《机器学习实践应用》第三次印刷勘误修复细则

2017 年 12 月 21 日 凡人机器学习

点击蓝字关注这个神奇的公众号~


感谢大家对《机器学习实践应用》的支持,目前已经完成了第三次印刷,在这次印刷中对之前书中的勘误进行了修复,可能有的同学买的是第一、二次印刷,大家千万不要重新买,我直接把第三次印刷的修改的地方在这里贴出来,大家可以参照着阅读。再次对我写书的时候出现的笔误跟所有读者道歉。


  • 页码:17,表1-3,“半监督学习”改成“无监督学习”

  • 页码:18,表1-4第一行,“随机森立”改为“随机森林”

  • 页码:36,第四行,StratifiedSampling分层采样

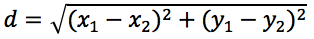
  • 页码:444.1下面第二行,我们举一些例子来时行说明

  • 页码:198,表7-4,“最源单元路径”改为“最短单元路径”

  • 页码:97,最后一行,改为

  • 页码:41,第24行,section=list(map(lambda x: x[0]+x[1], zip(average, variance)))改为section=list(map(lambda x: x[0]+x[1]*3, zip(average, variance)))

 

  • 页码:133,在第一行“结果如下”下方加上以下内容:

通过数据集可以生成JSON结构的数据对象

critics={'Jack':{'SeeYou Again':4.5,'Try Everything':3.5,'Let it Go':5.0,

                    'Sugar':3.5,'Sorry':2.5,'Baby':3.0},

        'Michael':{'See You Again':2.5,'TryEverything':3.0,'Let it Go':3.0,

                    'Sorry':3.5},

        'Petter':{'See You Again':2.5,'TryEverything':3.5,'Let it Go':3.0,

                    'Sugar':4.0,'Sorry':4.5,'Animals':2.0},

        'Tom':{'See You Again':4.5,'Try Everything':4.0,'Letit Go':5.0}}

 

  • 页码:133,替换两处:topMatches(数据集,'Tom')topMatches(critics,'Tom')

  • 页码:153,“卷积神经网络”标题下第4行,“之所以卷积神经网络神对图片”改为“之所以卷积神经网络针对图片”


 End 

为了方便大家学习与交流,凡人云近日已开通机器学习社群!

分享公众号名片到40人以上的大群并截图给小助手,小助手就会拉你入群

在这里你可以得到:

1.各种学术讨论

2.最新的资料分享

3.不定期的征文以及联谊活动!

小助手微信号:meiwznn


给我一分钟

送你一个学习的世界

微信号:凡人机器学习

长按二维码关注



登录查看更多
0

相关内容

【实用书】Python机器学习Scikit-Learn应用指南,247页pdf
专知会员服务
270+阅读 · 2020年6月10日
【干货书】机器学习Python实战教程,366页pdf
专知会员服务
346+阅读 · 2020年3月17日
【新书】Pro 机器学习算法Python实现,379页pdf
专知会员服务
204+阅读 · 2020年2月11日
【新书】Python数据科学食谱(Python Data Science Cookbook)
专知会员服务
117+阅读 · 2020年1月1日
MIT新书《强化学习与最优控制》
专知会员服务
282+阅读 · 2019年10月9日
深度学习「CV」学习实践指南!
专知
10+阅读 · 2020年6月21日
深度强化学习简介
专知
30+阅读 · 2018年12月3日
180页机器学习Python简介教程【免费下载】
机器学习算法与Python学习
6+阅读 · 2018年8月18日
【Keras】基于SegNet和U-Net的遥感图像语义分割
数据挖掘入门与实战
3+阅读 · 2018年4月4日
Python数据科学超强阵容书单
图灵教育
6+阅读 · 2018年3月26日
Keras】基于SegNet和U-Net的遥感图像语义分割
全球人工智能
11+阅读 · 2018年1月22日
动手写机器学习算法:K-Means聚类算法
七月在线实验室
5+阅读 · 2017年12月6日
报名 | 知识图谱技术和在司法领域的应用讲座
数据派THU
6+阅读 · 2017年9月12日
报名 | 知识图谱技术和在司法领域的应用
THU数据派
24+阅读 · 2017年9月11日
Arxiv
13+阅读 · 2019年4月9日
Conditional BERT Contextual Augmentation
Arxiv
8+阅读 · 2018年12月17日
Arxiv
4+阅读 · 2018年10月5日
Arxiv
5+阅读 · 2018年5月1日
Arxiv
4+阅读 · 2018年4月30日
Arxiv
12+阅读 · 2018年1月12日
Arxiv
3+阅读 · 2017年12月14日
VIP会员
相关资讯
深度学习「CV」学习实践指南!
专知
10+阅读 · 2020年6月21日
深度强化学习简介
专知
30+阅读 · 2018年12月3日
180页机器学习Python简介教程【免费下载】
机器学习算法与Python学习
6+阅读 · 2018年8月18日
【Keras】基于SegNet和U-Net的遥感图像语义分割
数据挖掘入门与实战
3+阅读 · 2018年4月4日
Python数据科学超强阵容书单
图灵教育
6+阅读 · 2018年3月26日
Keras】基于SegNet和U-Net的遥感图像语义分割
全球人工智能
11+阅读 · 2018年1月22日
动手写机器学习算法:K-Means聚类算法
七月在线实验室
5+阅读 · 2017年12月6日
报名 | 知识图谱技术和在司法领域的应用讲座
数据派THU
6+阅读 · 2017年9月12日
报名 | 知识图谱技术和在司法领域的应用
THU数据派
24+阅读 · 2017年9月11日
相关论文
Arxiv
13+阅读 · 2019年4月9日
Conditional BERT Contextual Augmentation
Arxiv
8+阅读 · 2018年12月17日
Arxiv
4+阅读 · 2018年10月5日
Arxiv
5+阅读 · 2018年5月1日
Arxiv
4+阅读 · 2018年4月30日
Arxiv
12+阅读 · 2018年1月12日
Arxiv
3+阅读 · 2017年12月14日
Top
微信扫码咨询专知VIP会员