人类第一次看见量子纠缠!

2019 年 7 月 17 日 中科院高能所


在一项近期发表于《科学·进展》的研究中,英国格拉斯哥大学的物理学家保罗-安托万·莫罗(Paul-Antoine Moreau)带领团队首次拍摄到量子纠缠的照片。终于,人类第一次亲眼看见这种“幽灵般的超距作用”。


撰文 | 张华

编辑 | 吴非

来源 | 环球科学(huanqiukexue)



证实量子纠缠


1935年,在普林斯顿高等研究院,阿尔伯特·爱因斯坦(Albert Einstein)与鲍里斯·波多尔斯基(Boris Podolsky)、纳森·罗森(Nathan Rosen)共同提出了EPR悖论。这个悖论显示,在量子力学中,两个相互作用的粒子,无论相隔多远(理论上这个距离可以比银河系直径还大),其量子状态仍能“纠缠”在一起,共享同一个整体的物理状态。这种超距的量子关联被称为量子纠缠,也被爱因斯坦称为“幽灵般的超距作用”


之所以被称作悖论,是因为这在当时看起来似乎违反了狭义相对论。爱因斯坦他们认为量子力学是错的:量子力学之所以呈现出不可预测的概率性,是因为还有一些物理变量隐藏起来了。(比如我们不能预测股票市场的涨跌,是因为影响股票市场的变量很多,比如某地发生了山体滑坡会影响股票市场,而如果这个山体滑坡的消息只被少数几个人知道,对大多数股民来说,这消息就是一个隐变量。)


爱因斯坦等人的EPR论文希望用所谓的“定域隐变量理论”来取代量子力学理论,从而克服悖论引发的困难。


爱因斯坦认为,量子力学中存在隐变量。如果隐变量真的存在,那就必须要找出来。


1965年,当时在欧洲核子中心研究高能物理的年轻研究人员约翰·贝尔(John Bell)发表论文指出,对于EPR悖论,其实是可以做实验来验证的。对于量子纠缠的两个粒子来说,量子力学得到的统计关联性结果比定域性隐变量理论要强很多。因此,实验是可以分辨出这两种理论的。在文章中,贝尔给出了一个不等式来说明,如果用S来表示两个粒子的统计关联的程度,那么:


若S = 2,说明没有量子纠缠;

若 2 < S < 23/2 ,则说明存在量子纠缠。


在贝尔论文的指引下,物理学家用正负电子湮灭产生的高能伽马射线的两个相互纠缠的光子,做了一些实验试图检验贝尔不等式。但是,当时这种高能光子的探测器比较难分辨量子纠缠。1981年,法国一位名为阿兰·阿斯佩克特(Alain Aspect)的博士生用钙原子激发产生的两个可见光子做了实验,也证明了实验结果符合量子力学的预测,而不符合定域性隐变量理论,这相当于给定域性隐变量理论盖上了棺材板。


阿兰·阿斯佩克特在1981年发表的实验论文(来源:PRL)


目前,科学界普遍接受了量子力学的正统解释,也接受了量子纠缠的存在性。不过,人们却始终没有真正看到量子纠缠的图像。



制造纠缠光子对


如果要给量子纠缠拍照,首先要建立一个量子纠缠的系统,否则巧妇难为无米之炊。


而建立量子纠缠的系统有很多种方法,比如可以研究电子与电子之间的量子纠缠,也可以研究光子与光子之间的量子纠缠。


格拉斯哥大学的研究人员使用的是光子。他们设计了一个实验系统:一个波长为355纳米的紫外光子通过了偏硼酸钡(BBO)晶体后,变成了两个710纳米的红光光子。


随后,他们使用分束器让这两个波长为710纳米的光子分离,它们各自沿着光学系统中的两条不同的光路传播。这两条光路的长度不一样,因此可以调节两个光子达到探测器的时间差。


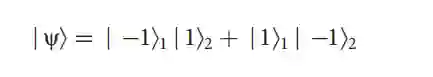
这两个分道扬镳的光子,就是一对纠缠光子。为什么它们是量子纠缠的呢?因为这两个710纳米的光子是轨道角动量等于0的355纳米的光子通过BBO晶体产生的。根据角动量守恒定律,这一对纠缠光子(标记为1号光子与2号光子)的轨道角动量分别是+1与-1。所以,它们可以构成一个如下的纠缠态(用狄拉克符号表示):

根据这一原理,可以产生大量的纠缠光子对(具有不同轨道角动量的光子具有不同的波前,这在实验中可以检测出来)。



拍下照片


有了量子纠缠的光子以后,就可以拍照了。


以前检验量子纠缠的方法,比如前面提到的阿兰·阿斯佩克特的实验,也是基于可见光的光子。但当时是对光子的个数进行计数,而没有直接拍摄量子纠缠的照片。


实验装置图(来源:研究论文


在最新研究中,格拉斯哥大学的实验装置相当于一台超灵敏的照相机,能够探测单个光子。


具体来说,一对光子被分束器(上图中的BS)分离,分别沿着两条路线传播。其中,第一个光子经过空间光调制器(SLM 1),被光纤收集后,继而被单光子探测器(SPAD)探测到。另一个光子经过分束器折射后,沿着另一条光路传播,通过了放置在BBO晶体的傅里叶平面的SLM 2。然后,这个光子会通过一段20米长的延迟线(Delay line),最终被增强型电荷耦合检测器(ICCD)相机检测到。


这项实验的设计原理是,当第一条光路上的SPAD探测到光子时,便将信号传送至ICCD相机、触发ICCD相机拍摄照片。由于量子纠缠存在,相机应该能捕捉到第二条光路上的光子。但由于相机存在触发延迟,因此第二条光路精确设置了延迟线,从而确保第二个光子到达的时间与相机拍照的瞬间恰好一致。这样,相机就捕捉到一个可见的光子纠缠记录。


随后,他们设计了一个系统,让大量的纠缠光子显示在液晶材料上,液晶材料在光子通过时可以记录下来形成图像。这证明了量子纠缠是存在的。


图(B)为光子在4种不同的相位下,被相机捕捉到的图像。


格拉斯哥大学的物理学家成功拍摄到量子纠缠的照片,而且他们的实验得到的贝尔不等式相关参数S = 2.443(因为实验有各种误差,所以没有达到最大的量子纠缠23/2,即2.82)。但很明显,2.443这个数字是大于2的,这无疑再次说明了,量子纠缠是真实存在的。




登录查看更多
0

相关内容

【纽约大学】最新《离散数学》笔记,451页pdf
专知会员服务
131+阅读 · 2020年5月26日
缺失数据统计分析,第三版,462页pdf
专知会员服务
110+阅读 · 2020年2月28日
物理学家终于找到了一种拯救薛定谔猫的方法
中科院物理所
8+阅读 · 2019年6月10日
深海打捞K-129,冷战中的奇迹工程【四】
余晟以为
6+阅读 · 2019年5月21日
已删除
德先生
53+阅读 · 2019年4月28日
王维嘉:暗知识——机器认知的颠覆
亚布力中国企业家论坛
5+阅读 · 2019年3月12日
量子计算
人工智能学家
7+阅读 · 2018年4月6日
量子世界的因果关系
中国物理学会期刊网
9+阅读 · 2017年8月5日
EfficientDet: Scalable and Efficient Object Detection
Arxiv
6+阅读 · 2019年11月20日
Arxiv
6+阅读 · 2018年2月28日
Arxiv
7+阅读 · 2018年2月26日
Arxiv
3+阅读 · 2017年11月21日
VIP会员
相关资讯
物理学家终于找到了一种拯救薛定谔猫的方法
中科院物理所
8+阅读 · 2019年6月10日
深海打捞K-129,冷战中的奇迹工程【四】
余晟以为
6+阅读 · 2019年5月21日
已删除
德先生
53+阅读 · 2019年4月28日
王维嘉:暗知识——机器认知的颠覆
亚布力中国企业家论坛
5+阅读 · 2019年3月12日
量子计算
人工智能学家
7+阅读 · 2018年4月6日
量子世界的因果关系
中国物理学会期刊网
9+阅读 · 2017年8月5日
Top
微信扫码咨询专知VIP会员