CVPR2019 Oral | 利用几何中位数(Geometric Median)进行模型剪枝

2019 年 6 月 2 日 CVer

点击上方“CVer”,选择加"星标"或“置顶”

重磅干货,第一时间送达

作者:何洋

https://zhuanlan.zhihu.com/p/67175001

本文已授权,未经允许,不得二次转载

题目:Filter Pruning via Geometric Median for Deep Convolutional Neural Networks Acceleration

作者:Yang He, Ping Liu, Ziwei Wang, Zhilan Hu, Yi Yang
论文链接:https://arxiv.org/abs/1811.00250

代码链接:https://github.com/he-y/filter-pruning-geometric-median

本文由悉尼科技大学,京东,中国电科,华为,百度等单位共同完成,被CVPR 2019录用为口头报告。论文提出了新的基于滤波器的几何中位数(geometric median)的剪枝算法,来对神经网络进行压缩和加速。

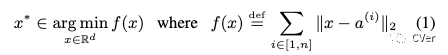
  1. 背景

卷积神经网络(CNN)通常通过更深和更宽的结构实现了更好的性能,但是当神经网络需要部署到移动设备时,神经网络需要的资源远远超过了移动设备的限制。例如,ResNet-152拥有6020万个参数,需要231MB存储空间;此外,它还需要超过380MB的内存和11.3亿浮点运算(在CPU上耗时6秒钟)来处理单张图像。因此,我们需要找到高效率的模型来满足移动设备的需要。

网络剪枝是网络的压缩和加速中一个重要的方向,自1989年LeCun提出以来,得到了迅速发展。现在主要分为2种方向:1)权重剪枝;2)滤波器剪枝。滤波器剪枝相对于权重剪枝有一系列优点,包括它可以得到规则的模型,由此减少内存消耗,并且加速网络的推断。

图1: 滤波器剪枝

上图是典型的滤波器剪枝的流程。现有的方法认为滤波器的范数(p-norm)越小,相对应的特征图越接近于0,于是对网络对贡献越小,那么这些滤波器可以去掉而不会严重影响网络的性能。于是我们用滤波器的p-norm进行重要性排序,并且删除p-norm小的滤波器。

2. 现有的滤波器范数评价指标的问题

图2: 范数评价指标的条件

上述的范数评价指标,实际上包含了两个隐含条件(图2):1)范数标准差足够大;2)最小的范数接近于0。

图3: 滤波器范数分布可能出现的情况

但是实际的滤波器范数分布也会出现不满足上述条件的情况(图3),1)范数的标准差太小;2)最小范数的值仍然很大。如果出现情况1,很多滤波器有相似的重要性,我们不知道到底应该去掉哪个。如果出现情况2,我们很难找到特征图越接近于0的滤波器。

图4:实际的滤波器范数分布

我们通过分析实际的预训练网络(图4),发现这些网络确实出现了上述的情况。

3. 基于几何中位数的滤波器评价指标(FPGM)

图5 基于范数和几何中位数的评价指标

几何中位数(Geometric Median, GM)的定义是:the point minimizing the sum of distances to the sample points。详情见维基百科:

https://en.wikipedia.org/wiki/Geometric_median

图6: 几何中位数

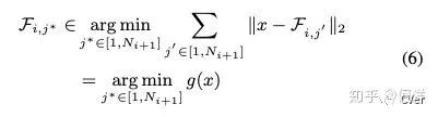
几何中位数是对于欧几里得空间的点的中心的一个估计。我们认为滤波器也是欧氏空间中的点,于是我们可以根据计算GM来得到这些滤波器的“中心”,也就是他们的共同性质。如果某个滤波器接近于这个GM,可以认为这个滤波器的信息跟其他滤波器重合,甚至是冗余的,于是我们可以去掉这个滤波器而不对网络产生大的影响。去掉它后,它的功能可以被其他滤波器代替。

图7: 基于几何中位数的滤波器评价指标

与此我们得到一种跟范数无关的滤波器评价方法FPGM,打破了范数评价指标的局限性。

4. 实验

在Cifar-10数据集上,FPGM在ResNet-110上的计算量降低了52%以上,相对精确度提高了2.69%。此外,在ILSVRC-2012数据集上,FPGM还在ResNet-101上减少了超过42%的计算量。

图8: ResNet on CIFAR-10实验结果
图9: ResNet on ImageNet实验结果
图10: 可视化结果

我们把 ResNet-50的第一个卷积层的特征图进行了可视化。红色的(7,23,27,46,56,58)是被FPGM选中的需要被去掉的通道。可以看出这些被去掉的通道特征主要有两部分。1)竹子的骨架,2)熊猫的轮廓。其中竹子的骨架可以被剩下的 (5,12,16,18,22)通道代替,而熊猫的轮廓可以被剩下的 (0,4,33,34,47) 通道代替,由此验证了我们基于几何中位数进行滤波器剪枝的理论。

5. 总结

我们探讨了现有的滤波器范数评价指标的问题,并且提出了基于滤波器的几何中位数的剪枝算法。我们提出的FPGM打破了以往的范数评价指标的局限性,并且达到了更好的性能。


CVer-模型剪枝&压缩交流群


扫码添加CVer助手,可申请加入CVer-模型剪枝&压缩群。一定要备注:模型剪枝/压缩+地点+学校/公司+昵称(如目模型剪枝+上海+上交+卡卡)

▲长按加群


这么硬的论文分享,麻烦给我一个在在看


▲长按关注我们

麻烦给我一个在看

登录查看更多
0

相关内容

【ACL2020】利用模拟退火实现无监督复述
专知会员服务
14+阅读 · 2020年5月26日
近期必读的9篇 CVPR 2019【视觉目标跟踪】相关论文和代码
必读的10篇 CVPR 2019【生成对抗网络】相关论文和代码
专知会员服务
33+阅读 · 2020年1月10日
近期必读的12篇KDD 2019【图神经网络(GNN)】相关论文
专知会员服务
63+阅读 · 2020年1月10日
深度神经网络模型压缩与加速综述
专知会员服务
130+阅读 · 2019年10月12日
CVPR 2019 | 重磅!34篇 CVPR2019 论文实现代码
AI研习社
11+阅读 · 2019年6月21日
CVPR2019 oral | CPNet : 对应提议网络
极市平台
4+阅读 · 2019年6月17日
计算机视觉领域最全汇总
极市平台
6+阅读 · 2018年9月4日
【CVPR2018】实时旋转鲁棒人脸检测算法
深度学习大讲堂
4+阅读 · 2018年4月19日
Deformable Style Transfer
Arxiv
14+阅读 · 2020年3月24日
Arxiv
4+阅读 · 2019年1月14日
VIP会员
相关VIP内容
【ACL2020】利用模拟退火实现无监督复述
专知会员服务
14+阅读 · 2020年5月26日
近期必读的9篇 CVPR 2019【视觉目标跟踪】相关论文和代码
必读的10篇 CVPR 2019【生成对抗网络】相关论文和代码
专知会员服务
33+阅读 · 2020年1月10日
近期必读的12篇KDD 2019【图神经网络(GNN)】相关论文
专知会员服务
63+阅读 · 2020年1月10日
深度神经网络模型压缩与加速综述
专知会员服务
130+阅读 · 2019年10月12日
Top
微信扫码咨询专知VIP会员