AI有嘻哈!

2018 年 8 月 27 日 AI100


记者 | 阿司匹林

出品 | AI科技大本营


8月23日,“2018年全球高校学生DeeCamp AI训练营”在北大举行闭幕式,经过层层评比,来自全球高校的300学生组成的28支队伍选出了8支优胜队伍。其中,一只用AI自动生成嘻哈歌词的队伍获得了“最佳DEMO奖”。


AI写嘻哈歌词的水平如何?能达到以假乱真的地步吗?不看广告看疗效,我们先来猜猜下面的歌词哪些是AI写的:


不是乐理专修 做点儿曲式研究 我们的力量来自宇宙 自己的节奏 
不是乐理专修 所有听的观众 打破他们传统 进到环球 继续让你感受


再来一个:


自己就带上了有色眼镜 金钱摧毁多少事情 瓦解你的中枢神经 
自己就带上了有色眼镜 我只想把世界分的更清 却发现自己却模糊了心


正确答案是:第一行都是模型生成的,第二行是原作。可以看出,AI的效果还是不错的,至少挺押韵的。




那么,这个有嘻哈精神的团队到底是怎样搭建这个 AI 模型的?


首先我们需要定义这个问题,也就是根据一句歌词迭代生成一段嘻哈歌词。另外一个是押韵,这是嘻哈歌词一大特点。 

清楚了问题,我们去调研一下已经有的文本声称方案,最终把它的优点和缺点列出来,然后我们选择了SequenceGAN作为基础模型,并且在这个之上提出我们的模型——SequenceGAN。

SequenceGAN 有两个组件,生成器、判读器,让生成器生成足以逼真的歌词。

我们在这个基础之上,有一个嘻哈生成网络。第一点是在这个之前我们增加了一个编码网络,将然后生成一些跟主题相关的歌词,第二点是把目标函数修改。

以下是SequenceGAN的效果,它有非常多的重复的语句,这就是GAN的一个通病,对于不同的输入,输出却很相同。

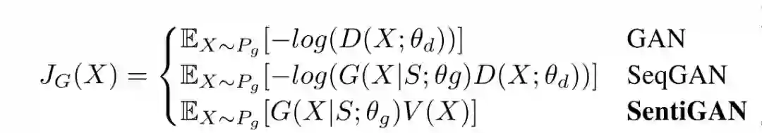
我们知道嘻哈歌手不可能一句话唱一整首,所以我们调研了一些文献,并且借鉴今年SentiGAN的想法,对生成器的目标函数进行修改,最后效果非常显著,有一个质的变化。


有了多样化的文本之后,我们下一步要解决的问题就是如何去实现押韵。我们尝试两种方案,一种是基于目标函数,增加押韵场景项,就好像考试的附加题,做对了给额外得分。但是我们希望它一直能够去做附加题,实现押韵的功能。但是它并不能很自主地学习到押韵的关。

最后我们尝试了基于规则的方式来实现这个押韵。比如输入“你真美丽”,我们根据这个i的韵脚去构建一个向量,做一个简单的操作,就能够得到必然是押韵的结果,同时可以控制押韵的概率。



附完整解读


项目作者:孙蒙新(厦门大学)、项瑞昌(华中科技大学)、伊玮雯(北京邮电大学)、陆亦扬(合肥工业大学)、石华(西南石油大学)、汪自力(西安电子科技大学)、庞雲升(重庆大学)、周子群(东北大学)、王超群(北京林业大学)、詹珏岑(Vandernilt University)


1、数据


我们一共使用了 10w 条嘻哈歌词,并且已经将一些不符合社会主义核心价值观的句子标注了出来。数据的预处理主要步骤如下:


  • 在对句子进行筛选之后,我们利用 Jieba 进行分词,观察到单句长度集中在 8~10 左右;

  • 在利用 Tensorflow 中的 Tokenizer 进行 tokenize 并构建 word2idex 字典后,词表大小在 11000 左右,考虑到这个大小还可以接受,没有做限制词表大小的操作;

  • 利用 pad_sequence 将句子 padding 到 20(和 SeqGAN 中相同);

  • 构建 x-y pair,利用上一句预测下一句(导师后来建议可以借鉴用 Skip-gram 的思路,同时预测上一句和下一句,但没有时间去尝试了),分割数据集。


训练数据地址:

https://drive.google.com/drive/folders/1QrO0JAti3A3vlZlUemouOW7jC3K5dFZr)


2、模型


我们的生成模型的整体基于 SeqGAN,并对其做了一些修改,模型架构如下:

主要改动有两点:


1.增加输入语句的编码:这一点类似 Seq2Seq 的 Encoder,SeqGAN 原本的 initial state 是全 0 的,为了将上文的信息传递给生成器,我们采用了一个简单的全连接层(Fully Connected Layer),将输入句子的 Word Embedding 经过一个线性变化之后作为生成器的 LSTM。事实上也可以尝试使用 RNN(LSTM)来作为 Encoder,不过这样模型的速度可能会比较慢。


2.将原先 Generator 的 Loss Function 改为 Penalty-based Objective:在训练模型的过程中我们发现,模型在 Adversarial Training 多轮之后出现了严重的 mode collapse 问题,比如:


别质疑自己 遮罩错的消息不要过得消极 世间人都笑我太疯癫 世间人都笑我太疯癫 守护地狱每座坟墓 世间人都笑我太疯癫 
你不知道rapper付出多少才配纸醉金迷 世间人都笑我太疯癫 但却从来没有心狠过 如果你再想听 
你不知道rapper付出多少才配纸醉金迷 你不知道rapper付出多少才配纸醉金迷


可以看到“世间人都笑我太疯癫”和“你不知道rapper付出多少才配纸醉金迷”占据了我们生成的结果。mode collapse,简单来说就是输入的改变不会影响生成的结果。为此我们调研了一些 Paper,最终采用了SentiGAN 中提出的 Penalty-based Objective Function:



3、押韵


嘻哈歌词非常重要的一个特点就是句与句之间的押韵,我们在实现这一功能的时候尝试了两种方案:


1.Reward based,在 reward 函数上增加额外的押韵奖赏项, r(rhyme):对 Generator 的生成的句子和输入的句子进行押韵的判断,如果押韵,则提供额外的奖赏。


2.Rule-based,生成时只对押韵的词进行采样:在生成句尾的词的概率分布时候,通过获取和输入句尾押韵的词,只在这些押韵的词进行采样。


方法一,如果能够通过设计 reward function 就能实现押韵的功能,那模型就是完全 end2end,非常 fancy 了。但是理想很丰满,现实很骨感,经过几天的调整押韵奖赏的权重,都没能看到押韵率(我们设置的用于检测押韵奖赏效果的指标,每个 batch 中和 input 押韵的句子的比例)的上升 。我们怀疑是这种奖赏的结合会让 Generator 产生混淆,并不能明确自己 reward 来自何处,应该需要更加具体的一些限制才能够实现这一方法。


方法二,一开始我是拒绝这么做的,用基于规则的方法不是我的理想。但是为了做出产品来,我还是屈服了。但还有一个问题摆在面前:怎么知道生成的是句尾呢?导师提醒我们,我们可以把输入倒过来。这是 NMT 中常用的一个手段,对于 LSTM,句子是真的还是反的差别不大,即使有差别,也可以通过一个 Bi-LSTM 来捕获不同顺序的信息。而为了知道哪些字词是押韵的,我们实现制作了一张 vocab_size x vocab_size 的大表 rhyme,如果两个词(index 分别为 i, j)押韵,则 rhyme[i, j] 非 0,否则为 0。


如上图所示,如果我们的输入为“你真美丽”,句尾词为“美丽”,韵脚为 i;最终采样结果只会在押韵的词中采样,示例的采样结果为“春泥”。


据此,我们就可以对生成过程的第一个词的词表分布进行一个 mask 操作,使得非押韵的词的概率都变成 0,就能够保证押韵了,代码片段如下:


# 获取 input 的最后一个词
first_token = self.inputs[:, 0]  # (batch_size, 1)
# 控制押韵的概率, 现在设置为 1.0 ,即 100% 押韵
select_sampler = Bernoulli(probs=1.0, dtype=tf.bool)
select_sample = select_sampler.sample(sample_shape=self.batch_size)
# 获取对应的 index 押韵行
token_rhyme = tf.cast(tf.gather(self.table, first_token), tf.float32)
# 进行 mask
prob_masked = tf.where(select_sample, tf.log(tf.multiply(token_rhyme, tf.nn.softmax(o_t))),tf.log(tf.nn.softmax(o_t)))
# 根据 mask 之后的概率分布进行采样
next_token = tf.cast(tf.reshape(tf.multinomial(prob_masked, 1), [self.batch_size])


不过这个制表的过程比较耗费时间(大约跑了 3 个小时,i7)。另一种思路是可以根据韵脚对字词进行分类,将相同韵脚的词的 index 编到一起,这样我们可以通过获取每个词的韵脚来知道目标词的范围,而不用挨个的去判断是否押韵。


招聘

AI科技大本营现招聘内容运营实习生,有意者请将简历投至:gulei@csdn.net,期待你的加入


工作要求:


  • 熟练使用微信、今日头条等平台发布文章,并负责其他对外推广渠道的内容铺建,用户管理以及互动;

  • 追踪AI领域动态,协助AI内容生产;

  • 能保证每周三天的工作时间。


工作地点:

北京市朝阳区酒仙桥路10号院恒通商务园


AI科技大本营在线公开课第12期

知识图谱专场

时间:8月30日 20:00-21:00

添加小助手微信csdnai,备注:美团

邀你加入课程交流群,即有机会获得定制T恤或者技术书籍


登录查看更多
3

相关内容

我们给定x,函数都会输出一个f(X),这个输出的f(X)与真实值Y可能是相同的,也可能是不同的,为了表示拟合的好坏,就用一个函数来度量拟合的程度。这个函数就称为损失函数(loss function),或者叫代价函数(cost function)
【ACL2020-Google】逆向工程配置的神经文本生成模型
专知会员服务
17+阅读 · 2020年4月20日
【CVPR2020-Facebook AI】前置不变表示的自监督学习
专知会员服务
47+阅读 · 2020年4月19日
【ACL2020-Allen AI】预训练语言模型中的无监督域聚类
专知会员服务
24+阅读 · 2020年4月7日
必读的10篇 CVPR 2019【生成对抗网络】相关论文和代码
专知会员服务
33+阅读 · 2020年1月10日
谷歌机器学习速成课程中文版pdf
专知会员服务
147+阅读 · 2019年12月4日
六篇 EMNLP 2019【图神经网络(GNN)+NLP】相关论文
专知会员服务
72+阅读 · 2019年11月3日
“万人迷”小冰背后的AI故事
AI100
6+阅读 · 2019年1月13日
冬日里的一首歌 | 清华快闪女指挥王明媚讲述背后的故事
清华大学研究生教育
59+阅读 · 2019年1月9日
自然语言处理NLP的坑到底有多大?
专知
46+阅读 · 2018年11月12日
瑟瑟发抖……神经网络可能在欺骗你!
专知
5+阅读 · 2018年6月4日
AI都干过什么让人细思极恐的事?
全球创新论坛
4+阅读 · 2017年9月15日
Arxiv
14+阅读 · 2020年1月27日
Conditional BERT Contextual Augmentation
Arxiv
8+阅读 · 2018年12月17日
Video-to-Video Synthesis
Arxiv
9+阅读 · 2018年8月20日
Arxiv
5+阅读 · 2018年5月10日
Arxiv
4+阅读 · 2015年8月25日
VIP会员
相关VIP内容
【ACL2020-Google】逆向工程配置的神经文本生成模型
专知会员服务
17+阅读 · 2020年4月20日
【CVPR2020-Facebook AI】前置不变表示的自监督学习
专知会员服务
47+阅读 · 2020年4月19日
【ACL2020-Allen AI】预训练语言模型中的无监督域聚类
专知会员服务
24+阅读 · 2020年4月7日
必读的10篇 CVPR 2019【生成对抗网络】相关论文和代码
专知会员服务
33+阅读 · 2020年1月10日
谷歌机器学习速成课程中文版pdf
专知会员服务
147+阅读 · 2019年12月4日
六篇 EMNLP 2019【图神经网络(GNN)+NLP】相关论文
专知会员服务
72+阅读 · 2019年11月3日
相关论文
Arxiv
14+阅读 · 2020年1月27日
Conditional BERT Contextual Augmentation
Arxiv
8+阅读 · 2018年12月17日
Video-to-Video Synthesis
Arxiv
9+阅读 · 2018年8月20日
Arxiv
5+阅读 · 2018年5月10日
Arxiv
4+阅读 · 2015年8月25日
Top
微信扫码咨询专知VIP会员