颜色之间的夹角。上面等式对  和  中每个像素对的颜色向量夹角求和。


我们在其他颜色空间中使用这个简单的公式而不是L2距离的原因如下。首先,重构损失已经隐含地测量了L2色差。其次,由于L2度规仅用数值方法测量色差,因此不能保证颜色向量具有相同的方向。


并在NVidia Titan X Pascal GPU上以mini-batch为16进行40个epoch的训练。优化器使用Adam,固定学习率为  。为了增加数据,随机裁剪了  的patch,然后随机调整大小和旋转所有patch。下采样输入的固定分辨率为  。编码器网络是一个预先训练的VGG16。局部特征提取器包含两个卷积层,全局特征提取器包含两个卷积层和三个全连通层。此外,使用基于双边网格(bilateral grid)的模块对输出进行向上采样。


结果

与最先进的方法进行可视化比较。
与最先进的方法进行可视化比较

使用了两个常用的度量标准(即,PSNR和SSIM)来定量评估我们的网络性能,根据预测结果和相应的专家润色图像之间的颜色和结构相似性。虽然这不是绝对的指示性,但总的来说,高的PSNR和SSIM值对应着相当好的结果。


在自己制作的数据集上定量比较本文的方法和最先进的方法

在MIT-Adobe FiveK数据集上对我们的方法和最新技术进行了定量比较。





*延伸阅读



点击左下角阅读原文”,即可申请加入极市目标跟踪、目标检测、工业检测、人脸方向、视觉竞赛等技术交流群,更有每月大咖直播分享、真实项目需求对接、干货资讯汇总,行业技术交流,一起来让思想之光照的更远吧~



觉得有用麻烦给个在看啦~  

登录查看更多
2

相关内容

高效医疗图像分析的统一表示
专知会员服务
36+阅读 · 2020年6月23日
最新《自然场景中文本检测与识别》综述论文,26页pdf
专知会员服务
70+阅读 · 2020年6月10日
【CVPR 2020-商汤】8比特数值也能训练卷积神经网络模型
专知会员服务
26+阅读 · 2020年5月7日
[CVPR 2020-港中文-MIT] 神经架构搜索鲁棒性
专知会员服务
26+阅读 · 2020年4月7日
姿势服装随心换-CVPR2019
专知会员服务
36+阅读 · 2020年1月26日
八篇 ICCV 2019 【图神经网络(GNN)+CV】相关论文
专知会员服务
30+阅读 · 2020年1月10日
深度学习在图像处理的应用一览
极市平台
17+阅读 · 2019年11月21日
CVPR 2019 | 无监督领域特定单图像去模糊
PaperWeekly
14+阅读 · 2019年3月20日
learn to see in the dark-低照度图像增强算法
计算机视觉life
16+阅读 · 2019年1月14日
深度学习之图像超分辨重建技术
机器学习研究会
12+阅读 · 2018年3月24日
Foreground-aware Image Inpainting
Arxiv
4+阅读 · 2019年1月17日
Arxiv
4+阅读 · 2018年3月14日
VIP会员
相关VIP内容
相关资讯
深度学习在图像处理的应用一览
极市平台
17+阅读 · 2019年11月21日
CVPR 2019 | 无监督领域特定单图像去模糊
PaperWeekly
14+阅读 · 2019年3月20日
learn to see in the dark-低照度图像增强算法
计算机视觉life
16+阅读 · 2019年1月14日
深度学习之图像超分辨重建技术
机器学习研究会
12+阅读 · 2018年3月24日
Top
微信扫码咨询专知VIP会员