逻辑回归算法背后的数学

2017 年 9 月 18 日 机器学习研究会

逻辑回归算法背后的数学


看完Andrew Ng老师的机器学习公开课后,对于逻辑回归部分,打算写篇学习笔记记录总结一下,也和大家共同分享。



1

基本思能


逻辑回归(Logistic Regression)和线性回归(Linear Regression)的模型和原理是相似的(哈哈,给我的感觉就像是街霸游戏里的Ryu和Ken),按照我的理解,算法大致可以分为以下步骤:


(1)构造一个合适的预测函数,假设记为h函数。该函数就是我们需要找的分类函数,它用来预测输入数据的判断结果。这个过程非常关键,需要对数据有一定的了解或分析,知道或者猜测预测函数的“大概”形式(走势),比如是线性函数还是非线性函数。(例如y=x,y=x2,y=x3…… 等形式的函数)

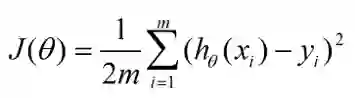
(2)构造一个损失函数(loss function)并合成一个代价函数(cost function)。损失函数是表示每一个样本上,预测的输出h与训练数据类别(即真实值)y之间的偏差,可以是二者之间的差(h-y),也可以是(h-y)2(貌似这种常用一点,避免了可能出现负数的情况)或者是其他的形式。综合考虑所有训练数据的“损失”,将其求和或者求平均,就变成了代价函数,记为J(θ)函数(这里的参数θ是指预测函数里面的系数) 

(3)寻找代价函数最小值并确定参数。显然,我们希望J(θ)函数的值越小越好,因为这表示我们预测的和实际值越小了,预测函数的表现效果就越好,所以这一步需要做的是找到J(θ)函数的最小值。找函数的最小值有不同的方法,这里要提到的是梯度下降法(Gradient Descent),当然也有其他优秀的算法。



2

推导过程

1

 构造预测函数


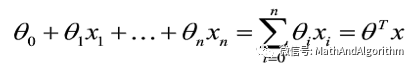
逻辑回归是一种分类方法,用于两分类问题(即输出只有两种,表示为0和1)。根据上面步骤,需要先找到一个预测函数hθ(x),在这里,我们假设是线性边界的情况,表示形式为:



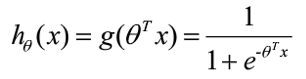
因为逻辑回归的输出必须是两个值,所以要利用Logistic函数(或称为Sigmoid函数),把输出控制在0到1之间,函数形式为:



它的函数图像为:



结合这两个函数,我们可以得到:



好了,到了这里我们已经定义了一个预测函数,应当注意,hθ(x)的输出值的含义是:它表示结果取1的概率。

 


2

构造损失函数和代价函数


按照直观思想,或是参照线性回归的代价函数,我们可以写出以下的代价函数:




转自:算法与数学之美

登录查看更多
1

相关内容

逻辑回归(也称“对数几率回归”)(英语:Logistic regression 或logit regression),即逻辑模型(英语:Logit model,也译作“评定模型”、“分类评定模型”)是离散选择法模型之一,属于多重变量分析范畴,是社会学、生物统计学、临床、数量心理学、计量经济学、市场营销等统计实证分析的常用方法。在统计学中,logistic模型(或logit模型)用于对存在的某个类或事件的概率建模,例如通过/失败、赢/输、活着/死了或健康/生病。这可以扩展到建模若干类事件,如确定一个图像是否包含猫、狗、狮子等。图像中检测到的每个物体的概率都在0到1之间,其和为1。
专知会员服务
142+阅读 · 2020年5月19日
干货书《数据科学数学系基础》2020最新版,266页pdf
专知会员服务
324+阅读 · 2020年3月23日
《深度学习》圣经花书的数学推导、原理与Python代码实现
机器学习中的最优化算法总结
人工智能前沿讲习班
22+阅读 · 2019年3月22日
已删除
将门创投
6+阅读 · 2019年1月2日
第二章 机器学习中的数学基础
Datartisan数据工匠
12+阅读 · 2018年4月5日
动手写机器学习算法:SVM支持向量机(附代码)
七月在线实验室
12+阅读 · 2017年12月5日
【直观详解】支持向量机SVM
机器学习研究会
18+阅读 · 2017年11月8日
BAT机器学习面试1000题系列(第36~40题)
七月在线实验室
8+阅读 · 2017年10月3日
机器学习(15)之支持向量机原理(一)线性支持向量机
机器学习算法与Python学习
6+阅读 · 2017年9月1日
机器学习(13)之最大熵模型详解
机器学习算法与Python学习
7+阅读 · 2017年8月24日
从逻辑回归到最大熵模型
夕小瑶的卖萌屋
4+阅读 · 2017年7月11日
Arxiv
11+阅读 · 2018年4月25日
Arxiv
26+阅读 · 2018年2月27日
Arxiv
3+阅读 · 2017年7月6日
VIP会员
相关资讯
机器学习中的最优化算法总结
人工智能前沿讲习班
22+阅读 · 2019年3月22日
已删除
将门创投
6+阅读 · 2019年1月2日
第二章 机器学习中的数学基础
Datartisan数据工匠
12+阅读 · 2018年4月5日
动手写机器学习算法:SVM支持向量机(附代码)
七月在线实验室
12+阅读 · 2017年12月5日
【直观详解】支持向量机SVM
机器学习研究会
18+阅读 · 2017年11月8日
BAT机器学习面试1000题系列(第36~40题)
七月在线实验室
8+阅读 · 2017年10月3日
机器学习(15)之支持向量机原理(一)线性支持向量机
机器学习算法与Python学习
6+阅读 · 2017年9月1日
机器学习(13)之最大熵模型详解
机器学习算法与Python学习
7+阅读 · 2017年8月24日
从逻辑回归到最大熵模型
夕小瑶的卖萌屋
4+阅读 · 2017年7月11日
Top
微信扫码咨询专知VIP会员