干货 | TF-IDF的大用处

2017 年 8 月 27 日 机器学习算法与Python学习


点击上方“公众号” 可以订阅哦!

微信公众号

关键字全网搜索最新排名

【机器学习算法】:排名第一

【机器学习】:排名第二

【Python】:排名第三

【算法】:排名第四

有一篇很长的文章,我要用计算机提取它的关键词(Automatic Keyphrase extraction),完全不加以人工干预,请问怎样才能正确做到?


这个问题涉及到数据挖掘、文本处理、信息检索等很多计算机前沿领域,但是出乎意料的是,有一个非常简单的经典算法,可以给出令人相当满意的结果。它简单到都不需要高等数学,普通人只用10分钟就可以理解,这就是我今天想要介绍的TF-IDF算法。


1.定义引入

让我们从一个实例开始讲起。假定现在有一篇长文《中国的蜜蜂养殖》,我们准备用计算机提取它的关键词。


一个容易想到的思路,就是找到出现次数最多的词。如果某个词很重要,它应该在这篇文章中多次出现。于是,我们进行"词频"(Term Frequency,缩写为TF)统计。


结果你肯定猜到了,出现次数最多的词是----"的"、"是"、"在"----这一类最常用的词。它们叫做"停用词"(stop words),表示对找到结果毫无帮助、必须过滤掉的词。


假设我们把它们都过滤掉了,只考虑剩下的有实际意义的词。这样又会遇到了另一个问题,我们可能发现"中国"、"蜜蜂"、"养殖"这三个词的出现次数一样多。这是不是意味着,作为关键词,它们的重要性是一样的?


显然不是这样。因为"中国"是很常见的词,相对而言,"蜜蜂"和"养殖"不那么常见。如果这三个词在一篇文章的出现次数一样多,有理由认为,"蜜蜂"和"养殖"的重要程度要大于"中国",也就是说,在关键词排序上面,"蜜蜂"和"养殖"应该排在"中国"的前面。


所以,我们需要一个重要性调整系数,衡量一个词是不是常见词。如果某个词比较少见,但是它在这篇文章中多次出现,那么它很可能就反映了这篇文章的特性,正是我们所需要的关键词。


用统计学语言表达,就是在词频的基础上,要对每个词分配一个"重要性"权重。最常见的词("的"、"是"、"在")给予最小的权重,较常见的词("中国")给予较小的权重,较少见的词("蜜蜂"、"养殖")给予较大的权重。这个权重叫做"逆文档频率"(Inverse Document Frequency,缩写为IDF),它的大小与一个词的常见程度成反比。


知道了"词频"(TF)和"逆文档频率"(IDF)以后,将这两个值相乘,就得到了一个词的TF-IDF值。某个词对文章的重要性越高,它的TF-IDF值就越大。所以,排在最前面的几个词,就是这篇文章的关键词。


2.算法细节

1.计算词频

考虑到文章有长短之分,为了便于不同文章的比较,进行"词频"标准化。

或者



2.计算逆文档频率

这时,需要一个语料库(corpus),用来模拟语言的使用环境。



如果一个词越常见,那么分母就越大,逆文档频率就越小越接近0。分母之所以要加1,是为了避免分母为0(即所有文档都不包含该词)。log表示对得到的值取对数。


3.计算TF-IDF


可以看到,TF-IDF与一个词在文档中的出现次数成正比,与该词在整个语言中的出现次数成反比。所以,自动提取关键词的算法就很清楚了,就是计算出文档的每个词的TF-IDF值,然后按降序排列,取排在最前面的几个词。


4.实例

还是以《中国的蜜蜂养殖》为例,假定该文长度为1000个词,"中国"、"蜜蜂"、"养殖"各出现20次,则这三个词的"词频"(TF)都为0.02。然后,搜索Google发现,包含"的"字的网页共有250亿张,假定这就是中文网页总数。包含"中国"的网页共有62.3亿张,包含"蜜蜂"的网页为0.484亿张,包含"养殖"的网页为0.973亿张。则它们的逆文档频率(IDF)和TF-IDF如下:

从上表可见,"蜜蜂"的TF-IDF值最高,"养殖"其次,"中国"最低。(如果还计算"的"字的TF-IDF,那将是一个极其接近0的值。)所以,如果只选择一个词,"蜜蜂"就是这篇文章的关键词。


3.TF-IDF找相似文章

我们再来研究另一个相关的问题。有些时候,除了找到关键词,我们还希望找到与原文章相似的其他文章。比如,"Google新闻"在主新闻下方,还提供多条相似的新闻。


为了找出相似的文章,需要用到"余弦相似性" (cosine similiarity)。


什么是余弦相似性?

为了简单起见,我们先从句子着手。


句子A:我喜欢看电视,不喜欢看电影。

句子B:我不喜欢看电视,也不喜欢看电影。


请问怎样才能计算上面两句话的相似程度?

基本思路是:如果这两句话的用词越相似,它们的内容就应该越相似。因此,可以从词频入手,计算它们的相似程度。


1.分词

句子A:我/喜欢/看/电视,不/喜欢/看/电影。

句子B:我/不/喜欢/看/电视,也/不/喜欢/看/电影。


2.列出所有的词

我,喜欢,看,电视,电影,不,也。


3.计算词频 

句子A:我 1,喜欢 2,看 2,电视 1,电影 1,不 1,也 0。

句子B:我 1,喜欢 2,看 2,电视 1,电影 1,不 2,也 1。


4.写出词频向量

句子A:[1, 2, 2, 1, 1, 1, 0]

句子B:[1, 2, 2, 1, 1, 2, 1]


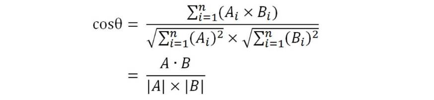
到这里,问题就变成了如何计算这两个向量的相似程度。我们可以把它们想象成空间中的两条线段,都是从原点([0, 0, ...])出发,指向不同的方向。两条线段之间形成一个夹角,如果夹角为0度,意味着方向相同、线段重合;如果夹角为90度,意味着形成直角,方向完全不相似;如果夹角为180度,意味着方向正好相反。因此,我们可以通过夹角的大小,来判断向量的相似程度。夹角越小,就代表越相似。

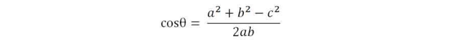
以二维空间为例,上图的a和b是两个向量,我们要计算它们的夹角θ。余弦定理告诉我们,可以用下面的公式求得:

假定a向量是[x1, y1],b向量是[x2, y2],那么可以将余弦定理改写成下面的形式:

数学家已经证明,余弦的这种计算方法对n维向量也成立。假定A和B是两个n维向量,A是 [A1, A2, ..., An] ,B是 [B1, B2, ..., Bn] ,则A与B的夹角θ的余弦等于:

使用这个公式,我们就可以得到,句子A与句子B的夹角的余弦。

余弦值越接近1,就表明夹角越接近0度,也就是两个向量越相似,这就叫"余弦相似性"。所以,上面的句子A和句子B是很相似的,事实上它们的夹角大约为20.3度。


由此,我们就得到了"找出相似文章"的一种算法:


(1)使用TF-IDF算法,找出两篇文章的关键词;

(2)每篇文章各取出若干个关键词(比如20个),合并成一个集合,计算每篇文章对于这个集合中的词的词频(为了避免文章长度的差异,可以使用相对词频);

(3)生成两篇文章各自的词频向量;

(4)计算两个向量的余弦相似度,值越大就表示越相似。


4.自动摘要

有时候,很简单的数学方法,就可以完成很复杂的任务。前两部分就是很好的例子。仅仅依靠统计词频,就能找出关键词和相似文章。虽然它们算不上效果最好的方法,但肯定是最简便易行的方法。接下来讨论如何通过词频,对文章进行自动摘要(Automatic summarization)。


如果能从3000字的文章,提炼出150字的摘要,就可以为读者节省大量阅读时间。由人完成的摘要叫"人工摘要",由机器完成的就叫"自动摘要"。许多网站都需要它,比如论文网站、新闻网站、搜索引擎等等。2007年,美国学者的论文《A Survey on Automatic Text Summarization》(Dipanjan Das, Andre F.T. Martins, 2007)总结了目前的自动摘要算法。其中,很重要的一种就是词频统计。


这种方法最早出自1958年的IBM公司科学家H.P. Luhn的论文《The Automatic Creation of Literature Abstracts》。


Luhn博士认为,文章的信息都包含在句子中,有些句子包含的信息多,有些句子包含的信息少。"自动摘要"就是要找出那些包含信息最多的句子。句子的信息量用"关键词"来衡量。如果包含的关键词越多,就说明这个句子越重要。Luhn提出用"簇"(cluster)表示关键词的聚集。所谓"簇"就是包含多个关键词的句子片段。

上图就是Luhn原始论文的插图,被框起来的部分就是一个"簇"。只要关键词之间的距离小于"门槛值",它们就被认为处于同一个簇之中。Luhn建议的门槛值是4或5。也就是说,如果两个关键词之间有5个以上的其他词,就可以把这两个关键词分在两个簇。


下一步,对于每个簇,都计算它的重要性分值。

以前图为例,其中的簇一共有7个词,其中4个是关键词。因此,它的重要性分值等于 ( 4 x 4 ) / 7 = 2.3。


然后,找出包含分值最高的簇的句子(比如5句),把它们合在一起,就构成了这篇文章的自动摘要。具体实现可以参见《Mining the Social Web: Analyzing Data from Facebook, Twitter, LinkedIn, and Other Social Media Sites》(O'Reilly, 2011)一书的第8章,python代码见github。

招募 志愿者

广告、商业合作

请发邮件:357062955@qq.com

喜欢,别忘关注~

帮助你在AI领域更好的发展,期待与你相遇!

登录查看更多
1

相关内容

TF-IDF(英语:term frequency–inverse document frequency)是一种用于信息检索与文本挖掘的常用加权技术。tf-idf是一种统计方法,用以评估一字词对于一个文件集或一个语料库中的其中一份文件的重要程度。字词的重要性随着它在文件中出现的次数成正比增加,但同时会随着它在语料库中出现的频率成反比下降。tf-idf加权的各种形式常被搜索引擎应用,作为文件与用户查询之间相关程度的度量或评级。除了tf-idf以外,互联网上的搜索引擎还会使用基于链接分析的评级方法,以确定文件在搜索结果中出现的顺序。
【2020新书】数据科学:十大Python项目,247页pdf
专知会员服务
216+阅读 · 2020年2月21日
【经典书】精通机器学习特征工程,中文版,178页pdf
专知会员服务
360+阅读 · 2020年2月15日
NLP基础任务:文本分类近年发展汇总,68页超详细解析
专知会员服务
58+阅读 · 2020年1月3日
【干货】用BRET进行多标签文本分类(附代码)
专知会员服务
85+阅读 · 2019年12月27日
知识神经元网络 KNN(简介),12页pdf
专知会员服务
15+阅读 · 2019年12月25日
【综述】关键词生成,附10页pdf论文下载
专知会员服务
54+阅读 · 2019年11月20日
计算机视觉最佳实践、代码示例和相关文档
专知会员服务
20+阅读 · 2019年10月9日
白话TF-IDF应用(一):自动提取关键词
机器学习研究会
3+阅读 · 2018年3月23日
干货 | 自然语言处理(3)之词频-逆文本词频(TF-IDF)详解
机器学习算法与Python学习
3+阅读 · 2017年12月19日
干货 | 自然语言处理(2)之浅谈向量化与Hash-Trick
机器学习算法与Python学习
3+阅读 · 2017年12月13日
干货 | 自然语言处理(1)之聊一聊分词原理
机器学习算法与Python学习
5+阅读 · 2017年12月7日
干货|通俗易懂地解释EM算法并举例说明?
机器学习研究会
12+阅读 · 2017年11月17日
python文本相似度计算
北京思腾合力科技有限公司
24+阅读 · 2017年11月6日
干货 | 深度学习之损失函数与激活函数的选择
机器学习算法与Python学习
15+阅读 · 2017年9月18日
机器学习(13)之最大熵模型详解
机器学习算法与Python学习
7+阅读 · 2017年8月24日
Question Generation by Transformers
Arxiv
5+阅读 · 2019年9月14日
Arxiv
6+阅读 · 2019年8月22日
Interpretable Adversarial Training for Text
Arxiv
5+阅读 · 2019年5月30日
Arxiv
4+阅读 · 2018年10月31日
Arxiv
6+阅读 · 2018年8月27日
Arxiv
7+阅读 · 2018年3月21日
Arxiv
6+阅读 · 2018年1月29日
VIP会员
相关VIP内容
【2020新书】数据科学:十大Python项目,247页pdf
专知会员服务
216+阅读 · 2020年2月21日
【经典书】精通机器学习特征工程,中文版,178页pdf
专知会员服务
360+阅读 · 2020年2月15日
NLP基础任务:文本分类近年发展汇总,68页超详细解析
专知会员服务
58+阅读 · 2020年1月3日
【干货】用BRET进行多标签文本分类(附代码)
专知会员服务
85+阅读 · 2019年12月27日
知识神经元网络 KNN(简介),12页pdf
专知会员服务
15+阅读 · 2019年12月25日
【综述】关键词生成,附10页pdf论文下载
专知会员服务
54+阅读 · 2019年11月20日
计算机视觉最佳实践、代码示例和相关文档
专知会员服务
20+阅读 · 2019年10月9日
相关资讯
白话TF-IDF应用(一):自动提取关键词
机器学习研究会
3+阅读 · 2018年3月23日
干货 | 自然语言处理(3)之词频-逆文本词频(TF-IDF)详解
机器学习算法与Python学习
3+阅读 · 2017年12月19日
干货 | 自然语言处理(2)之浅谈向量化与Hash-Trick
机器学习算法与Python学习
3+阅读 · 2017年12月13日
干货 | 自然语言处理(1)之聊一聊分词原理
机器学习算法与Python学习
5+阅读 · 2017年12月7日
干货|通俗易懂地解释EM算法并举例说明?
机器学习研究会
12+阅读 · 2017年11月17日
python文本相似度计算
北京思腾合力科技有限公司
24+阅读 · 2017年11月6日
干货 | 深度学习之损失函数与激活函数的选择
机器学习算法与Python学习
15+阅读 · 2017年9月18日
机器学习(13)之最大熵模型详解
机器学习算法与Python学习
7+阅读 · 2017年8月24日
相关论文
Question Generation by Transformers
Arxiv
5+阅读 · 2019年9月14日
Arxiv
6+阅读 · 2019年8月22日
Interpretable Adversarial Training for Text
Arxiv
5+阅读 · 2019年5月30日
Arxiv
4+阅读 · 2018年10月31日
Arxiv
6+阅读 · 2018年8月27日
Arxiv
7+阅读 · 2018年3月21日
Arxiv
6+阅读 · 2018年1月29日
Top
微信扫码咨询专知VIP会员