如何用数学方法估算一个女生前男友的数量?

2018 年 5 月 8 日 算法与数学之美

如果一个女生说,她集齐了十二个星座的前男友,我们应该如何估计她前男友的数量?


  • 小学生:这个问题相当简单


公式


数据:

{白羊座, 金牛座, 双子座, 巨蟹座, 狮子座, 处女座, 天秤座, 天蝎座, 射手座, 摩羯座, 水瓶座, 双鱼座}


实现:

N@# HarmonicNumber@# &@12


答案:

37.2385

-----------------------------------------



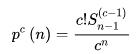
  • 初中生:不知道要考虑分布吗?



公式:    


数据:

n=12


实现:

DiscretePlot[c!StirlingS2[n-1,c-1]/c^n/.c->12,{n,1,100}]


答案:


有10%的把握少于17个,有50%的把握少于35个。
有90%的把握少于55个,有99%的把握少于82个。

------------------------------------



  • 高中生:知不知道人群中星座分布比例不均?


公式:


数据:

额外假设1:题主是中国人,所以使用中国的星座分布数据

额外假设2:题主是适龄青年,所以使用年龄18-36的星座分布数据

第一个是白羊座,然后是金牛,以此类推...

p={0.1028,0.0911,0.0843,0.0822,0.0848,0.085,0.0857,0.0795,0.0753,0.0761,0.0808,0.073}

注1:不要吐槽总和不是1,因为有舍入误差...


实现:

NIntegrate[1-Fold[Times,1,1-E^(-#t)&/@p],{t,0,9527}]


答案:

37.7424,就比均匀分布多了0.5个....

可以类比均值不等式理解为何分布默认均匀的时候最小

--------------------------------------



  • 大学生:难道不知道上一任男友对下一次决策有影响吗?


比如....哦不...显然
上任是处女座,估摸着下任怎么着也不会是处女座了...
上任是天蝎座,那么我打包票,你不会也不敢有下任了.......
然后顺便把上面的星座分布不均也考虑进去...

所以我们可以用一个转移矩阵来刻画这个情况.
或者画成12个节点的加权有向图...

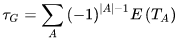
然后求这个加权图G的随机游走覆盖时间(Cover Time)

考虑到严谨性我应该证明一下上面的一堆公式,不过上面三个公式每个都能写篇大论文,短短篇幅说不清,所以解释就化归到这个问题一并解决...


随机游走

  • 把12星座画成12个节点,然后可以作为下任的话就画个箭头

  • 箭头有个粗细程度,这个叫加权,加权决定了选这个下任的概率有多大,实际概率波动不大所以不明显

  • 分析这144个关系全都画出来就是上面这张图

  • 选男友的过程数学上被称为图G上的随机游走


Cover Time

  • 这些节点全部经过至少一遍所需要的时间叫做Cover Time

  • 子问题包括各种著名概率问题,生日问题啊,赠券收集啊等等...

  • 衍生问题还有复遍历,多重遍历什么的,可以有效用于氪金估计...

  • 退化问题,退化为Tree的话可以相当有效的进行爬虫策略优化...


显然上面三个公式都是这个问题的特例

1、小学生:12阶非加权完全图的Cover Time

2、初中生:12阶非加权完全图指定Cover程度后的Time分布

3、高中生:12阶加权完全图的Cover Time


这个问题数学上来说的话不难,穷举所有路径首次通过时间的分布的平均值的交错和就行了...写成公式就是这样:


记A为G的所有可能通过的路径


虽然能写出公式然而并没有什么用,求解精确值还是个世界难题...


写成代码是这个样子的,复杂度足够让算法学家爆气...


幸好星座只有12个我的小CPU还能踉跄跑完...56个民族的话到宇宙灭亡也跑不完



而且蒙特卡洛效果也不太好,小规模精度不够,大规模基本跑不完...


一般可以用Matthews逼近来稍稍有效的求一下上下界...


见Markov Chains and Mixing Times一书


哦,忘记说计算结果了,初始节点对最后的结果影响不小,所以第一个男友很重要啊
第一任是处女座的话最小,只要31.64个,其他都在在35-38之间...

-----------------------------------------


  • 社会青年:这种女孩子我见得多了


某些数理邪 教组织啊,宣传什么法则,就那个传说中能找到最理想男友的法则...

无责任超链接:关于配偶选择理论的详细解释以及推广
http://www.kylen314.com/archives/5234


人一生中会遇到大约40有可能进行交往的对象,然后可以取前也就是13个人为实验组,考察下质量然后放弃掉,然后后面27个只要有超过前13个中最强的就嫁了吧....


Well.....So,Reasons to believe that you are the 13th rebound guy...
简单地说就是找12个星座的男生采样比较均匀...





算法数学之美微信公众号欢迎赐稿

稿件涉及数学、物理、算法、计算机、编程等相关领域

经采用我们将奉上稿酬。

投稿邮箱:math_alg@163.com


登录查看更多
0

相关内容

数学是关于数量、结构、变化等主题的探索。
【硬核书】不完全信息决策理论,467页pdf
专知会员服务
364+阅读 · 2020年6月24日
【ICLR2020-哥伦比亚大学】多关系图神经网络CompGCN
专知会员服务
50+阅读 · 2020年4月2日
周志华教授:如何做研究与写论文?
专知会员服务
161+阅读 · 2019年10月9日
可视化理解四元数,愿你不再掉头发
计算机视觉life
31+阅读 · 2019年1月2日
不用数学讲清马尔可夫链蒙特卡洛方法?
算法与数学之美
16+阅读 · 2018年8月8日
从贝叶斯理论到图像马尔科夫随机场
人工智能头条
6+阅读 · 2018年5月1日
傅里叶变换和拉普拉斯变换的物理解释及区别
算法与数学之美
11+阅读 · 2018年2月5日
如何轻松解锁神经网络的数学姿势
ImportNew
6+阅读 · 2018年1月4日
干货|通俗易懂地解释EM算法并举例说明?
机器学习研究会
12+阅读 · 2017年11月17日
酒鬼漫步的数学——随机过程 | 张天蓉专栏
知识分子
10+阅读 · 2017年8月13日
[有意思的数学] 参数估计
机器学习和数学
15+阅读 · 2017年6月4日
Meta-Learning with Implicit Gradients
Arxiv
13+阅读 · 2019年9月10日
Image Captioning: Transforming Objects into Words
Arxiv
7+阅读 · 2019年6月14日
Accelerated Methods for Deep Reinforcement Learning
Arxiv
6+阅读 · 2019年1月10日
Arxiv
6+阅读 · 2018年10月3日
VIP会员
相关资讯
可视化理解四元数,愿你不再掉头发
计算机视觉life
31+阅读 · 2019年1月2日
不用数学讲清马尔可夫链蒙特卡洛方法?
算法与数学之美
16+阅读 · 2018年8月8日
从贝叶斯理论到图像马尔科夫随机场
人工智能头条
6+阅读 · 2018年5月1日
傅里叶变换和拉普拉斯变换的物理解释及区别
算法与数学之美
11+阅读 · 2018年2月5日
如何轻松解锁神经网络的数学姿势
ImportNew
6+阅读 · 2018年1月4日
干货|通俗易懂地解释EM算法并举例说明?
机器学习研究会
12+阅读 · 2017年11月17日
酒鬼漫步的数学——随机过程 | 张天蓉专栏
知识分子
10+阅读 · 2017年8月13日
[有意思的数学] 参数估计
机器学习和数学
15+阅读 · 2017年6月4日
Top
微信扫码咨询专知VIP会员