深入浅出线性判别分析(LDA),从理论到代码实现

2021 年 1 月 19 日 PaperWeekly


©作者|善财童子
学校|西北工业大学
研究方向|机器学习/射频微波

在知乎看到一篇讲解线性判别分析(LDA,Linear Discriminant Analysis)的文章,感觉数学概念讲得不是很清楚,而且没有代码实现。所以童子在参考相关文章的基础上在这里做一个学习总结,与大家共勉,欢迎各位批评指正~~

注意:在不加说明的情况下,所有公式的向量均是列向量,这个也会反映到代码中。

本文的基本思路来自以下文章:
https://www.adeveloperdiary.com/data-science/machine-learning/linear-discriminant-analysis-from-theory-to-code/



基本概念和目标


线性判别分析是一种很重要的分类算法,同时也是一种降维方法(这个我还没想懂)。和 PCA 一样,LDA 也是通过投影的方式达到去除数据之间冗余的一种算法。

如下图所示的 2 类数据,为了正确的分类,我们希望这 2 类数据投影之后,同类的数据尽可能的集中(距离近,有重叠),不同类的数据尽可能的分开(距离远,无重叠),左图的投影不好,因为 2 类数据投影后有重叠,而右图投影之后可以很好地进行分类,因为投影之后的 2 类数据之间几乎没有重叠,只是类内重叠得很厉害,而这正是我们想要的结果。



正交投影


因为 LDA 用到了投影,所以这里有必要科普一下投影的知识。以二维平面为例,如图所示


我们要计算向量 上的投影 ,很显然 成比例关系: ,其中 是一个常数。我们使用向量正交的概念来求出这个常数 。在上图中,向量 垂直,它们的内积为 0,即 ,即



注意:对于两个向量 x 和 y,  ,所以有
假设 w 是一个单位向量,则 ,这样,对于任意向量 x,其在 w 上的投影 可表示为:

其中,   是一个常数。

于一个数据集 ,其中 ,i=1,2,3,...m 是 d 维列向量。同样假设 w 是一个单位向量,那么每一个 在 w 的投影是:

上述公式的 是叫做 在 w 上的偏移或者坐标。这一系列的值 表示我们做了一个映射 ,即通过投影,我们将 d 维向量降维到了 1 维。


投影数据的均值


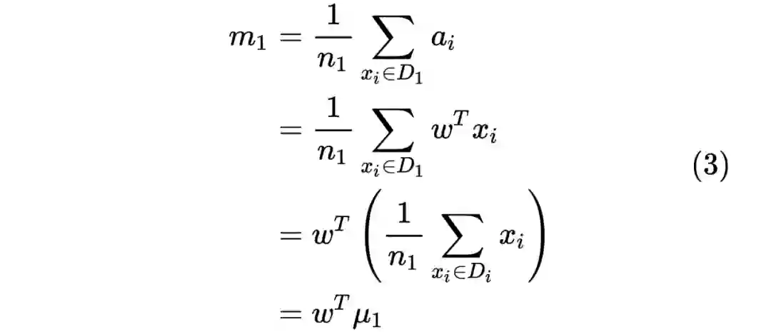
简化起见,我们先假设有 2 类数据,定义样本 ,其中
我们再定义

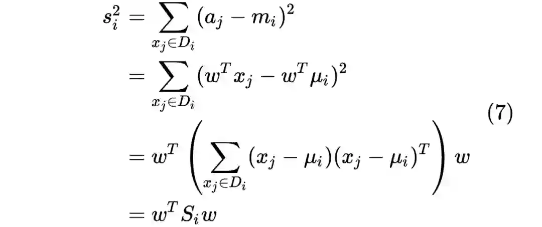
其中 是类别, 是所有类别为 的样本的集合。所有数据 投影到 w 后,求其均值:

其中, 数据集的均值,同理 的均值是 ,投影后的均值 。为了使投影之后数据可正确地分类,我们希望这 2 类数据的中心离得越远越好,也就是要使 最大,但是单独这个条件并不能保证能够正确地对每一个数据进行分类,我们还需要考虑每一类数据的方差,大的方差表示 2 类数据之间有重叠,小的方差表示 2 类数据之间没有重叠。
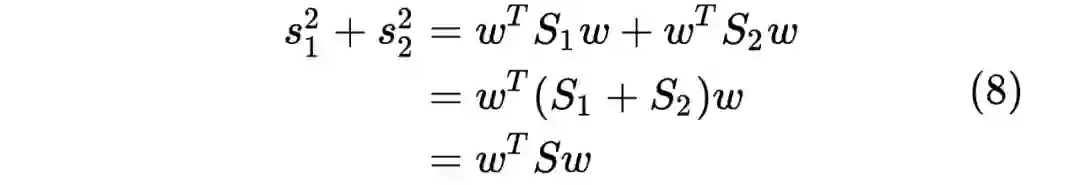
LDA 并没有直接使用方差的计算公式,而是采用如下的定义:



这个有个名称叫 scatter matrix,本文暂时将其翻译成散步矩阵吧。

总结一下,LDA 主要就两点:

(1)最大化各类数据中心的距离,也就是各类数据的均值之间的距离要最大;

(2)各类数据的散步矩阵之和要小,也就是每个类别中的数据尽可能地集中。

将上述两点整合在一起,得到一个优化公式:



这个公式也叫做 Fisher LDA,这样,LDA 的问题就是关于   最优化上述的公式。我们重写上述公式如下:


同理有  :


这样:


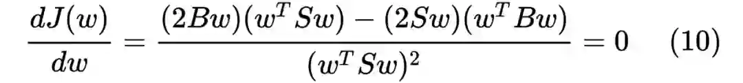
这样,LDA 目标优化函数就可以重写为:



对公式(9)关于   求导,并令其导数为 0,可得:



整理得:



公式(11)中 做了替代: 是一个常量。如果 S 是非奇异矩阵,那么公式(11)左乘 得到:



最终,LDA 问题其实就是求 对应最大特征值,而我们前面要求的投影方向就是最大特征值对应的特征向量,我们将 LDA 问题化成了矩阵的特征值和特征向量的问题了。

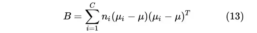
上述推导针对二分类问题进行的,对于多分类问题, 矩阵的计算方式不变,而 矩阵需要采用如下的公式计算:



其中:

C 表示类别的个数; 表示第 i 类中样本的个数; 表示第 i 类样本的均值; 表示整个样本的均值。

关于矩阵微分可参考如下文章:

https://zhuanlan.zhihu.com/p/24709748

https://zhuanlan.zhihu.com/p/24863977


这里提醒一下,对 关于 x 求导的结果是 ,如果 A 是对称矩阵,即 ,则 。公式(10)中因为 B 和 S 都是对称矩阵(由它们的定义可以看出是对称矩阵),所以对 关于 w 求导的结果是  2Bw ,即 ,同理


代码实现


import numpy as np
from sklearn import datasets

from sklearn.datasets import make_blobs
import matplotlib.pyplot as plt

class MyLDA:
    def __init__(self):
        pass


    def fit(self, X, y):
        # 获取所有的类别
        labels = np.unique(y)
        #print(labels)
        means = []
        for label in labels:
            # 计算每一个类别的样本均值
            means.append(np.mean(X[y == label], axis=0))
        # 如果是二分类的话
        if len(labels) == 2:
            mu = (means[0] - means[1])
            mu = mu[:,None# 转成列向量
            B = mu @ mu.T
        else:
            total_mu = np.mean(X, axis=0)
            B = np.zeros((X.shape[1], X.shape[1]))
            for i, m in enumerate(means):
                n = X[y==i].shape[0]
                mu_i = m - total_mu
                mu_i = mu_i[:,None# 转成列向量
                B += n * np.dot(mu_i, mu_i.T)

        # 计算S矩阵
        S_t = []
        for label, m in enumerate(means):
            S_i = np.zeros((X.shape[1], X.shape[1]))
            for row in X[y == label]:
                t = (row - m)
                t = t[:,None# 转成列向量
                S_i += t @ t.T
            S_t.append(S_i)
        S = np.zeros((X.shape[1], X.shape[1]))
        for s in S_t:
            S += s

        # S^-1B进行特征分解
        S_inv = np.linalg.inv(S)
        S_inv_B = S_inv @ B
        eig_vals, eig_vecs = np.linalg.eig(S_inv_B)

        #从大到小排序
        ind = eig_vals.argsort()[::-1]
        eig_vals = eig_vals[ind]
        eig_vecs = eig_vecs[:, ind]
        return eig_vecs


#构造数据集
def make_data(centers=3, cluster_std=[1.03.02.5], n_samples=150, n_features=2):    
    X, y = make_blobs(n_samples, n_features, centers, cluster_std)
    return X, y

if __name__ == "__main__":
    X, y = make_data(2, [1.03.0])
    print(X.shape)

    lda = MyLDA()
    eig_vecs = lda.fit(X, y)
    W = eig_vecs[:, :1]

    colors = ['red''green''blue']
    fig, ax = plt.subplots(figsize=(108))
    for point, pred in zip(X, y):
        # 画出原始数据的散点图
        ax.scatter(point[0], point[1], color=colors[pred], alpha=0.5)
        # 每个数据点在W上的投影
        proj = (np.dot(point, W) * W) / np.dot(W.T, W)

        #画出所有数据的投影
        ax.scatter(proj[0], proj[1], color=colors[pred], alpha=0.5)

    plt.show()

4.1 2类2个特征

if __name__ == "__main__":
    X, y = make_data(2, [1.0, 3.0]) #rint(X.shape)

    lda = MyLDA()
    eig_vecs = lda.fit(X, y)
    W = eig_vecs[:, :1]

    colors = ['red''green''blue']
    fig, ax = plt.subplots(figsize=(10, 8))
    for point, pred in zip(X, y):
        # 画出原始数据的散点图
        ax.scatter(point[0], point[1], color=colors[pred], alpha=0.5)
        # 每个数据点在W上的投影
        proj = (np.dot(point, W) * W) / np.dot(W.T, W)

        #画出所有数据的投影
        ax.scatter(proj[0], proj[1], color=colors[pred], alpha=0.5)

    plt.show()

运行结果是:


可见,数据投影后在 1 维上可以很好的分类。

4.2 3类2个特征

if __name__ == "__main__":
         # 3
    X, y = make_data([[2.0, 1.0], [15.0, 5.0], [31.0, 12.0]], [1.03.02.5])
    print(X.shape)

    lda = MyLDA()
    eig_vecs = lda.fit(X, y)
    W = eig_vecs[:, :1]

    colors = ['red''green''blue']
    fig, ax = plt.subplots(figsize=(108))
    for point, pred in zip(X, y):
        # 画出原始数据的散点图
        ax.scatter(point[0], point[1], color=colors[pred], alpha=0.5)
        # 每个数据点在W上的投影
        proj = (np.dot(point, W) * W) / np.dot(W.T, W)

        #画出所有数据的投影
        ax.scatter(proj[0], proj[1], color=colors[pred], alpha=0.5)

    plt.show()

运行结果是:


4.3 3类4个特征

if __name__ == "__main__":
    #X, y = load_data(cols, load_all=True, head=True)
    X, y = make_data([[2.0, 1.0], [15.0, 5.0], [31.0, 12.0]], [1.03.02.5], n_features=4)
    print(X.shape)

    lda = MyLDA()
    eig_vecs = lda.fit(X, y)

    # 取前2个最大特征值对应的特征向量
    W = eig_vecs[:, :2]

    # 将数据投影到这两个特征向量上,从而达到降维的目的
    transformed = X @ W
    plt.subplots(figsize=(108))
    plt.scatter(transformed[:, 0], transformed[:, 1], c=y, cmap=plt.cm.Set1)
    plt.show()

运行结果如下:


对上述结果使用 sklearn 官方实现的 LDA 进行对比验证:

if __name__ == "__main__":
    X, y = make_data([[2.0, 1.0], [15.0, 5.0], [31.0, 12.0]], [1.03.02.5], n_features=4)
    print(X.shape)

    lda = MyLDA()
    eig_vecs = lda.fit(X, y)

    # 取前2个最大特征值对应的特征向量
    W = eig_vecs[:, :2]

    # 将数据投影到这两个特征向量上,从而达到降维的目的
    transformed = X @ W
    plt.subplots(figsize=(108))
    plt.scatter(transformed[:, 0], transformed[:, 1], c=y, cmap=plt.cm.Set1)
    plt.title('self-implementation')

    from sklearn.discriminant_analysis import LinearDiscriminantAnalysis
    sk_lda = LinearDiscriminantAnalysis()
    sk_lda.fit(X, y)
    transformed = sk_lda.transform(X)
    plt.subplots(figsize=(108))
    plt.scatter(transformed[:, 0], transformed[:, 1], c=y, cmap=plt.cm.Set1)
    plt.title("sklearn's offical implementation")
    plt.show()




左图是本文实现的 LDA 分类结果,右图是官方实现的 LDA 分类结果,可见,两者的结果是一致的。


总结


LDA 是一个很强大的工具,但它是一个有监督的分类算法,PCA 是一个无监督的算法,这是和 PCA 的一个很重要的区别。


更多阅读




#投 稿 通 道#

 让你的论文被更多人看到 



如何才能让更多的优质内容以更短路径到达读者群体,缩短读者寻找优质内容的成本呢?答案就是:你不认识的人。


总有一些你不认识的人,知道你想知道的东西。PaperWeekly 或许可以成为一座桥梁,促使不同背景、不同方向的学者和学术灵感相互碰撞,迸发出更多的可能性。 


PaperWeekly 鼓励高校实验室或个人,在我们的平台上分享各类优质内容,可以是最新论文解读,也可以是学习心得技术干货。我们的目的只有一个,让知识真正流动起来。


📝 来稿标准:

• 稿件确系个人原创作品,来稿需注明作者个人信息(姓名+学校/工作单位+学历/职位+研究方向) 

• 如果文章并非首发,请在投稿时提醒并附上所有已发布链接 

• PaperWeekly 默认每篇文章都是首发,均会添加“原创”标志


📬 投稿邮箱:

• 投稿邮箱:hr@paperweekly.site 

• 所有文章配图,请单独在附件中发送 

• 请留下即时联系方式(微信或手机),以便我们在编辑发布时和作者沟通



🔍


现在,在「知乎」也能找到我们了

进入知乎首页搜索「PaperWeekly」

点击「关注」订阅我们的专栏吧



关于PaperWeekly


PaperWeekly 是一个推荐、解读、讨论、报道人工智能前沿论文成果的学术平台。如果你研究或从事 AI 领域,欢迎在公众号后台点击「交流群」,小助手将把你带入 PaperWeekly 的交流群里。



登录查看更多
2

相关内容

【经典书】计算理论导论,482页pdf
专知会员服务
86+阅读 · 2021年4月10日
【经典书】R机器学习入门:严格的数学分析,225页pdf
专知会员服务
62+阅读 · 2021年2月16日
【经典书】线性代数,352页pdf教你应该这样学
专知会员服务
107+阅读 · 2020年12月20日
最新《高斯过程回归简明教程》,19页pdf
专知会员服务
73+阅读 · 2020年9月30日
【经典书】概率统计导论第五版,730页pdf
专知会员服务
249+阅读 · 2020年7月28日
【硬核书】不完全信息决策理论,467页pdf
专知会员服务
365+阅读 · 2020年6月24日
《深度学习》圣经花书的数学推导、原理与Python代码实现
【经典书】精通机器学习特征工程,中文版,178页pdf
专知会员服务
360+阅读 · 2020年2月15日
百面机器学习!算法工程师面试宝典!| 码书
程序人生
6+阅读 · 2019年3月2日
Mars 算法实践——人脸识别
云栖社区
3+阅读 · 2019年1月16日
机器学习(33)之局部线性嵌入(LLE)【降维】总结
机器学习算法与Python学习
7+阅读 · 2017年12月21日
机器学习(30)之线性判别分析(LDA)原理详解
机器学习算法与Python学习
11+阅读 · 2017年12月6日
动手写机器学习算法:SVM支持向量机(附代码)
七月在线实验室
12+阅读 · 2017年12月5日
机器学习(27)【降维】之主成分分析(PCA)详解
机器学习算法与Python学习
9+阅读 · 2017年11月22日
手把手教你用LDA特征选择
AI研习社
12+阅读 · 2017年8月21日
神经网络理论基础及 Python 实现
Python开发者
6+阅读 · 2017年7月15日
基于LDA的主题模型实践(一)
机器学习深度学习实战原创交流
20+阅读 · 2015年9月9日
A Quaternion-Valued Variational Autoencoder
Arxiv
0+阅读 · 2021年4月22日
Arxiv
0+阅读 · 2021年4月21日
Arxiv
5+阅读 · 2018年4月22日
VIP会员
相关VIP内容
【经典书】计算理论导论,482页pdf
专知会员服务
86+阅读 · 2021年4月10日
【经典书】R机器学习入门:严格的数学分析,225页pdf
专知会员服务
62+阅读 · 2021年2月16日
【经典书】线性代数,352页pdf教你应该这样学
专知会员服务
107+阅读 · 2020年12月20日
最新《高斯过程回归简明教程》,19页pdf
专知会员服务
73+阅读 · 2020年9月30日
【经典书】概率统计导论第五版,730页pdf
专知会员服务
249+阅读 · 2020年7月28日
【硬核书】不完全信息决策理论,467页pdf
专知会员服务
365+阅读 · 2020年6月24日
《深度学习》圣经花书的数学推导、原理与Python代码实现
【经典书】精通机器学习特征工程,中文版,178页pdf
专知会员服务
360+阅读 · 2020年2月15日
相关资讯
百面机器学习!算法工程师面试宝典!| 码书
程序人生
6+阅读 · 2019年3月2日
Mars 算法实践——人脸识别
云栖社区
3+阅读 · 2019年1月16日
机器学习(33)之局部线性嵌入(LLE)【降维】总结
机器学习算法与Python学习
7+阅读 · 2017年12月21日
机器学习(30)之线性判别分析(LDA)原理详解
机器学习算法与Python学习
11+阅读 · 2017年12月6日
动手写机器学习算法:SVM支持向量机(附代码)
七月在线实验室
12+阅读 · 2017年12月5日
机器学习(27)【降维】之主成分分析(PCA)详解
机器学习算法与Python学习
9+阅读 · 2017年11月22日
手把手教你用LDA特征选择
AI研习社
12+阅读 · 2017年8月21日
神经网络理论基础及 Python 实现
Python开发者
6+阅读 · 2017年7月15日
基于LDA的主题模型实践(一)
机器学习深度学习实战原创交流
20+阅读 · 2015年9月9日
Top
微信扫码咨询专知VIP会员