一文搞懂序列推荐中的神器LSTM

2020 年 6 月 10 日 机器学习与推荐算法
  
  
    

作者 | master苏

来源 | 知乎

链接 | https://zhuanlan.zhihu.com/p/139617364

编辑 | 机器学习与推荐算法

目录

1、传统的BP网络和CNN网络
2、LSTM网络
3、LSTM的输入结构
4、pytorch中的LSTM
    4.1 pytorch中定义的LSTM模型
    4.2 喂给LSTM的数据格式
    4.3 LSTM的output格式
5、LSTM和其他网络组合

最近在学习LSTM应用在时间序列的预测上,但是遇到一个很大的问题就是LSTM在传统BP网络上加上时间步后,其结构就很难理解了,同时其输入输出数据格式也很难理解,网络上有很多介绍LSTM结构的文章,但是都不直观,对初学者是非常不友好的。我也是苦苦冥思很久,看了很多资料和网友分享的LSTM结构图形才明白其中的玄机。

1、传统的BP网络和CNN网络

BP网络和CNN网络没有时间维,和传统的机器学习算法理解起来相差无几,CNN在处理彩色图像的3通道时,也可以理解为叠加多层,图形的三维矩阵当做空间的切片即可理解,写代码的时候照着图形一层层叠加即可。如下图是一个普通的BP网络和CNN网络。

BP网络
CNN网络

图中的隐含层、卷积层、池化层、全连接层等,都是实际存在的,一层层前后叠加,在空间上很好理解,因此在写代码的时候,基本就是看图写代码,比如用keras就是:

# 示例代码,没有实际意义
model = Sequential()
model.add(Conv2D(32, (3, 3), activation='relu')) # 添加卷积层
model.add(MaxPooling2D(pool_size=(2, 2))) # 添加池化层
model.add(Dropout(0.25)) # 添加dropout层

model.add(Conv2D(32, (3, 3), activation='relu')) # 添加卷积层
model.add(MaxPooling2D(pool_size=(2, 2))) # 添加池化层
model.add(Dropout(0.25)) # 添加dropout层

.... # 添加其他卷积操作

model.add(Flatten()) # 拉平三维数组为2维数组
model.add(Dense(256, activation='relu')) 添加普通的全连接层
model.add(Dropout(0.5))
model.add(Dense(10, activation='softmax'))

.... # 训练网络

2、LSTM网络

当我们在网络上搜索看LSTM结构的时候,看最多的是下面这张图:

RNN网络

这是RNN循环神经网络经典的结构图,LSTM只是对隐含层节点A做了改进,整体结构不变,因此本文讨论的也是这个结构的可视化问题。

中间的A节点隐含层,左边是表示只有一层隐含层的LSTM网络,所谓LSTM循环神经网络就是在时间轴上的循环利用,在时间轴上展开后得到右图。

看左图,很多同学以为LSTM是单输入、单输出,只有一个隐含神经元的网络结构,看右图,以为LSTM是多输入、多输出,有多个隐含神经元的网络结构,A的数量就是隐含层节点数量。

WTH?思维转不过来啊。这就是传统网络和空间结构的思维。

实际上,右图中,我们看Xt表示序列,下标t是时间轴,所以,A的数量表示的是时间轴的长度,是同一个神经元在不同时刻的状态(Ht),不是隐含层神经元个数。

我们知道,LSTM网络在训练时会使用上一时刻的信息,加上本次时刻的输入信息来共同训练。

举个简单的例子:在第一天我生病了(初始状态H0),然后吃药(利用输入信息X1训练网络),第二天好转但是没有完全好(H1),再吃药(X2),病情得到好转(H2),如此循环往复知道病情好转。因此,输入Xt是吃药,时间轴T是吃多天的药,隐含层状态是病情状况。因此我还是我,只是不同状态的我。

实际上,LSTM的网络是这样的:

LSTM网络结构

上面的图表示包含2个隐含层的LSTM网络,在T=1时刻看,它是一个普通的BP网络,在T=2时刻看也是一个普通的BP网络,只是沿时间轴展开后,T=1训练的隐含层信息H,C会被传递到下一个时刻T=2,如下图所示。上图中向右的五个常常的箭头,的也是隐含层状态在时间轴上的传递。

注意,图中H表示隐藏层状态,C是遗忘门,后面会讲解它们的维度。

3、LSTM的输入结构

为了更好理解LSTM结构,还必须理解LSTM的数据输入情况。仿照3通道图像的样子,在加上时间轴后的多样本的多特征的不同时刻的数据立方体如下图所示:

三维数据立方体

右边的图是我们常见模型的输入,比如XGBOOST,lightGBM,决策树等模型,输入的数据格式都是这种(N*F)的矩阵,而左边是加上时间轴后的数据立方体,也就是时间轴上的切片,它的维度是(N*T*F),第一维度是样本数,第二维度是时间,第三维度是特征数,如下图所示:

这样的数据立方体很多,比如天气预报数据,把样本理解成城市,时间轴是日期,特征是天气相关的降雨风速PM2.5等,这个数据立方体就很好理解了。在NLP里面,一句话会被embedding成一个矩阵,词与词的顺序是时间轴T,索引多个句子的embedding三维矩阵如下图所示:

4、pytorch中的LSTM

4.1 pytorch中定义的LSTM模型

pytorch中定义的LSTM模型的参数如下

class torch.nn.LSTM(*args, **kwargs)
参数有:
input_sizex的特征维度
hidden_size:隐藏层的特征维度
num_layerslstm隐层的层数,默认为1
biasFalse则bihbih=0bhhbhh=0. 默认为True
batch_firstTrue则输入输出的数据格式为 (batch, seq, feature)
dropout:除最后一层,每一层的输出都进行dropout,默认为: 0
bidirectionalTrue则为双向lstm默认为False

结合前面的图形,我们一个个看。

(1)input_size:x的特征维度,就是数据立方体中的F,在NLP中就是一个词被embedding后的向量长度,如下图所示:

(2)hidden_size:隐藏层的特征维度(隐藏层神经元个数),如下图所示,我们有两个隐含层,每个隐藏层的特征维度都是5。注意,非双向LSTM的输出维度等于隐藏层的特征维度

(3)num_layers:lstm隐层的层数,上面的图我们定义了2个隐藏层。

(4)batch_first:用于定义输入输出维度,后面再讲。

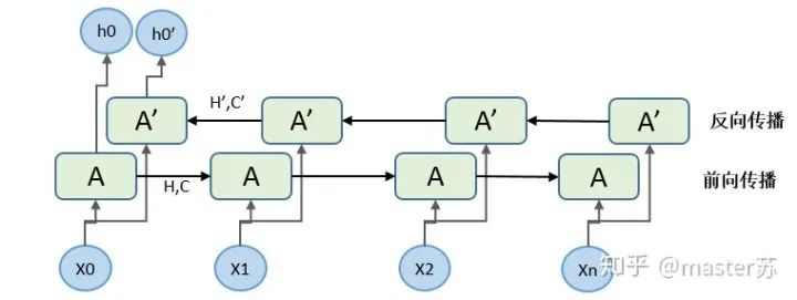
(5)bidirectional:是否是双向循环神经网络,如下图是一个双向循环神经网络,因此在使用双向LSTM的时候我需要特别注意,正向传播的时候有(Ht, Ct),反向传播也有(Ht', Ct'),前面我们说了非双向LSTM的输出维度等于隐藏层的特征维度,而双向LSTM的输出维度是隐含层特征数*2,而且H,C的维度是时间轴长度*2。

4.2 喂给LSTM的数据格式

pytorch中LSTM的输入数据格式默认如下:

input(seq_len, batch, input_size)
参数有:
seq_len:序列长度,在NLP中就是句子长度,一般都会用pad_sequence补齐长度
batch:每次喂给网络的数据条数,在NLP中就是一次喂给网络多少个句子
input_size:特征维度,和前面定义网络结构的input_size一致。

前面也说到,如果LSTM的参数 batch_first=True,则要求输入的格式是:

input(batch, seq_len, input_size)

刚好调换前面两个参数的位置。其实这是比较好理解的数据形式,下面以NLP中的embedding向量说明如何构造LSTM的输入。

之前我们的embedding矩阵如下图:

如果把batch放在第一位,则三维矩阵的形式如下:

其转换过程如下图所示:

看懂了吗,这就是输入数据的格式,是不是很简单。

LSTM的另外两个输入是 h0  c0,可以理解成网络的初始化参数,用随机数生成即可。

h0(num_layers * num_directions, batch, hidden_size)
c0(num_layers * num_directions, batch, hidden_size)
参数:
num_layers:隐藏层数
num_directions:如果是单向循环网络,则num_directions=1,双向则num_directions=2
batch:输入数据的batch
hidden_size:隐藏层神经元个数

注意,如果我们定义的input格式是:

input(batch, seq_len, input_size)

则H和C的格式也是要变的:

h0(batc,num_layers * num_directions, h, hidden_size)
c0(batc,num_layers * num_directions, h, hidden_size)

4.3 LSTM的output格式

LSTM的输出是一个tuple,如下:

output,(ht, ct) = net(input)
output: 最后一个状态的隐藏层的神经元输出
ht:最后一个状态的隐含层的状态值
ct:最后一个状态的隐含层的遗忘门值

output的默认维度是:

output(seq_len, batch, hidden_size * num_directions)
ht(num_layers * num_directions, batch, hidden_size)
ct(num_layers * num_directions, batch, hidden_size)

和input的情况类似,如果我们前面定义的input格式是:

input(batch, seq_len, input_size)

htct的格式也是要变的:

ht(batc,num_layers * num_directions, h, hidden_size)
ct(batc,num_layers * num_directions, h, hidden_size)

说了这么多,我们回过头来看看ht和ct在哪里,请看下图:

output在哪里?请看下图:

5、LSTM和其他网络组合

还记得吗,output的维度等于隐藏层神经元的个数,即hidden_size,在一些时间序列的预测中,会在output后,接上一个全连接层,全连接层的输入维度等于LSTM的hidden_size,之后的网络处理就和BP网络相同了,如下图:

用pytorch实现上面的结构:

import torch
from torch import nn

class RegLSTM(nn.Module):
def __init__(self):
super(RegLSTM, self).__init__()
# 定义LSTM
self.rnn = nn.LSTM(input_size, hidden_size, hidden_num_layers)
# 定义回归层网络,输入的特征维度等于LSTM的输出,输出维度为1
self.reg = nn.Sequential(
nn.Linear(hidden_size, 1)
)

def forward(self, x):
x, (ht,ct) = self.rnn(x)
seq_len, batch_size, hidden_size= x.shape
x = y.view(-1, hidden_size)
x = self.reg(x)
x = x.view(seq_len, batch_size, -1)
return x

当然,有些模型则是将输出当做另一个LSTM的输入,或者使用隐藏层ht,ct的信息进行建模,不一而足。

好了,以上就是我对LSTM的一些学习心得,看完记得关注点赞。

参考:
1. https://zhuanlan.zhihu.com/p/94757947

2. https://zhuanlan.zhihu.com/p/59862381

3. https://zhuanlan.zhihu.com/p/36455374

4. https://www.zhihu.com/question/41949741

5. https://blog.csdn.net/android_ruben/article/details/80206792

推荐阅读:

喜欢的话点个在看吧👇
登录查看更多
22

相关内容

长短期记忆网络(LSTM)是一种用于深度学习领域的人工回归神经网络(RNN)结构。与标准的前馈神经网络不同,LSTM具有反馈连接。它不仅可以处理单个数据点(如图像),还可以处理整个数据序列(如语音或视频)。例如,LSTM适用于未分段、连接的手写识别、语音识别、网络流量或IDSs(入侵检测系统)中的异常检测等任务。
【ICML2020-华为港科大】RNN和LSTM有长期记忆吗?
专知会员服务
78+阅读 · 2020年6月25日
最新《自动微分手册》77页pdf
专知会员服务
103+阅读 · 2020年6月6日
一份循环神经网络RNNs简明教程,37页ppt
专知会员服务
173+阅读 · 2020年5月6日
【MIT深度学习课程】深度序列建模,Deep Sequence Modeling
专知会员服务
78+阅读 · 2020年2月3日
【GitHub实战】Pytorch实现的小样本逼真的视频到视频转换
专知会员服务
36+阅读 · 2019年12月15日
【NeurIPS2019】图变换网络:Graph Transformer Network
专知会员服务
112+阅读 · 2019年11月25日
【论文笔记】基于LSTM的问答对排序
专知
12+阅读 · 2019年9月7日
干货 | 循环神经网络(RNN)和LSTM初学者指南
THU数据派
15+阅读 · 2019年1月25日
三次简化一张图:一招理解LSTM/GRU门控机制
机器之心
16+阅读 · 2018年12月18日
基于LSTM深层神经网络的时间序列预测
论智
22+阅读 · 2018年9月4日
基于 Keras 用 LSTM 网络做时间序列预测
R语言中文社区
21+阅读 · 2018年8月6日
一文读懂LSTM和循环神经网络
七月在线实验室
8+阅读 · 2018年4月18日
深度学习基础之LSTM
全球人工智能
28+阅读 · 2017年12月18日
阿里流行音乐趋势预测-深度学习LSTM网络实现代码分享
机器学习研究会
11+阅读 · 2017年12月5日
【推荐】一步一步带你用TensorFlow玩转LSTM
机器学习研究会
9+阅读 · 2017年9月12日
Bivariate Beta LSTM
Arxiv
6+阅读 · 2019年10月7日
UPSNet: A Unified Panoptic Segmentation Network
Arxiv
4+阅读 · 2019年1月12日
Symbolic Priors for RNN-based Semantic Parsing
Arxiv
3+阅读 · 2018年9月20日
Recurrent Fusion Network for Image Captioning
Arxiv
3+阅读 · 2018年7月31日
Arxiv
4+阅读 · 2015年8月25日
VIP会员
相关资讯
【论文笔记】基于LSTM的问答对排序
专知
12+阅读 · 2019年9月7日
干货 | 循环神经网络(RNN)和LSTM初学者指南
THU数据派
15+阅读 · 2019年1月25日
三次简化一张图:一招理解LSTM/GRU门控机制
机器之心
16+阅读 · 2018年12月18日
基于LSTM深层神经网络的时间序列预测
论智
22+阅读 · 2018年9月4日
基于 Keras 用 LSTM 网络做时间序列预测
R语言中文社区
21+阅读 · 2018年8月6日
一文读懂LSTM和循环神经网络
七月在线实验室
8+阅读 · 2018年4月18日
深度学习基础之LSTM
全球人工智能
28+阅读 · 2017年12月18日
阿里流行音乐趋势预测-深度学习LSTM网络实现代码分享
机器学习研究会
11+阅读 · 2017年12月5日
【推荐】一步一步带你用TensorFlow玩转LSTM
机器学习研究会
9+阅读 · 2017年9月12日
相关论文
Bivariate Beta LSTM
Arxiv
6+阅读 · 2019年10月7日
UPSNet: A Unified Panoptic Segmentation Network
Arxiv
4+阅读 · 2019年1月12日
Symbolic Priors for RNN-based Semantic Parsing
Arxiv
3+阅读 · 2018年9月20日
Recurrent Fusion Network for Image Captioning
Arxiv
3+阅读 · 2018年7月31日
Arxiv
4+阅读 · 2015年8月25日
Top
微信扫码咨询专知VIP会员