视频 | 认识黄金比例、白银比例等贵金属比例

2018 年 12 月 31 日 遇见数学

扫描关注姊妹号

遇见数学视频讲堂

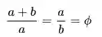
一个矩形由较长的边切割出一个最大的正方形, 余下的矩形与原来矩形长宽比相同, 则此矩形为黄金矩形, 而计算来的长宽比约为黄金比例(Golden Ratio), 它是一个无理数的数学常数, 一般由希腊字幕 φ 代表. 

如上图将矩形的长边分割成两段. 总长度a+b与长度较长的a之比等于a与长度较短的b之比记为黄金比例. 

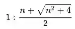
黄金比例的数值约为 1.6180339887..., 并且斐波那契数列后一项和前一项的比值也会趋近该数值. 与此类似还有白银比例、青铜比例等等贵金属比例. 这些贵金属比例定义为:

随n值的不同,又称为第n贵金属比例. 这些比例有哪些有趣的规律和属性, 以及尚未证明的猜想呢?

翻译小组成员介绍: 烟波蓝

伪文青一枚;在数院日常崇拜柯西欧拉黎曼高斯;然后在各种专业课中痛并快乐着~


翻译小组成员介绍: Kaninchen

某四非高校SWUPL的Freshman,对数学有着莫名执念的政法类学生

具体细节请看【遇见数学】翻译小组带来的下面视频《一步步可视化解释主成分分析》. 翻译: 烟波蓝, 校对:kaninchen, 后期: 公理

视频原链接:

https://www.youtube.com/watch?v=FgakZw6K1QQ

感谢支持 [遇见数学] 翻译小组!

点击边框调出视频工具条
   
登录查看更多
0

相关内容

数学是关于数量、结构、变化等主题的探索。
【ICML2020】对比多视角表示学习
专知会员服务
53+阅读 · 2020年6月28日
少标签数据学习,54页ppt
专知会员服务
204+阅读 · 2020年5月22日
斯坦福2020硬课《分布式算法与优化》
专知会员服务
123+阅读 · 2020年5月6日
【CVPR2020】图神经网络中的几何原理连接
专知会员服务
57+阅读 · 2020年4月8日
数字图像处理中的噪声过滤
AI研习社
8+阅读 · 2018年9月12日
深度学习之视频图像压缩
论智
13+阅读 · 2018年6月15日
“噪声对比估计”杂谈:曲径通幽之妙
PaperWeekly
6+阅读 · 2018年6月15日
视频 | 傅里叶级数与傅里叶变换
遇见数学
11+阅读 · 2018年2月2日
【基础数学】- 01
遇见数学
20+阅读 · 2017年7月25日
Learning Dynamic Routing for Semantic Segmentation
Arxiv
8+阅读 · 2020年3月23日
Visualizing and Measuring the Geometry of BERT
Arxiv
7+阅读 · 2019年10月28日
UPSNet: A Unified Panoptic Segmentation Network
Arxiv
4+阅读 · 2019年1月12日
Arxiv
11+阅读 · 2018年4月8日
VIP会员
相关资讯
数字图像处理中的噪声过滤
AI研习社
8+阅读 · 2018年9月12日
深度学习之视频图像压缩
论智
13+阅读 · 2018年6月15日
“噪声对比估计”杂谈:曲径通幽之妙
PaperWeekly
6+阅读 · 2018年6月15日
视频 | 傅里叶级数与傅里叶变换
遇见数学
11+阅读 · 2018年2月2日
【基础数学】- 01
遇见数学
20+阅读 · 2017年7月25日
Top
微信扫码咨询专知VIP会员