学界 | 从泊松方程的解法,聊到泊松图像融合

2019 年 6 月 17 日 AI科技评论

经典图像融合算法解读。

AI 科技评论按,本文作者成指导,字节跳动算法工程师,本文首发于知乎(https://zhuanlan.zhihu.com/p/68349210),AI 科技评论获其授权转载,正文内容如下:

2004 年 SIGGRAPH 上,Microsoft Research UK 有篇经典的图像融合文章《Poisson Image Editing》。先看看其惊人的融合结果(非论文配图,本人实验结果):

这篇文章的实现,无关目前算法领域大火的神经网络,而是基于泊松方程推导得出。

泊松方程是什么?

很多朋友比较熟悉概率论里面的泊松分布。泊松方程,也是同一个数学家泊松发明的。但却和泊松分布没有什么关系,是泊松物理学领域提出的一个偏微分方程。

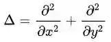
这里表示的是拉普拉斯算子, (在泊松方程中是已知量)可以是实数或复数值方程,特殊情况当时被称为拉普拉斯方程。当处于欧几里得空间时,拉普拉斯算子通常表示为

学习图像处理的朋友对于比较熟悉,分别表示二阶微分(直角坐标系下的散度)、一阶微分(直角坐标系下的梯度)。

微分与卷积

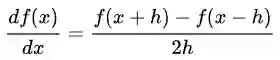
连续空间中的微分计算,就是大学里微积分那一套公式。但是在计算机的世界里,数据都是在离散空间中进行表示,对于图像而言,基本的计算单元就是像素点。让我们从最简单的情形,一维数组的微分说起:

 表示位置 x 一阶微分计算(一阶中心导):

 

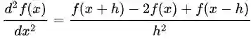
表示位置 x 二阶微分计算(二阶中心导): 

随着,上面的微分算式的结果会逐渐逼近真实的微分值。对于图像而言,这里 h 最小可分割单元是像素,也就表示像素间的间距,可视为 1。再看看,二阶微分的公式,是不是可以看成的卷积核在一维数组上进行卷积计算的结果(卷积中心在 x 上)。

至此,不难理解,离散数据(例如图像)上的微分操作完全可以转换为卷积操作。

当数组维度更高,变成二维数组呢?也就是处理图像的拉普拉斯算子: 

此时,卷积核尺寸应该是,具体数值为,称为拉普拉斯卷积核。

记住拉普拉斯卷积核,我们后面会用到。

泊松方程求解

这个时候,想想我们学会了什么?泊松方程的形式,以及拉普拉斯卷积核。

再想想,在图像场景下,什么是泊松方程的核心问题?

已知图像点二阶微分值(直角坐标系下即散度 div)的情况下,求解各个图像点的像素值。

一个简单的例子,假设有一张  的图像

表示各个位置上的图像像素值,共 16 个未知参数需要被求解。

应用拉普拉斯卷积核后,得到 4 个方程式:

4 个方程式求解出 16 个未知参数?这是不可能的。

因此,我们需要另加入至少 12 个更多的方程式,也就是说,需要把剩余 12 个边界点的值确定,即需要确定边界条件。边界一般符合 2 种常见的边界条件:

  • Neumann 边界,译为纽曼边界或黎曼边界,给出函数在边界处的二阶导数值;

  • Dirichlet 边界,狄利克雷边界,给出边界处函数在边界处的实际值。

但给定边界条件之后,就可以有 16 个方程式组成的方程组了,矩阵化表示此方程组之后,得到形式为  。

看到,大家就应该放松了,不就是解方程嘛,用雅可比迭代法或者高斯赛德尔迭代法来求解就 OK 了。

Poisson Image Editing

背景知识储备好了后,让我们把目光拉回到论文《Poisson Image Editing》上。

在图像融合任务中,前景放置在背景上时,需要保证两点:

  • 前景本身主要内容相比于背景而言,尽量平滑;

  • 边界处无缝,即前景、背景在边界点位置上的像素值,需要保持边界一致。

重点关注两个词:内容平滑、边界一致。平滑是什么?可以理解成图像前景、背景梯度相同。边界一致是指什么?可以理解成在边界上像素值相同。再用一张图来说明:

上图中 u 表示需要被合成的前景图片,V 是 u 的梯度场。S 是背景图片,  是合并后目标图像中被前景所覆盖的区域,则的边界。设合并后图像在 内的像素表示函数是 f,在 外的像素值表示函数是 

此时,平滑可表示为: ;保持边界一致可表示为: 。

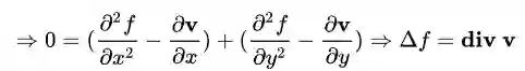
这里如果接触过泛函的朋友会比较开心,没接触过的朋友可以先看看欧拉-拉格朗日方程。

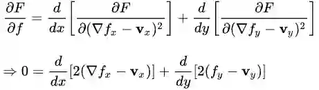
代入欧拉-拉格朗日方程后则有: 

注意:F 是 f 的函数,不是对 f 的,因此 


怎么样,看起来是不是一个泊松方程呢?当然,还差两步:

  • 因为需要平滑,div v 取值需要同时参考前景图片和背景图片,可以直接等于前景像素的散度,也可以在前景和背景在同一点像素的散度进行某种组合得到(论文中在 Selection cloning 和 Selection editing 章节有讨论各自合适的场景,但个人以为这里采取学习的方法应该更鲁棒,而不是用固定的策略来区分)。anyway,div v 是可以计算的已知量;

  • 因为需要保持边界一致,边界条件上像素值等于背景图片即可。当然也可以做一些策略,但同样也可以计算得到的已知量。

现在很轻松了,边界条件已知、散度已知,在离散空间中求解泊松方程中的 f,参考上一节的求解过程即可。

代码实现

函数代码已经收录在了 OpenCV 的官方函数 seamlessClone 里:github source code

使用的时候,需要三张图片:前景图、背景图、mask 图(指明前景图中需要融合的区域,最简单的就是直接等于前景图大小的 mask,待融合区域是白色,其余位置黑色)。

下面我们使用 OpenCV 的 Python 接口来动手试试,用到以下两张图以及一段代码:

foreground.jpg

background.jpg

import cv2import numpy as np# Read images : src image will be cloned into dstdst = cv2.imread("background.jpg")obj= cv2.imread("foreground.jpg")# Create an all white maskmask = 255 * np.ones(obj.shape, obj.dtype)# The location of the center of the src in the dstwidth, height, channels = im.shapecenter = (height/2, width/2)# Seamlessly clone src into dst and put the results in outputnormal_clone = cv2.seamlessClone(obj, dst, mask, center, cv2.NORMAL_CLONE)mixed_clone = cv2.seamlessClone(obj, dst, mask, center, cv2.MIXED_CLONE)# Write resultscv2.imwrite("images/opencv-normal-clone-example.jpg", normal_clone)cv2.imwrite("images/opencv-mixed-clone-example.jpg", mixed_clone)

最终效果如下:

End

2019 全球人工智能与机器人峰会

2019 年 7 月 12 日至 14 日,由中国计算机学会(CCF)主办、雷锋网和香港中文大学(深圳)联合承办,深圳市人工智能与机器人研究院协办的 2019 全球人工智能与机器人峰会(简称 CCF-GAIR 2019)将于深圳正式启幕。

届时,诺贝尔奖得主JamesJ. Heckman、中外院士、世界顶会主席、知名Fellow,多位重磅嘉宾将亲自坐阵,一起探讨人工智能和机器人领域学、产、投等复杂的生存态势。

 点击阅读原文查看:300篇 CVPR 2019 Oral 论文精选汇总,值得一看的 CV 论文都在这里(持续更新中)

登录查看更多
5

相关内容

非凸优化与统计学,89页ppt,普林斯顿Yuxin Chen博士
专知会员服务
104+阅读 · 2020年6月28日
【ICLR2020】图神经网络与图像处理,微分方程,27页ppt
专知会员服务
48+阅读 · 2020年6月6日
自回归模型:PixelCNN
专知会员服务
27+阅读 · 2020年3月21日
【BAAI|2019】用深度学习模拟原子间势,王涵  (附pdf)
专知会员服务
18+阅读 · 2019年11月21日
特征方程的物理意义
算法与数学之美
6+阅读 · 2019年5月13日
Self-Attention GAN 中的 self-attention 机制
PaperWeekly
12+阅读 · 2019年3月6日
从信息瓶颈理论一瞥机器学习的“大一统理论”
【学界】基于生成对抗网络的低秩图像生成方法
GAN生成式对抗网络
9+阅读 · 2018年7月13日
“噪声对比估计”杂谈:曲径通幽之妙
PaperWeekly
6+阅读 · 2018年6月15日
从贝叶斯理论到图像马尔科夫随机场
人工智能头条
6+阅读 · 2018年5月1日
从最大似然到EM算法:一致的理解方式
PaperWeekly
19+阅读 · 2018年3月19日
【原理】GAN的数学原理
GAN生成式对抗网络
8+阅读 · 2017年8月30日
Arxiv
6+阅读 · 2018年5月22日
Arxiv
3+阅读 · 2018年5月20日
Arxiv
6+阅读 · 2018年4月4日
VIP会员
相关资讯
特征方程的物理意义
算法与数学之美
6+阅读 · 2019年5月13日
Self-Attention GAN 中的 self-attention 机制
PaperWeekly
12+阅读 · 2019年3月6日
从信息瓶颈理论一瞥机器学习的“大一统理论”
【学界】基于生成对抗网络的低秩图像生成方法
GAN生成式对抗网络
9+阅读 · 2018年7月13日
“噪声对比估计”杂谈:曲径通幽之妙
PaperWeekly
6+阅读 · 2018年6月15日
从贝叶斯理论到图像马尔科夫随机场
人工智能头条
6+阅读 · 2018年5月1日
从最大似然到EM算法:一致的理解方式
PaperWeekly
19+阅读 · 2018年3月19日
【原理】GAN的数学原理
GAN生成式对抗网络
8+阅读 · 2017年8月30日
Top
微信扫码咨询专知VIP会员