入门 | 今天是雾霾,明天是什么?马尔可夫链告诉你

2018 年 3 月 13 日 机器之心

选自towardsdatascience

作者:Devin Soni

机器之心编译

参与:Nurhachu Null、刘晓坤


什么是马尔可夫链?什么时候应该使用它们?它们是如何运作的?


马尔可夫链是一个相当常见、相当简单的对随机过程进行统计建模的方式。它们被应用在很多领域,从文本生成到金融建模。一个比较流行的例子是 SubredditSimulator,它使用马尔可夫链自动创建整个 subreddit 的内容。总之,马尔可夫链在概念上是非常直观,并且易于理解的,不使用任何高级的统计或者数学概念就可以实现。马尔可夫链是入门概率建模和数据科学技术的很好的开端。


简介


首先,我们用一个很常见的例子来描述它们:


试想有两种可能的天气状态:晴天或者阴天。你总是可以直接地观察当前的天气状态,而且保证是之前提及的两者之一。现在,你决定预测明天的天气。假设在这个过程中有一个潜在的转移,因为当前的天气会对第二天的天气状态有所影响。因此,作为一个敬业的人,你收集了几年的天气数据,然后计算得到阴天之后出现晴天的概率是 0.25。你还注意到,广泛地讲,阴天之后发生阴天的概率是 0.75,因为只有两种可能的天气状态。你现在可以利用这个分布,根据当地目前的天气状态去预测未来几天的天气。


这个例子描述了马尔可夫链的很多关键概念。马尔可夫链本质上是由一系列满足马尔可夫性质的转移组成,这些转换服从某种概率分布。


我们来观察一下在这个例子中,如何仅仅通过观察从当天到第二天的转换就得到概率分布。这其实说的就是马尔可夫性,即马尔可夫过程独有的让状态转移没有记忆的性质。这通常使它们无法成功地生成会出现某些期望潜在趋势的序列。例如,马尔可夫链可能根据词频来模仿一个作者的写作风格,但是它无法生成包含深层含义的文本或者蕴含某种主题意义的文本,因为这些文本都是基于更长的文本序列开发的。因此,它们缺乏生成语境相关内容的能力,因为它们无法考虑到之前的整条状态链。


天气预测例子的可视化


模型


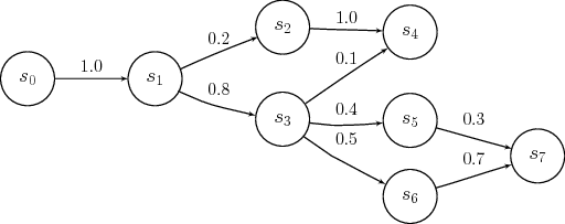
形式上,马尔可夫链是一个概率自动机。状态转移的概率分布通常表示为马尔可夫链的转移矩阵。如果马尔可夫链有 N 个可能的状态,那么这个转移矩阵就是 N*x*N 的矩阵,使得元素 (I, J) 代表从状态 I 转移到状态 J 的概率。此外,状态转移矩阵必须是随机矩阵,它的每一行元素之和必须是 1。这完全是能够讲得通的,因为每一行代表它自己的概率分布。


马尔可夫链的一般视图,圆圈代表状态,边代表转移。


具有三个可能状态的状态转移矩阵。


此外,马尔可夫链也会有一个初始状态向量,由一个 N x 1 的向量表示,用这个向量来描述从 N 个状态中的某个状态开始的概率分布。初始向量中的元素 I 代表该马尔可夫链从 I 状态开始的概率。


具有四个可能状态的初始向量。


这两个实体通常就是用来描述一个马尔可夫链所需的全部内容了。


我们知道如何获得从一个状态转移到另一个状态的可能性,但是如何知道经过多个步骤后发生转移的概率呢?为了将这个也形式化,我们现在要定义在 M 个步骤中从状态 I 转移到状态 J 的概率。事实证明,这是很容易的。给定一个状态转移矩阵 P,这可以通过计算矩阵 P 的 M 次幂中的元素 (I, J) 来决定。然而,对于 M 值比较大的情况,如果您对简单的线性代数比较熟悉,更有效的方法是先将矩阵对角化,然后再计算它的 M 次幂。


结论


既然你已经了解了马尔可夫链的基本知识,现在就应该能够用你选择的语言轻松地实现它们。如果你不擅长编程,还有许多更高级的马尔可夫链和马尔可夫过程的属性可以深入研究。在我看来,马尔可夫链沿着理论路线的自然发展将是隐马尔可夫过程或 MCMC(马尔可夫链蒙特卡罗)。简单的马尔可夫链是其他更复杂的建模技术的基本组成,因此,掌握了这些知识,你现在可以去尝试更多这种主题的技术,例如信念建模和采样。


原文链接:https://towardsdatascience.com/introduction-to-markov-chains-50da3645a50d



本文为机器之心编译,转载请联系本公众号获得授权

✄------------------------------------------------

加入机器之心(全职记者/实习生):hr@jiqizhixin.com

投稿或寻求报道:editor@jiqizhixin.com

广告&商务合作:bd@jiqizhixin.com

登录查看更多
0

相关内容

马尔可夫链,因安德烈·马尔可夫(A.A.Markov,1856-1922)得名,是指数学中具有马尔可夫性质的离散事件随机过程。该过程中,在给定当前知识或信息的情况下,过去(即当前以前的历史状态)对于预测将来(即当前以后的未来状态)是无关的。 在马尔可夫链的每一步,系统根据概率分布,可以从一个状态变到另一个状态,也可以保持当前状态。状态的改变叫做转移,与不同的状态改变相关的概率叫做转移概率。随机漫步就是马尔可夫链的例子。随机漫步中每一步的状态是在图形中的点,每一步可以移动到任何一个相邻的点,在这里移动到每一个点的概率都是相同的(无论之前漫步路径是如何的)。
一份简明有趣的Python学习教程,42页pdf
专知会员服务
77+阅读 · 2020年6月22日
最新《自动微分手册》77页pdf
专知会员服务
103+阅读 · 2020年6月6日
【新书册】贝叶斯神经网络,41页pdf
专知会员服务
180+阅读 · 2020年6月3日
机器学习速查手册,135页pdf
专知会员服务
345+阅读 · 2020年3月15日
强化学习和最优控制的《十个关键点》81页PPT汇总
专知会员服务
107+阅读 · 2020年3月2日
人工智能学习笔记,247页pdf
专知会员服务
187+阅读 · 2019年12月14日
我是怎么走上推荐系统这条(不归)路的……
全球人工智能
11+阅读 · 2019年4月9日
一文了解自然语言处理神经史
云栖社区
11+阅读 · 2018年12月2日
入门 | 什么是自注意力机制?
机器之心
17+阅读 · 2018年8月19日
干货 | 一文详解隐含狄利克雷分布(LDA)
人工智能头条
10+阅读 · 2018年7月8日
【干货】机器学习和深度学习概念入门(下)
机器学习研究会
6+阅读 · 2017年12月31日
干货 | 自然语言处理(1)之聊一聊分词原理
机器学习算法与Python学习
5+阅读 · 2017年12月7日
如何入门Python与机器学习 | 赠书
CSDN大数据
9+阅读 · 2017年11月12日
人工智能为什么看起来像人工智障?
大数据技术
6+阅读 · 2017年9月15日
Music Transformer
Arxiv
5+阅读 · 2018年12月12日
Arxiv
3+阅读 · 2018年5月28日
Arxiv
14+阅读 · 2018年5月15日
Arxiv
4+阅读 · 2018年5月10日
Arxiv
11+阅读 · 2018年4月25日
Arxiv
3+阅读 · 2018年2月24日
Arxiv
4+阅读 · 2018年1月29日
Arxiv
5+阅读 · 2018年1月16日
VIP会员
相关VIP内容
一份简明有趣的Python学习教程,42页pdf
专知会员服务
77+阅读 · 2020年6月22日
最新《自动微分手册》77页pdf
专知会员服务
103+阅读 · 2020年6月6日
【新书册】贝叶斯神经网络,41页pdf
专知会员服务
180+阅读 · 2020年6月3日
机器学习速查手册,135页pdf
专知会员服务
345+阅读 · 2020年3月15日
强化学习和最优控制的《十个关键点》81页PPT汇总
专知会员服务
107+阅读 · 2020年3月2日
人工智能学习笔记,247页pdf
专知会员服务
187+阅读 · 2019年12月14日
相关资讯
我是怎么走上推荐系统这条(不归)路的……
全球人工智能
11+阅读 · 2019年4月9日
一文了解自然语言处理神经史
云栖社区
11+阅读 · 2018年12月2日
入门 | 什么是自注意力机制?
机器之心
17+阅读 · 2018年8月19日
干货 | 一文详解隐含狄利克雷分布(LDA)
人工智能头条
10+阅读 · 2018年7月8日
【干货】机器学习和深度学习概念入门(下)
机器学习研究会
6+阅读 · 2017年12月31日
干货 | 自然语言处理(1)之聊一聊分词原理
机器学习算法与Python学习
5+阅读 · 2017年12月7日
如何入门Python与机器学习 | 赠书
CSDN大数据
9+阅读 · 2017年11月12日
人工智能为什么看起来像人工智障?
大数据技术
6+阅读 · 2017年9月15日
相关论文
Music Transformer
Arxiv
5+阅读 · 2018年12月12日
Arxiv
3+阅读 · 2018年5月28日
Arxiv
14+阅读 · 2018年5月15日
Arxiv
4+阅读 · 2018年5月10日
Arxiv
11+阅读 · 2018年4月25日
Arxiv
3+阅读 · 2018年2月24日
Arxiv
4+阅读 · 2018年1月29日
Arxiv
5+阅读 · 2018年1月16日
Top
微信扫码咨询专知VIP会员