一文轻松get朴素贝叶斯算法,以及女朋友

2018 年 6 月 25 日 人工智能头条


作者 | 忆臻

来源 |  深度学习这件小事


人工智能头条导读】朴素贝叶斯法是基于贝叶斯定理与特征条件独立假设的分类方法,是经典的机器学习算法之一,处理很多问题时直接又高效,因此在很多领域有着广泛的应用,如垃圾邮件过滤、文本分类等。也是学习研究自然语言处理问题的一个很好的切入口。朴素贝叶斯原理简单,却有着坚实的数学理论基础,对于刚开始学习算法或者数学基础差的同学们来说,还是会遇到一些困难,花费一定的时间。比如小编刚准备学习的时候,看到贝叶斯公式还是有点小害怕的,也不知道自己能不能搞定。至此,人工智能头条特别为大家寻找并推荐一些文章,希望大家在看过学习后,不仅能消除心里的小恐惧,还能高效、容易理解的get到这个方法,从中获得启发没准还能追到一个女朋友,脱单我们是有技术的。




贝叶斯分类是一类分类算法的总称,这类算法均以贝叶斯定理为基础,故统称为贝叶斯分类。而朴素朴素贝叶斯分类是贝叶斯分类中最简单,也是常见的一种分类方法。这篇文章我尽可能用直白的话语总结一下我们学习会上讲到的朴素贝叶斯分类算法,希望有利于他人理解。


分类问题综述


对于分类问题,其实谁都不会陌生,日常生活中我们每天都进行着分类过程。例如,当你看到一个人,你的脑子下意识判断他是学生还是社会上的人;你可能经常会走在路上对身旁的朋友说“这个人一看就很有钱、”之类的话,其实这就是一种分类操作。


既然是贝叶斯分类算法,那么分类的数学描述又是什么呢?


从数学角度来说,分类问题可做如下定义:


已知集合C=y1,y2,……,yn 和I=x1,x2,……,xn确定映射规则y=f(),使得任意xi∈I有且仅有一个yi∈C,使得yi∈f(xi)成立。


其中C叫做类别集合,其中每一个元素是一个类别,而I叫做项集合(特征集合),其中每一个元素是一个待分类项,f叫做分类器。分类算法的任务就是构造分类器f。


分类算法的内容是要求给定特征,让我们得出类别,这也是所有分类问题的关键。那么如何由指定特征,得到我们最终的类别,也是我们下面要讲的,每一个不同的分类算法,对应着不同的核心思想。


本篇文章,我会用一个具体实例,对朴素贝叶斯算法几乎所有的重要知识点进行讲解。


朴素贝叶斯分类


那么既然是朴素贝叶斯分类算法,它的核心算法又是什么呢?


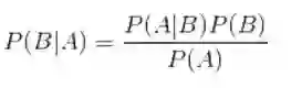
是下面这个贝叶斯公式:


            


换个表达形式就会明朗很多,如下:



我们最终求的p(类别|特征)即可!就相当于完成了我们的任务。


例题分析


下面我先给出例子问题。


给定数据如下:



现在给我们的问题是,如果一对男女朋友,男生想女生求婚,男生的四个特点分别是不帅,性格不好,身高矮,不上进,请你判断一下女生是嫁还是不嫁?


这是一个典型的分类问题,转为数学问题就是比较p(嫁|(不帅、性格不好、身高矮、不上进))与p(不嫁|(不帅、性格不好、身高矮、不上进))的概率,谁的概率大,我就能给出嫁或者不嫁的答案!


这里我们联系到朴素贝叶斯公式:



我们需要求p(嫁|(不帅、性格不好、身高矮、不上进),这是我们不知道的,但是通过朴素贝叶斯公式可以转化为好求的三个量:


  • p(不帅、性格不好、身高矮、不上进|嫁)、

  • p(不帅、性格不好、身高矮、不上进)、

  • p(嫁)(至于为什么能求,后面会讲,那么就太好了,将待求的量转化为其它可求的值,这就相当于解决了我们的问题!)


朴素贝叶斯算法的朴素一词解释


那么这三个量是如何求得?


是根据已知训练数据统计得来,下面详细给出该例子的求解过程。


回忆一下我们要求的公式如下:



那么我只要求得p(不帅、性格不好、身高矮、不上进|嫁)、p(不帅、性格不好、身高矮、不上进)、p(嫁)即可,好的,下面我分别求出这几个概率,最后一比,就得到最终结果。


p(不帅、性格不好、身高矮、不上进|嫁) = p(不帅|嫁)*p(性格不好|嫁)*p(身高矮|嫁)*p(不上进|嫁),那么我就要分别统计后面几个概率,也就得到了左边的概率!


等等,为什么这个成立呢?学过概率论的同学可能有感觉了,这个等式成立的条件需要特征之间相互独立吧!


对的!这也就是为什么朴素贝叶斯分类有朴素一词的来源,朴素贝叶斯算法是假设各个特征之间相互独立,那么这个等式就成立了!


但是为什么需要假设特征之间相互独立呢?


1、我们这么想,假如没有这个假设,那么我们对右边这些概率的估计其实是不可做的,这么说,我们这个例子有4个特征,其中帅包括,性格包括,身高包括,上进包括,那么四个特征的联合概率分布总共是4维空间,总个数为2*3*3*2=36个。


24个,计算机扫描统计还可以,但是现实生活中,往往有非常多的特征,每一个特征的取值也是非常之多,那么通过统计来估计后面概率的值,变得几乎不可做,这也是为什么需要假设特征之间独立的原因。


2、假如我们没有假设特征之间相互独立,那么我们统计的时候,就需要在整个特征空间中去找,比如统计p(不帅、性格不好、身高矮、不上进|嫁)

我们就需要在嫁的条件下,去找四种特征全满足分别是不帅,性格不好,身高矮,不上进的人的个数,这样的话,由于数据的稀疏性,很容易统计到0的情况。 这样是不合适的。


根据上面俩个原因,朴素贝叶斯法对条件概率分布做了条件独立性的假设,由于这是一个较强的假设,朴素贝叶斯也由此得名!这一假设使得朴素贝叶斯法变得简单,但有时会牺牲一定的分类准确率。


好的,上面我解释了为什么可以拆成分开连乘形式。那么下面我们就开始求解!


我们将上面公式整理一下如下:



下面我将一个一个的进行统计计算(在数据量很大的时候,根据中心极限定理,频率是等于概率的,这里只是一个例子,所以我就进行统计即可)。


p(嫁)=?


首先我们整理训练数据中,嫁的样本数如下:



则 p(嫁) = 6/12(总样本数) = 1/2


p(不帅|嫁)=?统计满足样本数如下:



则p(不帅|嫁) = 3/6 = 1/2


p(性格不好|嫁)= ?统计满足样本数如下:



则p(性格不好|嫁)= 1/6


p(矮|嫁) = ? 统计满足样本数如下:



则p(矮|嫁) = 1/6


p(不上进|嫁) = ? 统计满足样本数如下:



则p(不上进|嫁) = 1/6


下面开始求分母,p(不帅),p(性格不好),p(矮),p(不上进)

统计样本如下:



不帅统计如上红色所示,占4个,那么p(不帅) = 4/12 = 1/3



性格不好统计如上红色所示,占4个,那么p(性格不好) = 4/12 = 1/3



身高矮统计如上红色所示,占7个,那么p(身高矮) = 7/12



不上进统计如上红色所示,占4个,那么p(不上进) = 4/12 = 1/3


到这里,要求p(不帅、性格不好、身高矮、不上进|嫁)的所需项全部求出来了,下面我带入进去即可,


=(1/2*1/6*1/6*1/6*1/2)/(1/3*1/3*7/12*1/3)


下面我们根据同样的方法来求p(不嫁|不帅,性格不好,身高矮,不上进),完全一样的做法,为了方便理解,我这里也走一遍帮助理解。首先公式如下:



下面我也一个一个来进行统计计算,这里与上面公式中,分母是一样的,于是我们分母不需要重新统计计算!


p(不嫁)=?根据统计计算如下(红色为满足条件):



则p(不嫁)=6/12 = 1/2


p(不帅|不嫁)= ?统计满足条件的样本如下(红色为满足条件):



则p(不帅|不嫁)= 1/6


p(性格不好|不嫁)= ?据统计计算如下(红色为满足条件):



则p(性格不好|不嫁) =3/6 = 1/2


p(矮|不嫁)= ?据统计计算如下(红色为满足条件):



则p(矮|不嫁) = 6/6 = 1


p(不上进|不嫁)= ?据统计计算如下(红色为满足条件):



则p(不上进|不嫁) = 3/6 = 1/2


那么根据公式:

p(不嫁|不帅、性格不好、身高矮、不上进) =((1/6*1/2*1*1/2)*1/2)/(1/3*1/3*7/12*1/3)


很显然 (1/6*1/2*1*1/2) > (1/2*1/6*1/6*1/6*1/2)


于是有p(不嫁|不帅、性格不好、身高矮、不上进)>p(嫁|不帅、性格不好、身高矮、不上进)


所以我们根据朴素贝叶斯算法可以给这个女生答案,是不嫁!!!!


朴素贝叶斯分类的优缺点


优点:


  1. 算法逻辑简单,易于实现

  2. 分类过程中时空开销小


缺点:


理论上,朴素贝叶斯模型与其他分类方法相比具有最小的误差率。但是实际上并非总是如此,这是因为朴素贝叶斯模型假设属性之间相互独立,这个假设在实际应用中往往是不成立的,在属性个数比较多或者属性之间相关性较大时,分类效果不好。


而在属性相关性较小时,朴素贝叶斯性能最为良好。对于这一点,有半朴素贝叶斯之类的算法通过考虑部分关联性适度改进。


整个例子详细的讲解了朴素贝叶斯算法的分类过程,希望对大家的理解有帮助~


上文中我们已经根据朴素贝叶斯算法给出了当一个男生想他的女朋友求婚,女生是否嫁给他的答案!


这个男生的四个特征是长相不帅,性格不好,身高矮,不上进,我们最终得出的结论是女生不嫁!很多人说这是一道送分题,哈哈哈哈。我们用数学算法也说明了不靠谱是取不到老婆滴!


那么我们再来一个例子,假如此时另外一对情侣,这对情侣中,男生的四个特征是,长相帅,性格爆好,身高高,上进,那么他的女朋友嫁还是不嫁呢?可能又会有小伙伴说这是一道送分题,是不是,我们下面用事实说话!


下面通过例子来引出拉普拉斯平滑过程!


从例子开始


还是下面的训练数据:



四个特征集合分别长相{帅,不帅}、性格{爆好,好,不好}、身高{高,中,矮}、上进与否{上进,不上进}


我们此时要求出该男生在四个特征分别是长相帅,性格爆好,身高高,上进的情况下,他对应的嫁与不嫁的概率谁大谁小,从而得出结论!


也就是要比较p(嫁|长相帅,性格爆好,身高高,上进)与p(不嫁|长相帅,性格爆好,身高高,上进)的概率大小。


按照朴素贝叶斯算法公式,我们可以得到如下公式:


由于两者的分母都是p(长相帅)、p(性格爆好)、p(身高高)、p(上进),那么我们可以不算分母,比较的时候只比较俩个公式分子大小即可。


好的,下面我们开始计算,先计算在四个特征的条件下,嫁的概率。


我们需要分别计算p(性格爆好|嫁)、p(长相帅|嫁)、p(身高高|嫁)、p(上进|嫁)


首先我们来算p(性格爆好|嫁)=?我们观察训练数据,发现如下:



居然没有一个数据有爆好这个特点的,那么p(性格爆好|嫁) = 0,那么我们可以看出问题了,根据公式:



我们最后的p(嫁|长相帅、性格爆好、身高高、上进)由于一项p(性格爆好|嫁)为0,而造成整个概率为0,这显然是错误的。


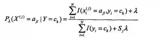
而这个错误的造成是由于训练量不足,会令分类器质量大大降低。为了解决这个问题,我们引入Laplace校准(这就引出了我们的拉普拉斯平滑),它的思想非常简单,就是对每个类别下所有划分的计数加1,这样如果训练样本集数量充分大时,并不会对结果产生影响,并且解决了上述频率为0的尴尬局面。


引入拉普拉斯平滑的公式如下:


其中ajl,代表第j个特征的第l个选择,Sj代表第j个特征的个数,K代表种类的个数。


λ为1,这也很好理解,加入拉普拉斯平滑之后,避免了出现概率为0的情况,又保证了每个值都在0到1的范围内,又保证了最终和为1的概率性质!

我们可以通过下面例子更加深刻的理解这个公式:(现在我们是加入拉普拉斯平滑)


▌加入拉普拉斯平滑


我们先需要分别计算p(性格爆好|嫁)、p(长相帅|嫁)、p(身高高|嫁)、p(上进|嫁),p(嫁)


p(性格爆好|嫁)=?统计满足要求的如下面红色部分



没有一个满足是性格爆好的条件,但是此时概率不为0,按照加入拉普拉斯平滑后的公式,性格特征的个数为爆好,好,不好,三种情况,那么Sj为3,则最终概率为1/9 (嫁的个数为6+特征个数为3)



p(长相帅|嫁)=?统计满足条件的如下面红色部分:



由上图可知满足要求的为3个,按照加入拉普拉斯平滑后的公式,长相特征的个数为帅,不帅,两种情况,那么Sj为2,则最终概率p(长相帅|嫁)为4/8 (嫁的个数为6+特征个数为2)


p(身高高|嫁) = ?统计满足条件的如下面红色部分:



由上图可知满足要求的为3个,按照加入拉普拉斯平滑后的公式,身高特征的个数为高,中,矮情况,那么Sj为3,则最终概率p(身高高|嫁)为4/9 (嫁的个数为6+特征个数为3)


p(上进|嫁)=?统计满足要求的如下面红色部分:



由上图可知满足要求的为5个,按照加入拉普拉斯平滑后的公式,上进特征的个数为上进,不上进情况,那么Sj为2,则最终概率p(上进|嫁)为6/8 (嫁的个数为6+特征个数为2)


p(嫁) = ?满足要求的如下红色标注:



由上图可知满足要求的为6个,按照加入拉普拉斯平滑后的公式,种类的个数为嫁,不嫁情况,那么K为2,则最终概率p(嫁)为7/14 = 1/2 (嫁的个数为6+种类个数为2)


到这里为止,我们已经算出了在该男生条件下,嫁的概率为:


p(嫁|长相帅、性格爆好、身高高、上进) = 1/9*4/8*4/9*6/8*1/2


下面我们需要算出p(不嫁|长相帅、性格爆好、身高高、上进)的概率,然后与上面的数值进行比较即可,算法与上面完全一模一样!这里也走一遍。


我们需要估计出p(长相帅|不嫁)、p(性格爆好|不嫁)、p(身高高|不嫁)、p(上进|不嫁),p(不嫁)的概率分别为多少。


p(长相帅|不嫁)=?满足要求如下面红色标注:



由上图可知满足要求的为5个,按照加入拉普拉斯平滑后的公式,长相帅特征的个数为不帅,帅情况,那么Sj为2,则最终概率p(长相不帅|不嫁)为6/8 (不嫁的个数为6+特征个数为2)


p(性格爆好|不嫁)=?满足要求如下面红色标注:



没有一个满足是性格爆好的条件,但是此时概率不为0,按照加入拉普拉斯平滑后的公式,性格特征的个数为爆好,好,不好,三种情况,那么Sj为3,则最终概率p(性格爆好|不嫁)为1/9 (不嫁的个数为6+特征个数为3)


p(身高高|不嫁)=?满足要求如下面红色标注:



没有一个满足是身高高的条件,但是此时概率不为0,按照加入拉普拉斯平滑后的公式,身高特征的个数为高,中,矮,三种情况,那么Sj为3,则最终概率p(身高高|不嫁)为1/9 (不嫁的个数为6+特征个数为3)


p(上进|不嫁)=?满足要求如下面红色标注:



由上图可知满足要求的为3个,按照加入拉普拉斯平滑后的公式,上进特征的个数为上进,不上进情况,那么Sj为2,则最终概率p(上进|不嫁)为4/8 (不嫁的个数为6+特征个数为2)


p(不嫁)=?满足要求的如红色标注:



由上图可知满足要求的为6个,按照加入拉普拉斯平滑后的公式,种类的个数为嫁,不嫁情况,那么K为2,则最终概率p(不嫁)为7/14 = 1/2 (不嫁的个数为6+种类个数为2)


到这里为止,我们已经算出了在该男生条件下,不嫁的概率为:


p(不嫁|长相帅、性格爆好、身高高、上进) = 5/8*1/9*1/9*3/8*1/2


▌结论


于是我们可以得到


p(嫁|长相帅、性格爆好、身高高、上进) = 1/9*4/8*4/9*6/8*1/2 > p(不嫁|长相帅、性格爆好、身高高、上进) = 6/8*1/9*1/9*4/8*1/2


于是我们可以大胆的告诉女生,这样的好男人,贝叶斯告诉你了,该嫁!!!


这就是我们使用拉普拉斯平滑后计算的整个算法过程!


希望对大家的理解有帮助~欢迎大家指错交流!


参考:李航博士《统计学习方法》

算法杂货铺--分类算法之朴素贝叶斯分类(Naive Bayesian classification)

致谢:德川,皓宇,继豪,施琦



——【完】——

在线公开课NLP专场

周四精彩继续

时间:6月28日 20:00-21:00

扫描海报二维码,免费报名

添加微信csdnai,备注:公开课,加入课程交流群


点击 | 阅读原文 | 免费报名

登录查看更多
5

相关内容

朴素贝叶斯法是基于贝叶斯定理与特征条件独立假设的分类方法。对于给定的训练数据集,首先基于“特征条件独立”的假设学习输入/输出的联合概率分布。然后基于此模型,对给定输入x,利用贝叶斯定理求后验概率最大的y。 朴素贝叶斯实现简单,学习与预测的效率都很高,是一种常用的方法。
【实用书】学习用Python编写代码进行数据分析,103页pdf
专知会员服务
198+阅读 · 2020年6月29日
干货书《数据科学数学系基础》2020最新版,266页pdf
专知会员服务
323+阅读 · 2020年3月23日
机器学习速查手册,135页pdf
专知会员服务
345+阅读 · 2020年3月15日
【2020新书】简明机器学习导论,电子书与500页PPT
专知会员服务
204+阅读 · 2020年2月7日
从示例中理解SVM算法(附代码)
论智
9+阅读 · 2018年5月10日
一文读懂贝叶斯分类算法(附学习资源)
大数据文摘
12+阅读 · 2017年12月14日
独家 | 一文读懂贝叶斯分类算法(附学习资源)
数据派THU
7+阅读 · 2017年12月7日
【机器学习】从零开始入门机器学习算法实践
产业智能官
10+阅读 · 2017年12月1日
【深度】从朴素贝叶斯到维特比算法:详解隐马尔科夫模型
算法与数学之美
7+阅读 · 2017年11月25日
基于概率论的分类方法:朴素贝叶斯
Python开发者
8+阅读 · 2017年11月9日
朴素贝叶斯和贝叶斯网络算法及其R语言实现
R语言中文社区
10+阅读 · 2017年10月2日
详解基于朴素贝叶斯的情感分析及Python实现
AI研习社
9+阅读 · 2017年7月12日
Arxiv
5+阅读 · 2020年3月17日
A Modern Introduction to Online Learning
Arxiv
21+阅读 · 2019年12月31日
A General and Adaptive Robust Loss Function
Arxiv
8+阅读 · 2018年11月5日
The Matrix Calculus You Need For Deep Learning
Arxiv
12+阅读 · 2018年7月2日
VIP会员
相关资讯
从示例中理解SVM算法(附代码)
论智
9+阅读 · 2018年5月10日
一文读懂贝叶斯分类算法(附学习资源)
大数据文摘
12+阅读 · 2017年12月14日
独家 | 一文读懂贝叶斯分类算法(附学习资源)
数据派THU
7+阅读 · 2017年12月7日
【机器学习】从零开始入门机器学习算法实践
产业智能官
10+阅读 · 2017年12月1日
【深度】从朴素贝叶斯到维特比算法:详解隐马尔科夫模型
算法与数学之美
7+阅读 · 2017年11月25日
基于概率论的分类方法:朴素贝叶斯
Python开发者
8+阅读 · 2017年11月9日
朴素贝叶斯和贝叶斯网络算法及其R语言实现
R语言中文社区
10+阅读 · 2017年10月2日
详解基于朴素贝叶斯的情感分析及Python实现
AI研习社
9+阅读 · 2017年7月12日
Top
微信扫码咨询专知VIP会员