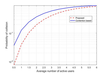
In this paper, we propose a novel scheme called subband random sensing (SRS) grant free uplink for ultra-reliable low-latency communication (URLLC) in unlicensed spectrum. The SRS grant free uplink creatively combines the subband sensing, user grouping and random access, which allows a user sensing the unlicensed spectrum to use available sub-resources in a wideband and reduce collisions with other users. The new scheme overcomes the severe spectrum wastage problem of the semi-persistent scheduling (SPS) uplink adopted by new radio (NR) release 16 in applications with sporadic traffic. Compared with the contention based grant free uplink, the new scheme achieves much lower collision probability, which directly leads to higher reliability. Analysis and simulations are provided to prove the exceptional performances.


翻译:在本文中,我们提出了一个新颖的计划,名为子波段随机感测(SRS)为无许可证频谱中的超可信任低纬度通信(URLLC)提供免费上链路,SRS提供免费上链路,创造性地将子波段感测、用户分组和随机访问结合起来,让用户感测无许可证频谱,使用宽频带的现有子资源,并减少与其他用户的碰撞。新计划克服了新电台(NR)在零星交通应用中发布的第16个半持久性上链路(SPS)的严重频谱浪费问题。与基于争议的免费上链路相比,新计划实现了低得多的碰撞概率概率,直接导致更高的可靠性。提供了分析和模拟,以证明异常的性能。

0
下载
关闭预览

相关内容

最新《图理论》笔记书,98页pdf
专知会员服务
76+阅读 · 2020年12月27日
【2020新书】Web应用安全,331页pdf
专知会员服务
25+阅读 · 2020年10月24日
Linux导论,Introduction to Linux,96页ppt
专知会员服务
82+阅读 · 2020年7月26日
Fariz Darari简明《博弈论Game Theory》介绍,35页ppt
专知会员服务
112+阅读 · 2020年5月15日
Keras François Chollet 《Deep Learning with Python 》, 386页pdf
专知会员服务
162+阅读 · 2019年10月12日
CCF C类 | DSAA 2019 诚邀稿件
Call4Papers
6+阅读 · 2019年5月13日
已删除
将门创投
3+阅读 · 2019年4月25日
【今日新增】IEEE Trans.专刊截稿信息8条
Call4Papers
7+阅读 · 2017年6月29日
Arxiv
0+阅读 · 2021年11月15日
Arxiv
8+阅读 · 2018年11月27日
VIP会员
相关资讯
CCF C类 | DSAA 2019 诚邀稿件
Call4Papers
6+阅读 · 2019年5月13日
已删除
将门创投
3+阅读 · 2019年4月25日
【今日新增】IEEE Trans.专刊截稿信息8条
Call4Papers
7+阅读 · 2017年6月29日
Top
微信扫码咨询专知VIP会员