Batch Normalization的诅咒

2020 年 11 月 1 日 极市平台
↑ 点击 蓝字  关注极市平台

作者丨ronghuaiyang
来源丨AI公园
编辑丨极市平台

极市导读

 

本文论述了batch normalization时的一些缺陷。 >>加入极市CV技术交流群,走在计算机视觉的最前沿



Batch Normalization确实是深度学习领域的重大突破之一,也是近年来研究人员讨论的热点之一。Batch Normalization是一种被广泛采用的技术,使训练更加快速和稳定,已成为最有影响力的方法之一。然而,尽管它具有多种功能,但仍有一些地方阻碍了该方法的发展,正如我们将在本文中讨论的那样,这表明做归一化的方法仍有改进的余地。


我们为什么要用Batch Normalization?

在讨论任何事情之前,首先,我们应该知道Batch Normalization是什么,它是如何工作的,并讨论它的用例。

什么是Batch Normalization

在训练过程中,当我们更新之前的权值时,每个中间激活层的输出分布会在每次迭代时发生变化。这种现象称为内部协变量移位(ICS)。所以很自然的一件事,如果我想防止这种情况发生,就是修正所有的分布。简单地说,如果我的分布变动了,我会限制住这个分布,不让它移动,以帮助梯度优化和防止梯度消失,这将帮助我的神经网络训练更快。因此减少这种内部协变量位移是推动batch normalization发展的关键原则。


它如何工作

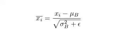
Batch Normalization通过在batch上减去经验平均值除以经验标准差来对前一个输出层的输出进行归一化。这将使数据看起来像高斯分布

其中μ和*σ^2^*分别为批均值和批方差。

并且,我们学习了一个新的平均值和协方差γβ。所以,简而言之,你可以认为batch normalization是帮助你控制batch分布的一阶和二阶动量。

vgg16网络的中间卷积层的特征分布输出。(左)没有任何归一化,(右)应用了batch normalization

优点

我将列举使用batch normalization的一些好处,但是我不会详细介绍,因为已经有很多文章讨论了这个问题。

  • 更快的收敛。
  • 降低初始权重的重要性。
  • 鲁棒的超参数。
  • 需要较少的数据进行泛化。

1. 更快的收敛,2. 对超参数更鲁棒

Batch Normalization的诅咒

好,让我们回到本文的出发点,在许多情况下batch normalization开始伤害性能或根本不起作用。

在使用小batch size的时候不稳定

如上所述,batch normalization必须计算平均值和方差,以便在batch中对之前的输出进行归一化。如果batch大小比较大的话,这种统计估计是比较准确的,而随着batch大小的减少,估计的准确性持续减小。

ResNet-50在Batch Norm使用32、16、8、4、2张/GPU图像时的验证错误

以上是ResNet-50的验证错误图。可以推断,如果batch大小保持为32,它的最终验证误差在23左右,并且随着batch大小的减小,误差会继续减小(batch大小不能为1,因为它本身就是平均值)。损失有很大的不同(大约10%)。

如果batch大小是一个问题,为什么我们不使用更大的batch?我们不能在每种情况下都使用更大的batch。在finetune的时候,我们不能使用大的batch,以免过高的梯度对模型造成伤害。在分布式训练的时候,大的batch最终将作为一组小batch分布在各个实例中。

导致训练时间的增加

NVIDIA和卡耐基梅隆大学进行的实验结果表明,“尽管Batch Normalization不是计算密集型,而且收敛所需的总迭代次数也减少了。”但是每个迭代的时间显著增加了,而且还随着batch大小的增加而进一步增加。

ResNet-50 在ImageNet上使用 Titan X Pascal

你可以看到,batch normalization消耗了总训练时间的1/4。原因是batch normalization需要通过输入数据进行两次迭代,一次用于计算batch统计信息,另一次用于归一化输出。

训练和推理时不一样的结果

例如,在真实世界中做“物体检测”。在训练一个物体检测器时,我们通常使用大batch(YOLOv4和Faster-RCNN都是在默认batch大小= 64的情况下训练的)。但在投入生产后,这些模型的工作并不像训练时那么好。这是因为它们接受的是大batch的训练,而在实时情况下,它们的batch大小等于1,因为它必须一帧帧处理。考虑到这个限制,一些实现倾向于基于训练集上使用预先计算的平均值和方差。另一种可能是基于你的测试集分布计算平均值和方差值。

对于在线学习不好

与batch学习相比,在线学习是一种学习技术,在这种技术中,系统通过依次向其提供数据实例来逐步接受训练,可以是单独的,也可以是通过称为mini-batch的小组进行。每个学习步骤都是快速和便宜的,所以系统可以在新的数据到达时实时学习。

典型的在线学习pipeline

由于它依赖于外部数据源,数据可能单独或批量到达。由于每次迭代中batch大小的变化,对输入数据的尺度和偏移的泛化能力不好,最终影响了性能。

对于循环神经网络不好

虽然batch normalization可以显著提高卷积神经网络的训练和泛化速度,但它们很难应用于递归结构。batch normalization可以应用于RNN堆栈之间,其中归一化是“垂直”应用的,即每个RNN的输出。但是它不能“水平地”应用,例如在时间步之间,因为它会因为重复的重新缩放而产生爆炸性的梯度而伤害到训练。

[^注]: 一些研究实验表明,batch normalization使得神经网络容易出现对抗漏洞,但我们没有放入这一点,因为缺乏研究和证据。


可替换的方法

这就是使用batch normalization的一些缺点。在batch normalization无法很好工作的情况下,有几种替代方法。

  • Layer Normalization
  • Instance Normalization
  • Group Normalization (+ weight standardization)
  • Synchronous Batch Normalization

总结

所以,看起来训练深度神经网络很简单,但我不认为它很容易。从这个意义上说,我可以选择的架构很少,每个模型都有固定的学习速度,固定的优化器和固定的技巧。这些技巧是通过自然选择选择的,就像有人想出了一些技巧,人们引入之后如果有效,就会保留,如果无效,人们最终会忘记,并没有人再去使用它。除此之外,batch normalization是深度学习发展中的一个里程碑技术。然而,正如前面所讨论的,沿着batch 维度进行归一化引入了一些问题,这表明归一化技术仍有改进的空间。


推荐阅读



    添加极市小助手微信(ID : cvmart2),备注:姓名-学校/公司-研究方向-城市(如:小极-北大-目标检测-深圳),即可申请加入极市目标检测/图像分割/工业检测/人脸/医学影像/3D/SLAM/自动驾驶/超分辨率/姿态估计/ReID/GAN/图像增强/OCR/视频理解等技术交流群:月大咖直播分享、真实项目需求对接、求职内推、算法竞赛、干货资讯汇总、与 10000+来自港科大、北大、清华、中科院、CMU、腾讯、百度等名校名企视觉开发者互动交流~

    △长按添加极市小助手

    △长按关注极市平台,获取 最新CV干货

    觉得有用麻烦给个在看啦~   
    登录查看更多
    0

    相关内容

    【Cell 2020】神经网络中的持续学习
    专知会员服务
    62+阅读 · 2020年11月7日
    深度学习批归一化及其相关算法研究进展
    专知会员服务
    52+阅读 · 2020年7月17日
    专知会员服务
    43+阅读 · 2020年7月7日
    【ICML2020】持续图神经网络,Continuous Graph Neural Networks
    专知会员服务
    151+阅读 · 2020年6月28日
    【伯克利】再思考 Transformer中的Batch Normalization
    专知会员服务
    41+阅读 · 2020年3月21日
    【ICLR-2020】网络反卷积,NETWORK DECONVOLUTION
    专知会员服务
    39+阅读 · 2020年2月21日
    你有哪些深度学习(rnn、cnn)调参的经验?
    七月在线实验室
    10+阅读 · 2019年3月27日
    Google:数据并行对神经网络训练用时的影响
    详解深度学习中的Normalization,不只是BN(1)
    PaperWeekly
    5+阅读 · 2018年2月6日
    CNN 反向传播算法推导
    统计学习与视觉计算组
    30+阅读 · 2017年12月29日
    Layer Normalization原理及其TensorFlow实现
    深度学习每日摘要
    32+阅读 · 2017年6月17日
    RNN | RNN实践指南(3)
    KingsGarden
    7+阅读 · 2017年6月5日
    Arxiv
    0+阅读 · 2021年1月27日
    Selfish Sparse RNN Training
    Arxiv
    0+阅读 · 2021年1月22日
    Arxiv
    7+阅读 · 2018年3月22日
    VIP会员
    相关VIP内容
    【Cell 2020】神经网络中的持续学习
    专知会员服务
    62+阅读 · 2020年11月7日
    深度学习批归一化及其相关算法研究进展
    专知会员服务
    52+阅读 · 2020年7月17日
    专知会员服务
    43+阅读 · 2020年7月7日
    【ICML2020】持续图神经网络,Continuous Graph Neural Networks
    专知会员服务
    151+阅读 · 2020年6月28日
    【伯克利】再思考 Transformer中的Batch Normalization
    专知会员服务
    41+阅读 · 2020年3月21日
    【ICLR-2020】网络反卷积,NETWORK DECONVOLUTION
    专知会员服务
    39+阅读 · 2020年2月21日
    相关资讯
    你有哪些深度学习(rnn、cnn)调参的经验?
    七月在线实验室
    10+阅读 · 2019年3月27日
    Google:数据并行对神经网络训练用时的影响
    详解深度学习中的Normalization,不只是BN(1)
    PaperWeekly
    5+阅读 · 2018年2月6日
    CNN 反向传播算法推导
    统计学习与视觉计算组
    30+阅读 · 2017年12月29日
    Layer Normalization原理及其TensorFlow实现
    深度学习每日摘要
    32+阅读 · 2017年6月17日
    RNN | RNN实践指南(3)
    KingsGarden
    7+阅读 · 2017年6月5日
    Top
    微信扫码咨询专知VIP会员