如何通俗地解释欧拉公式(e^πi+1=0)?

2020 年 2 月 19 日 极市平台

加入极市专业CV交流群,与10000+来自腾讯,华为,百度,北大,清华,中科院等名企名校视觉开发者互动交流!

同时提供每月大咖直播分享、真实项目需求对接、干货资讯汇总,行业技术交流。关注 极市平台 公众号 ,回复 加群,立刻申请入群~


来源:算法与数学之美@微信公众号


欧拉公式,被誉为上帝公式, e、 i 、 pi 、乘法单位元1、加法单位元0,这五个重要的数学元素全部被包含在内,在数学爱好者眼里,仿佛一行诗道尽了数学的美好。

欧拉公式将指数函数的定义域扩大到了复数域,建立和三角函数和指数函数的关系,被誉为“数学中的天桥”。形式简单,结果惊人,欧拉本人都把这个公式刻在皇家科学院的大门上,看来必须好好推敲一番。

1 复数


在进入欧拉公式之前,我们先看一些重要的复数概念。

 1.1 i的由来 

,这个就是i的定义。虚数的出现,把实数数系进一步扩张,扩张到了复平面。实数轴已经被自然数、整数、有理数、无理数塞满了,虚数只好向二维要空间了。

可是,这是最不能让人接受的一次数系扩张,听它的名字就感觉它是“虚”的:

  • 从自然数扩张到整数:增加的负数可以对应“欠债、减少”

  • 从整数扩张到有理数:增加的分数可以对应“分割、部分”

  • 从有理数扩张到实数:增加的无理数可以对应“单位正方形的对角线的长度

  • 从实数扩张到复数:增加的虚数对应什么?


虚数似乎只是让开方运算在整个复数域封闭了(即复数开方运算之后得到的仍然是复数)。

看起来我们没有必要去理会 到底等于多少,我们规定 没有意义就可以了嘛,就好像1/0一样。

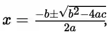
我们来看一下,一元二次方程 的万能公式:


其根可以表示为: 其判别式

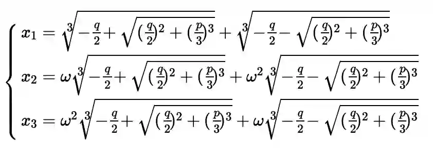
我们再看一下,一元三次方程 ,一元三次方程的解太复杂了,这里写不下,大家可以参考维基百科 ,但愿大家能够打开。

我们讨论一下 ,此时,一元三次方程可以化为 ,其根可以表示为:

其中:
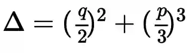
判别式为 ,注意观察解的形式, 是被包含在根式里面的。

要想求解三次方程的根,就绕不开复数了吗?后来虽然发现可以在判别式为负的时候通过三角函数计算得到实根,但是在当时并不知道,所以开始思考复数到底是什么? 

我们认为虚数可有可无,虚数却实力刷了存在感。虚数确实没有现实的对应物,只在形式上被定义,但又必不可少。数学界慢慢接受了复数的存在,并且成为重要的分支。 

 1.2 复平面上的单位圆 

在复平面上画一个单位圆,单位圆上的点可以用三角函数来表示:


我们来看单位圆:
 1.3 复平面上乘法的几何意义 
同样来感受一下


2 欧拉公式


在进入欧拉公式之前,

对于 ,有
----维基百科

欧拉公式在形式上很简单,是怎么发现的呢?

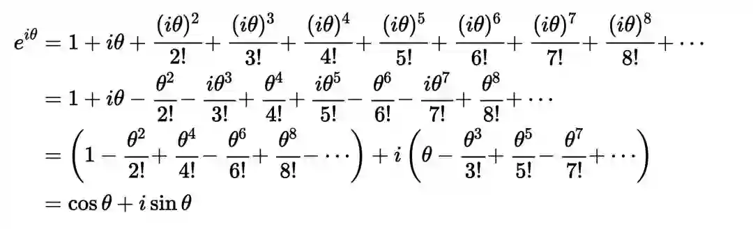
  2.1 欧拉公式与泰勒公式 


欧拉最早是通过泰勒公式观察出欧拉公式的:



代入e可得

那欧拉公式怎么可以有一个直观的理解呢?

 2.2 对同一个点不同的描述方式 
我们可以把 看作通过单位圆的圆周运动来描述单位圆上的点, 通过复平面的坐标来描述单位圆上的点,是同一个点不同的描述方式,所以有

 2.3 为什么是圆周运动?

定义e为
这是实数域上的定义,可以推广到复数域 。根据之前对复数乘法的描述,乘上 是进行伸缩和旋转运动,n取值不同,伸缩和旋转的幅度不同。
我们来看看 如何在圆周上完成1弧度的圆周运动的:

从图上可以推出 时, 在单位圆上转动了1弧度。

再来看看 ,这个应该是在单位圆上转动 弧度:

看来 确实是单位圆周上的圆周运动。

来看看 是如何运动的吧:

 2.4 2^i的几何含义是什么? 

看不出来有什么几何含义,不过我们稍微做个变换 ,几何含义还是挺明显的,沿圆周运动 弧度。

 2.5 欧拉公式与三角函数 

根据欧拉公式 ,可以轻易推出:
三角函数定义域被扩大到了复数域。

我们把复数当作向量来看待,复数的实部是x方向,虚部是y方向,很容易观察出其几何意义。

 2.6 欧拉恒等式 

的时候,代入欧拉公式:

就是欧拉恒等式,被誉为上帝公式, 乘法单位元1、加法单位元0,这五个重要的数学元素全部被包含在内,在数学爱好者眼里,仿佛一行诗道尽了数学的美好。


-END-


点击   阅读原文 ,可跳转浏览本文内所有网址链接




*延伸阅读


添加极市小助手微信 (ID : cv-mart) ,备注: 研究方向-姓名-学校/公司-城市 (如:目标检测-小极-北大-深圳),即可申请加入 目标检测、目标跟踪、人脸、工业检测、医学影像、三维&SLAM、图像分割等极市技术交流群 ,更有 每月大咖直播分享、真实项目需求对接、求职内推、算法竞赛、 干货资讯汇总、行业技术交流 一起来让思想之光照的更远吧~




△长按添加极市小助手


△长按关注极市平台,获取最新CV干货


觉得有用麻烦给个在看啦~  

登录查看更多
0

相关内容

数学是关于数量、结构、变化等主题的探索。
最新《自动微分手册》77页pdf
专知会员服务
103+阅读 · 2020年6月6日
最新《机器学习理论初探》概述
专知会员服务
48+阅读 · 2020年5月19日
机器学习速查手册,135页pdf
专知会员服务
345+阅读 · 2020年3月15日
Python数据分析:过去、现在和未来,52页ppt
专知会员服务
103+阅读 · 2020年3月9日
《代码整洁之道》:5大基本要点
专知会员服务
50+阅读 · 2020年3月3日
《可解释的机器学习-interpretable-ml》238页pdf
专知会员服务
208+阅读 · 2020年2月24日
从信息论的角度来理解损失函数
深度学习每日摘要
17+阅读 · 2019年4月7日
从最优化的角度看待 Softmax 损失函数
极市平台
31+阅读 · 2019年2月21日
可视化理解四元数,愿你不再掉头发
计算机视觉life
31+阅读 · 2019年1月2日
合集 | 更好的解释(数学篇) 1~12
遇见数学
31+阅读 · 2018年10月11日
【机器学习数学基础】动图解释泰勒级数(一)
机器学习研究会
6+阅读 · 2018年2月25日
傅里叶变换和拉普拉斯变换的物理解释及区别
算法与数学之美
11+阅读 · 2018年2月5日
深度学习中的「卷积层」如何深入理解?
深度学习世界
6+阅读 · 2017年11月30日
干货|通俗易懂地解释EM算法并举例说明?
机器学习研究会
12+阅读 · 2017年11月17日
神经网络中的「注意力」是什么?怎么用?
北京思腾合力科技有限公司
17+阅读 · 2017年10月28日
Arxiv
19+阅读 · 2018年6月27日
Arxiv
5+阅读 · 2018年4月22日
Arxiv
11+阅读 · 2018年3月23日
VIP会员
相关VIP内容
最新《自动微分手册》77页pdf
专知会员服务
103+阅读 · 2020年6月6日
最新《机器学习理论初探》概述
专知会员服务
48+阅读 · 2020年5月19日
机器学习速查手册,135页pdf
专知会员服务
345+阅读 · 2020年3月15日
Python数据分析:过去、现在和未来,52页ppt
专知会员服务
103+阅读 · 2020年3月9日
《代码整洁之道》:5大基本要点
专知会员服务
50+阅读 · 2020年3月3日
《可解释的机器学习-interpretable-ml》238页pdf
专知会员服务
208+阅读 · 2020年2月24日
相关资讯
从信息论的角度来理解损失函数
深度学习每日摘要
17+阅读 · 2019年4月7日
从最优化的角度看待 Softmax 损失函数
极市平台
31+阅读 · 2019年2月21日
可视化理解四元数,愿你不再掉头发
计算机视觉life
31+阅读 · 2019年1月2日
合集 | 更好的解释(数学篇) 1~12
遇见数学
31+阅读 · 2018年10月11日
【机器学习数学基础】动图解释泰勒级数(一)
机器学习研究会
6+阅读 · 2018年2月25日
傅里叶变换和拉普拉斯变换的物理解释及区别
算法与数学之美
11+阅读 · 2018年2月5日
深度学习中的「卷积层」如何深入理解?
深度学习世界
6+阅读 · 2017年11月30日
干货|通俗易懂地解释EM算法并举例说明?
机器学习研究会
12+阅读 · 2017年11月17日
神经网络中的「注意力」是什么?怎么用?
北京思腾合力科技有限公司
17+阅读 · 2017年10月28日
Top
微信扫码咨询专知VIP会员