强化学习表示空间中的规划

2018 年 9 月 4 日 论智
作者:Jacob Andreas
编译:weakish

编者按:Microsoft Semantic Machines资深研究科学家、UC Berkeley计算机科学博士Jacob Andreas以控制问题为例,讨论了在强化学习的表示空间中引入规划能力的思路。

以神经网络为参数的智能体(例如Atari玩家智能体)看起来普遍缺乏规划的能力。蒙特卡洛反应式智能体(例如原始深度Q学习者)明显是个例子,甚至于具备一定隐藏状态的智能体(比如NIPS的MemN2N论文)看上去也是这样。尽管如此,类似规划的行为已成功应用于其他深度模型,尤其是在文本生成上——集束解码,乃至集束训练,看上去对机器翻译和图像描述而言不可或缺。当然,对处理并非玩具级别的控制问题的人而言,真实的规划问题无处不在。

任务和运动规划是一个好例子。有一次我们需要求解一个持续控制问题,但是直接求解(通过通用控制策略或类似TrajOpt的过程)太难了。因此我们转而尝试高度简化、手工指定的问题编码——也许是丢弃了几何信息的STRIPS表示。我们解决了(相对简单的)STRIPS规划问题,接着将其投影回运动规划空间。该投影可能不对应可行的策略!(但我们想让在任务空间中可行的策略在运动空间中尽量可行。)我们持续搜索计划空间,直到找到在运动空间中同时奏效的解。

其实这不过是一个由粗到细的剪枝计划——我们需要可以丢弃明显不可行的规划的低成本方法,这样我们可以将全部计算资源集中到确实需要模拟的情形上。

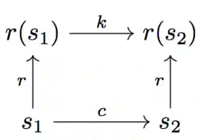
如图所示:

上图中,r为表示函数,c为成本函数(我们可以将其视为用0-1表示可行性判断的函数),k为“表示成本”。我们想要确保r在运动成本和任务成本上“接近同构”,也就是c(s1, s2) ≈ k(r(s1), r(s2))。

就STRIPS版本而言,假定我们手工给出r和k。不过,我们可以学习一个比STRIPS更好的求解任务和运动规划问题的表示吗?

从规划样本中学习

首先假定我们已经有了训练数据,数据为成功的运动空间路点序列(s1, s2, …, s*)。那么我们可以直接最小化以下目标函数:

最容易的情形是表示空间(r的对应域)为ℝd;这时我们可以操作d以控制表示质量和搜索表示空间的成本之间的平衡。

问题:如果我们只观测到常数c(如果只看到好的解,可能会出现这种情形),那就没有压力学习不那么微不足道的k。所以我们也需要不成功的尝试。

解码

给定训练好的模型,我们通过以下步骤求解新实例:

  1. 从表示空间中取样一个满足r(s*) ≈ rn的成本加权路径(r1,r2, ..., rn)。

  2. 将每个表示空间转换r1 → r2映射到运动空间转换s1 → s2,且满足r(s2) ≈ r2。(如果r是可微的,那么这很容易表达为一个优化问题,否则需要麻烦一点表达为策略。)

  3. 重复上述过程,直到其中之一的运动空间解可行。

在涉及计算路径的每一个步骤(不管是在r-空间还是在s-空间),我们都可以使用范围广泛的技术,包括基于优化的技术(TrajOpt),基于搜索的技术(RRT,不过大概不适用于高维情形),或者通过学习以目标状态为参数的策略。

直接从任务反馈学习

如果我们没有良好的轨迹可供学习,怎么办?只需修改之前的上面两步——从随机初始值开始,展开包含预测的r和s序列,接着生成由预测值r和s构成的序列,然后将其视作监督,同样更新k以反映观测到的成本。

提示性搜索

到目前为止,我们假设可以直接暴力搜索表示空间,直到我们接近目标。没有机制强制表示空间的接近程度同样接近于运动空间(除了r可能带来的平滑性)。我们可能想要增加额外的限制,如果根据定义ri距离rn不止3跳,那么||ri − rn||>||ri+1−rn||。这立刻提供了在表示空间中搜索的便利的启发式算法。

我们也可以在这一阶段引入辅助信息——也许是以语言或视频形式提供的意见。(接着我们需要学习另一个从意见空间到表示空间的映射。)

模块化

在STRIPS领域,定义一些不同的原语(如“移动”、“抓取”)是很常见的做法。我们也许想给智能体提供类似的不同策略的离散清单,清单上的策略列出了转换成本k1, k2, …。现在搜索问题同时牵涉(连续地)选择一组点,和(离散地)选择用于在点之间移动的成本函数/运动原语。这些原语对应的运动可能受限于配置空间中某个(手工选取)的子流形(比如,仅仅移动末端执行器,仅仅移动第一个关节)。

感谢Dylan Hadfield-Menell关于任务和运动规划的讨论。

原文地址:http://blog.jacobandreas.net/planning-representations.html

登录查看更多
1

相关内容

Jacob Andreas是麻省理工学院的助理教授和微软语义机器的研究员。他的团队的研究目的是建立自然语言界面的智能系统和理解预测问题,塑造语言和其他表征。雅各布在加州大学伯克利分校获得博士学位,他的哲学硕士学位。他是剑桥大学的丘吉尔学者,在哥伦比亚大学获得理学士学位。他曾获得NSF研究生奖学金、Facebook奖学金、NAACL和ICML的论文奖。
【ICML2020】用于强化学习的对比无监督表示嵌入
专知会员服务
28+阅读 · 2020年7月6日
【IJCAI2020-华为诺亚】面向深度强化学习的策略迁移框架
专知会员服务
28+阅读 · 2020年5月25日
《强化学习》简介小册,24页pdf
专知会员服务
278+阅读 · 2020年4月19日
【Texas 大学】强化学习领域的课程学习:一个框架和综述
专知会员服务
73+阅读 · 2020年3月22日
【Nature论文】深度网络中的梯度下降复杂度控制
专知会员服务
41+阅读 · 2020年3月9日
近期强化学习领域论文导读(附源码)
人工智能前沿讲习班
7+阅读 · 2019年6月15日
强化学习与文本生成
微信AI
41+阅读 · 2019年4月4日
PlaNet 简介:用于强化学习的深度规划网络
谷歌开发者
13+阅读 · 2019年3月16日
论强化学习的根本缺陷
AI科技评论
11+阅读 · 2018年7月24日
【强化学习】强化学习/增强学习/再励学习介绍
产业智能官
10+阅读 · 2018年2月23日
【强化学习】强化学习+深度学习=人工智能
产业智能官
55+阅读 · 2017年8月11日
Arxiv
7+阅读 · 2018年12月26日
Relational Deep Reinforcement Learning
Arxiv
10+阅读 · 2018年6月28日
Arxiv
5+阅读 · 2018年6月12日
Arxiv
5+阅读 · 2017年10月27日
VIP会员
相关VIP内容
相关资讯
近期强化学习领域论文导读(附源码)
人工智能前沿讲习班
7+阅读 · 2019年6月15日
强化学习与文本生成
微信AI
41+阅读 · 2019年4月4日
PlaNet 简介:用于强化学习的深度规划网络
谷歌开发者
13+阅读 · 2019年3月16日
论强化学习的根本缺陷
AI科技评论
11+阅读 · 2018年7月24日
【强化学习】强化学习/增强学习/再励学习介绍
产业智能官
10+阅读 · 2018年2月23日
【强化学习】强化学习+深度学习=人工智能
产业智能官
55+阅读 · 2017年8月11日
Top
微信扫码咨询专知VIP会员