泥石流侵蚀机理研究获进展

2017 年 10 月 17 日 中科院之声

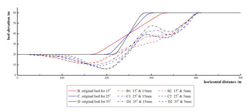
沟道纵剖面形态对泥石流侵蚀机理有重要影响。根据沟道纵剖面坡度是否均一,沟道形态可分为三种:均一坡度沟道、凹形沟道和凸形沟道。现有的泥石流侵蚀理论大多基于无限边坡模型,即认为坡度是不变的。实际中,沟道纵剖面的形态对泥石流侵蚀有着重要影响。比如,汶川地震灾区的文家沟泥石流,在纵剖面转折点处的侵蚀深度远超过其他部位。

针对上述问题,中国科学院成都山地灾害与环境研究所山地灾害重点实验室胡凯衡研究团队在泥石流侵蚀机理研究上取得了新进展,提出了考虑沟道纵剖面凹凸形态影响的泥石流侵蚀率新公式。

通过开展野外实地考察和室内水槽试验,研究团队发现泥石流沟道中存在两种典型的侵蚀方式:剪切侵蚀和冲击侵蚀,前者以层与层之间的剪切力为侵蚀动力,后者表现为泥石流体与底床的正面冲击效应。由此通过推导,得到非均匀坡沟道中泥石流侵蚀率计算公式:。该研究用一个曲率半径的函数来刻画沟道纵剖面形态变化对侵蚀的影响,并将冲击侵蚀项加入非均匀坡沟道中泥石流侵蚀率计算中。

研究成果发表在 Journal of Mountain Science Journal of Hydraulic Research 上。研究工作得到了国家自然科学基金、中科院重点部署项目和科技部973项目等的支持。


泥石流侵蚀机理实验装置和示意图


三种转折形态下的侵蚀机理示意图


不同纵剖面形态下的泥石流侵蚀深度变化


来源:中国科学院成都山地灾害与环境研究所



登录查看更多
0

相关内容

深度学习可解释性研究进展
专知会员服务
103+阅读 · 2020年6月26日
大数据安全技术研究进展
专知会员服务
96+阅读 · 2020年5月2日
基于深度学习的多标签生成研究进展
专知会员服务
147+阅读 · 2020年4月25日
【中国人民大学】机器学习的隐私保护研究综述
专知会员服务
133+阅读 · 2020年3月25日
基于深度学习的行人重识别研究进展,自动化学报
专知会员服务
39+阅读 · 2019年12月5日
零样本图像分类综述 : 十年进展
专知会员服务
128+阅读 · 2019年11月16日
自动机器学习:最新进展综述
专知会员服务
124+阅读 · 2019年10月13日
已删除
将门创投
5+阅读 · 2019年4月15日
人脸识别研究取得进展
中科院之声
4+阅读 · 2019年3月26日
对比激光SLAM与视觉SLAM:谁会成为未来主流趋势?
人工智能学家
8+阅读 · 2018年11月13日
国内外泌体领域进展总结(2018年8月)
外泌体之家
12+阅读 · 2018年9月6日
未来人类会关注可解释性吗?
待字闺中
5+阅读 · 2018年8月9日
AI综述专栏|多模态学习研究进展综述
人工智能前沿讲习班
64+阅读 · 2018年7月13日
微表情检测和识别的研究进展与趋势
中国计算机学会
15+阅读 · 2018年3月23日
心理学与脑科学:进展、思考和展望
科技导报
9+阅读 · 2017年10月27日
基于深度学习的肿瘤图像分割研究取得进展
中科院之声
17+阅读 · 2017年9月17日
Optimization for deep learning: theory and algorithms
Arxiv
106+阅读 · 2019年12月19日
VIP会员
相关VIP内容
深度学习可解释性研究进展
专知会员服务
103+阅读 · 2020年6月26日
大数据安全技术研究进展
专知会员服务
96+阅读 · 2020年5月2日
基于深度学习的多标签生成研究进展
专知会员服务
147+阅读 · 2020年4月25日
【中国人民大学】机器学习的隐私保护研究综述
专知会员服务
133+阅读 · 2020年3月25日
基于深度学习的行人重识别研究进展,自动化学报
专知会员服务
39+阅读 · 2019年12月5日
零样本图像分类综述 : 十年进展
专知会员服务
128+阅读 · 2019年11月16日
自动机器学习:最新进展综述
专知会员服务
124+阅读 · 2019年10月13日
相关资讯
已删除
将门创投
5+阅读 · 2019年4月15日
人脸识别研究取得进展
中科院之声
4+阅读 · 2019年3月26日
对比激光SLAM与视觉SLAM:谁会成为未来主流趋势?
人工智能学家
8+阅读 · 2018年11月13日
国内外泌体领域进展总结(2018年8月)
外泌体之家
12+阅读 · 2018年9月6日
未来人类会关注可解释性吗?
待字闺中
5+阅读 · 2018年8月9日
AI综述专栏|多模态学习研究进展综述
人工智能前沿讲习班
64+阅读 · 2018年7月13日
微表情检测和识别的研究进展与趋势
中国计算机学会
15+阅读 · 2018年3月23日
心理学与脑科学:进展、思考和展望
科技导报
9+阅读 · 2017年10月27日
基于深度学习的肿瘤图像分割研究取得进展
中科院之声
17+阅读 · 2017年9月17日
Top
微信扫码咨询专知VIP会员