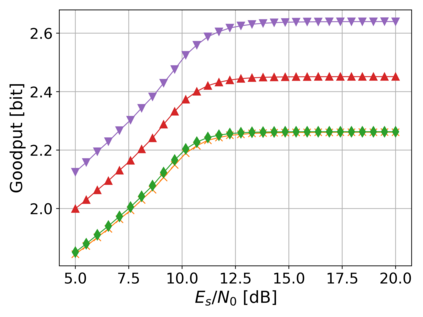
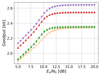
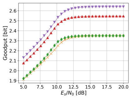
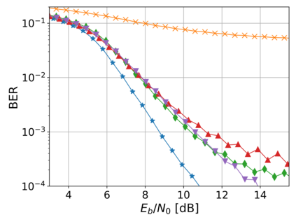
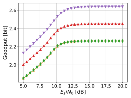
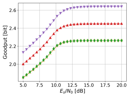
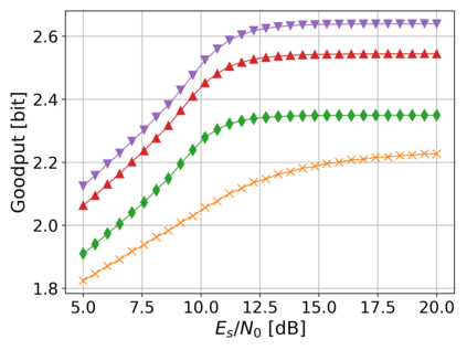
Orthogonal frequency division multiplexing (OFDM) is one of the dominant waveforms in wireless communication systems due to its efficient implementation. However, it suffers from a loss of spectral efficiency as it requires a cyclic prefix (CP) to mitigate inter-symbol interference (ISI) and pilots to estimate the channel. We propose in this work to address these drawbacks by learning a neural network (NN)-based receiver jointly with a constellation geometry and bit labeling at the transmitter, that allows CP-less and pilotless communication on top of OFDM without a significant loss in bit error rate (BER). Our approach enables at least 18% throughput gains compared to a pilot and CP-based baseline, and at least 4% gains compared to a system that uses a neural receiver with pilots but no CP.


翻译:由于无线通信系统的高效实施,矫形频率分解多氧化(OFDM)是无线通信系统的主要波形之一,但是,光谱效率也丧失,因为它需要一个圆形前缀(CP)来减少相互符号干扰(ISI)和飞行员来估计频道。我们在此工作中建议,通过学习一个神经网络接收器和发射机的星座几何和位标签来消除这些缺陷,使光谱通信系统之上的无CP-无引导通信不发生重大误差率(BER)损失。我们的方法使得与试点和CP基基线相比,至少能够取得18%的吞吐量收益,与使用有飞行员但没有CP的神经接收器的系统相比,至少能够取得4%的收益。

0
下载
关闭预览

相关内容

这是第25届年度会议,讨论有约束计算的所有方面,包括理论、算法、环境、语言、模型、系统和应用,如决策、资源分配、调度、配置和规划。为了纪念25周年,吉恩·弗洛伊德创作了一本“虚拟卷”来庆祝这个系列会议。信息可以在这里找到。约束编程协会有本系列中以前的会议列表。CP 2019计划将包括展示关于约束技术的高质量科学论文。除了通常的技术轨道外,CP 2019年会议还将有主题轨道。每个赛道都有一个专门的小组委员会,以确保有能力的评审员将审查这些领域的人提交的论文。 官网链接:https://cp2019.a4cp.org/index.html
知识图谱推理,50页ppt,Salesforce首席科学家Richard Socher
专知会员服务
111+阅读 · 2020年6月10日
商业数据分析,39页ppt
专知会员服务
165+阅读 · 2020年6月2日
Stabilizing Transformers for Reinforcement Learning
专知会员服务
60+阅读 · 2019年10月17日
Keras François Chollet 《Deep Learning with Python 》, 386页pdf
专知会员服务
162+阅读 · 2019年10月12日
MIT新书《强化学习与最优控制》
专知会员服务
281+阅读 · 2019年10月9日
已删除
将门创投
4+阅读 · 2017年12月5日
Arxiv
7+阅读 · 2018年12月26日
Arxiv
19+阅读 · 2018年3月28日
VIP会员
相关VIP内容
相关资讯
已删除
将门创投
4+阅读 · 2017年12月5日
Top
微信扫码咨询专知VIP会员