京东电商搜索中的语义检索与商品排序

2020 年 6 月 3 日 DataFunTalk



文章作者:王松林、唐国瑜 京东算法工程师

编辑整理:Hoh

内容来源:作者授权

出品平台:DataFunTalk

注:欢迎转载,转载请留言。


导读: 本文将 介绍京东搜索场景中的两块技术,语义检索与商品排序 在业界检索算法基础上,我们提出一系列更适用于电商场景的检索排序算法,在业务上取得了显著收益。其中的 多篇论文已被  KDD/SIGIR 等收录。

01

背景介绍

电子商务搜索是京东等电商重要组成部分,用户通过搜索找到自己需要的商品,然后下单购买。一个典型电商搜索引擎的架构,包括三个重要组成部分:query 理解、召回和排序。
  • Query 理解:包括 query 的纠错、改写、扩展、分词等。

  • 召回阶段:给定一个查询词,从商品库中召回有效正确的商品候选集,并将结果返回给排序。召回方式有很多种,这里我们只介绍基于向量检索的召回。

  • 排序阶段:给定召回商品的候选集合,根据众多因子对这些商品进行排序,挑选出最好的候选商品展示给用户。

下面我们分别介绍,基于向量检索召回和商品排序:

02

向量召回

向量检索作为一种信息检索方式在工业界已经被广泛应用,它能解决传统倒排检索不能解决的问题。倒排通过字面匹配方式召回商品,这种方式存在一种缺陷,不能召回字面不匹配但语义层面相近的商品, 如 query='2-3周岁宝宝玩具'是无法召回 sku='托马斯小火车'的。
通俗的讲就是训练一个模型,该模型通过将 query 和 sku 映射到统一维度空间,在该空间中,相似的商品距离近,不相近的商品距离较远。如上图例子,query=奶粉,在高纬空间里,相对鞋子、服装、手机,奶粉商品距离 query 更近。这是建模过程,生成 query 和 sku 的向量数据。
我们得到了 query 和 sku 的向量,接下来就是做检索,返回与 query 距离近的 topK 个 sku。而数据库的商品量非常多,通常是十亿级,不可能做线性遍历,考虑到时效性,会引入快速向量近似检索方法,如 KDTree、TDM、LSH、PQ、HNSW 等等,我们采用的是 PQ 算法,这里不再赘述,网上有很多材料介绍其算法。下面重点介绍我们的模型及在线检索框架。
模型方面不仅要考虑 query-sku 的相关性,我们也对用户行为进行建模,同一 query 针对不同用户、同一用户不同时刻检索出更具有个性化的商品。我们使用的是 DPSR ( Deep Personalized and Semantic Retrieval ) 算法,模型融合个性化和搜索语义信息,我们的论文已被 SIGIR2020 收录。
1. 检索系统 overview
从整体看,离线模型是一个双塔模型结构,query 和 sku 分别有一个 model tower。Query 端包括了 query 包括 query tokens、user profile、user history events 等特征。Sku 端包括 title tokens、brand、category、shopid 等特征。
离线索引 ( offline indexing ),使用的是 sku tower,导出 sku 的 embedding 构建 QP 索引。
在线服务 ( online serving ) 使用的是 query tower,模型加载在 tensorflow service,在线 predict query 的 embedding。
2. 模型详细设计
① Two tower model architecture
上面介绍了模型结构,一个 query tower Q,一个 sku tower S,对于给定的 query=q, sku=s,模型计算过程为:
f(q,s)=G(Q(q),S(s))
Q(q)∈R d×m  表示 query 的 embedding
S(s)∈R d×m  表示 sku 的 embedding
G 表示打分计算函数,比如 inner product、L2 distance 等
双塔模型训练完后,query 和 sku 的模型相对独立,我们可以分别计算他们。所有的 sku embedding 都在离线计算,以便快速构建向量检索索引。虽然 model 是相互独立的,但 query 和 sku 之间使用简单的点积计算,理论上 query 和 sku embedding 仍然在同一个几何空间中,具有可比性。
② Query tower with multi heads
我们看到左侧的 tower 和右侧有两点不一样:Projection layer 和 mutli heads,目的是为了丰富 query 侧的信息。如下图所示,不同的 head 可以捕获 query 不同的语义 ( query=苹果,语义可以是手机和水果 ),捕获不同的品牌属性 ( query=手机,品牌可以是华为、小米 ),捕获不同的产品属性 ( query=三星,产品属性可以是笔记本、手机 ) 等等。
③ Attention Loss
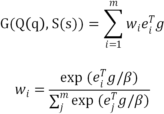
Multi heads 让 query 可以生成多个 embedding 与 sku embedding 计算 score。我们采用 attenion loss 做模型优化。
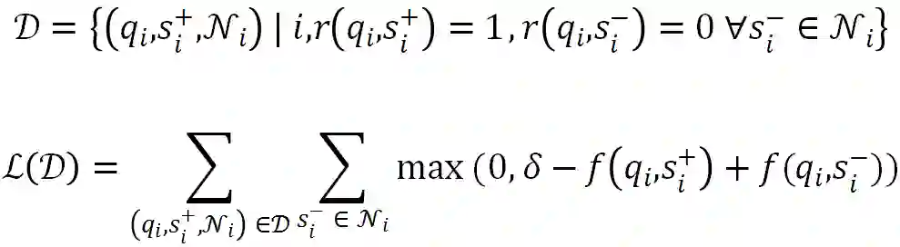
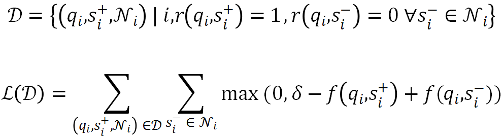
我们标记 query 的多个 embeding 为 Q(q)={e 1 ,e 2 ,...,e m },其中 e i ∈R d ,Sku 的 embedding 为 S(s)=g,g ∈R d ,Query 和 sku 的打分计算如下:
其中 β 是 softmax heat 参数。假设 D 表示训练预料,r(q i ,s i+ ) 为正样本,r(q i ,s i- ) 为负样本,模型优化的 loss 可表示为:
④ Negative Sampling
我们采用的是用户点击数据,数据量在10亿级作为正样本。负样本并未使用同 session 未点击的样本,因为搜索手机,展示了小米和华为手机,不能说未点击就是不相关商品。负例分为两部分:random negatives、batch negatives。我们增加了一组超参来调整两者的比例,观察发现 random negatives 越多,召回商品的 popularity 越高,更能吸引用户点击下单,但会降低商品与检索 query 的相关性。
模型训练算法具体如下:
3. 训练优化
我们也尝试过更强大的神经网络,如 RNN、transform 等,得到的效果类似或稍好一些。然而一个短延时的模型更适用于工业生产建模,这样可以使用更少的服务器做有效的离线训练和在线服务。
模型系统方面,我们也做了一系列训练优化,简单描述其中的几点:
  • 实现 c++ tokenizer,以 custom operator 方式加载到 tensorflow,离线训练和在线服务共用,保证 token 的一致性。

  • 训练数据压缩,修改训练数据格式,把共用的特征数据加载内存,训练时展开从而降低数据存储。也便于训练时做负例采样。

  • 可伸缩分布式,切分大的 embedding,并将 sum up 放到 ps 以解决 worker/ps 带宽瓶颈。

  • 模型 servable 服务,我们将向量检索和 tfs 合成一个服务,不仅减少一次网络访问,降低系统 3-5ms 的平响,而且将模型分片部署,从而可以支持上百个模型同时服务或者 A/B 实验。同时 servable 服务是 cpu 和 gpu 混合部署。

4. 语义检索效果展示
语义检索上线后获得了很好的体验效果,不仅提升了转化,长尾流量降低了近10%的 query 改写率,也就是说用户不需要多次改写 query,就能获得想要的商品结果。

03

商品排序

下面介绍下商品排序:
商品排序主要是根据用户的输入对商品进行打分排序。商品排序的传统方法使用 xgboost 等基于决策树的方法从数据中进行学习,但是这些模型通常有成百乃至上千的数值型人工特征,不能有效的从原始特征比如用户历史点击购买数据、商品文本和图像中直接学习。近年来,深度学习在各种应用中验证了从原始特征中学习的有效性,在业界被广泛使用,比如 wide&Deep、DIN 等。下面介绍一个我们在商品搜索排序中尝试的方法。
1. 双胞胎网络
我们的训练数据来自于用户的搜索日志,通过将同一个 session 中用户购买的商品 ( 商品a ) 和没有购买的商品 ( 商品b ) 配对起来,并把购买未购买作为最终学习的 label,从而构造了用户查询-商品对训练集。
根据训练数据,我们首先设计了双胞胎网络结构:
双胞胎网络结构有两个共享参数的模块,每个模块分别输入用户、查询和商品特征,每个模块采用 ReLU 作为激活函数,最终层的输出一个分数,两个模块的差值和数据 label 作为交叉熵损失函数的输入。
在特征方面,我们使用以下几种不同类型的特征:
  • 数值型特征:包括商品销量、用户购买力和用户是否点过、购买过商品等。

  • 文本特征:包括用户输入的查询和商品名称等。

  • 用户历史行为:包括历史点击、购买、加购商品 list 等

  • 商品、用户 id 等

文本特征可以学习到一定的相关性信息,用户历史行为可以学习到个性化信息,id 类特征我们做了 pretrain。  
2. 个性化升级
在第一版双胞胎模型中,我们简单的对用户的历史行为做 sum pooling,但是这样缺乏和搜索商品的交互,无法精准的表示用户的兴趣;为了加强用户的交互,我们升级了模型的结构,用候选商品和用户历史商品做 attention,从而将静态的 user embedding 升级为随 query 和当前商品变化的 user embedding。
我们还加入了 Graph 学习方法对 id 类特征 embedding 进行 pretrain,然后加入到模型训练中。具体方法使用用户的高质量点击行为生成商品 graph,通过 Random Walk 生成训练数据,然后利用 Skip-gram 进行训练,加入 id embedding 可以提高模型离线指标和收敛速度。
3. 时效性优化
值得一提的是,为了增强排序捕捉变化的能力,提升排序的流动性,我们从三个方面:特征时效性、模型时效性、线上预估校准进行了优化。
  • 提升特征时效性:接入商品小时级的点击加购订单等实时信号,训练模型学习实时变化

  • 实时在线校准根据商品全站的点击订单等实时反馈信号,对模型原来的预测分数及时校准

  • 提升模型的更新频率:优化训练数据生产流程,推动训练平台升级,提升模型训练速度

搜索排序是商品检索最重要的模块之一,我们在个性化、时效性、多目标等方向不断迭代,提升了排序体验,也提升了商品成交量。

04

总结

我们介绍了语义检索召回和商品排序,在京东搜索服务上部署并取得了良好效果。我们还在尝试一些业内其他流行的方法,比如 GNN、KG、MMoE 等方向,也获得了不错的成绩。
文章作者:
王松林、唐国瑜,京东算法工程师。
团队介绍:
京东搜索应用科学部,负责京东商城商品搜索排序算法,覆盖京东主站,京喜,微信一级入口的京东搜索。团队成员有来自国内外大厂,也有来自中清北的优秀毕业生。我们致力于用技术驱动产品,用行业前沿的先进技术落地业务场景;从实际需求出发,用技术解决实际问题,做有用并且有趣的算法,我们也乐于把实践经验通过论文分享给业界。欢迎有技术情怀、有创新活力的你加入我们!
方式:

邮件名:姓名-学校/公司-算法工程师,将简历发送至:

wangsonglin3@jd.com

今天的分享就到这里,谢谢大家。


如果您喜欢本文,欢迎点击右上角,把文章分享到朋友圈~~


社群推荐:

欢迎加入  DataFunTalk  搜索交流群 ,跟同行零距离交流。如想进群,请识别下面的二维码加逃课儿同学的微信 ,会 自动拉你进群。

活动推荐:

6位图灵奖得主,数十位专家学者齐聚2020北京智源大会 ,免费报名还能抽奖,送周志华教授新书!( 识别 下方卡片中的 二维码免费注册

文章推荐:
京东电商推荐系统实践
京东购物在微信等场景下的算法应用实践

关于我们:

DataFunTalk 专注于大数据、人工智能技术应用的分享与交流。发起于2017年,在北京、上海、深圳、杭州等城市举办超过100场线下沙龙、论坛及峰会,已邀请近500位专家和学者参与分享。其公众号DataFunTalk累计生产原创文章400+百万+阅读,5万+精准粉丝。

一个在看,一段时光👇

登录查看更多
1

相关内容

【SIGIR 2020】 基于协同注意力机制的知识增强推荐模型
专知会员服务
91+阅读 · 2020年7月23日
【新书】深度学习搜索,Deep Learning for Search,附327页pdf
专知会员服务
214+阅读 · 2020年1月13日
【LinkedIn报告】深度自然语言处理的搜索系统,211页pdf
专知会员服务
109+阅读 · 2019年6月21日
【知识图谱】基于知识图谱的用户画像技术
产业智能官
102+阅读 · 2019年1月9日
论文浅尝 | 知识图谱相关实体搜索
开放知识图谱
14+阅读 · 2018年12月18日
携程个性化推荐算法实践
架构文摘
12+阅读 · 2018年1月18日
【智能商务】海量商品查找利器—苏宁搜索系统
产业智能官
5+阅读 · 2017年12月1日
爱奇艺个性化推荐排序实践
机器学习研究会
7+阅读 · 2017年11月12日
Arxiv
6+阅读 · 2019年7月11日
Learning to Focus when Ranking Answers
Arxiv
5+阅读 · 2018年8月8日
Arxiv
3+阅读 · 2018年5月20日
Arxiv
17+阅读 · 2018年4月2日
Arxiv
5+阅读 · 2018年3月6日
Arxiv
13+阅读 · 2018年1月11日
VIP会员
相关资讯
【知识图谱】基于知识图谱的用户画像技术
产业智能官
102+阅读 · 2019年1月9日
论文浅尝 | 知识图谱相关实体搜索
开放知识图谱
14+阅读 · 2018年12月18日
携程个性化推荐算法实践
架构文摘
12+阅读 · 2018年1月18日
【智能商务】海量商品查找利器—苏宁搜索系统
产业智能官
5+阅读 · 2017年12月1日
爱奇艺个性化推荐排序实践
机器学习研究会
7+阅读 · 2017年11月12日
相关论文
Arxiv
6+阅读 · 2019年7月11日
Learning to Focus when Ranking Answers
Arxiv
5+阅读 · 2018年8月8日
Arxiv
3+阅读 · 2018年5月20日
Arxiv
17+阅读 · 2018年4月2日
Arxiv
5+阅读 · 2018年3月6日
Arxiv
13+阅读 · 2018年1月11日
Top
微信扫码咨询专知VIP会员