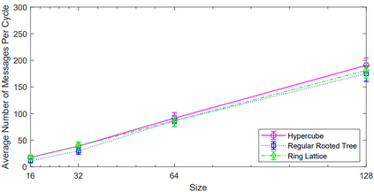
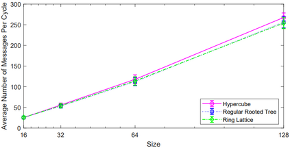
Decentralized cryptocurrency systems, known as blockchains, have shown promise as infrastructure for mutually distrustful parties to agree on transactions safely. However, Bitcoin-derived blockchains and their variants suffer from the limitations of the CAP Trilemma, which is difficult to be solved through optimizing consensus protocols. Moreover, the P2P network of blockchains have problems in efficiency and reliability without considering the matching of physical and logical topologies. For the CAP Trilemma in consortium blockchains, we propose a physical topology based on the multi-dimensional hypercube with excellent partition tolerance in probability. On the other hand, the general hypercube has advantages in solving the mismatch problems in P2P networks. The general topology is further extended to a hierarchical recursive topology with more medium links or short links to balance the reliability requirements and the costs of physical network. We prove that the hypercube topology has better partition tolerance than the regular rooted tree topology and the ring lattice topology, and effectively fits the upper-layer protocols. As a result, blockchains constructed by the proposed topology can reach the CAP guarantee bound through adopting the proper transmission and the consensus protocols protocols that have strong consistency and availability.


翻译:P2P块链网络在效率和可靠性方面存在问题,而没有考虑物理和逻辑地形的匹配问题。CAP Trilemmma在财团块链中,我们建议基于多维超立方体的物理地形学,并有极好的分区容容度。另一方面,一般超立方体在解决P2P网络不匹配问题方面具有优势。一般地形学进一步扩展至等级递归性表层,具有较中等的链接或短的链接,以平衡可靠性要求和物理网络的成本。我们证明超立方体表层比正常的根树表层和拉蒂表层表层的分隔容度要好,并有效地符合上层协议。结果是,由拟议的顶立方体构建的路障能够通过适当的传输协议和协议达到严格的可获取性。

0
下载
关闭预览

相关内容

CAP原则又称CAP定理,指的是在一个分布式系统中,Consistency(一致性)、 Availability(可用性)、Partition tolerance(分区容错性),三者不可得兼。
专知会员服务
38+阅读 · 2021年10月19日
专知会员服务
36+阅读 · 2021年10月17日
专知会员服务
23+阅读 · 2021年9月27日
【Cell】神经算法推理,Neural algorithmic reasoning
专知会员服务
29+阅读 · 2021年7月16日
MIT新书《强化学习与最优控制》
专知会员服务
281+阅读 · 2019年10月9日
计算机类 | PLDI 2020等国际会议信息6条
Call4Papers
3+阅读 · 2019年7月8日
Hierarchically Structured Meta-learning
CreateAMind
27+阅读 · 2019年5月22日
CCF A类 | 顶级会议RTSS 2019诚邀稿件
Call4Papers
10+阅读 · 2019年4月17日
强化学习的Unsupervised Meta-Learning
CreateAMind
18+阅读 · 2019年1月7日
人工智能 | PRICAI 2019等国际会议信息9条
Call4Papers
6+阅读 · 2018年12月13日
计算机类 | SIGMETRICS 2019等国际会议信息7条
Call4Papers
9+阅读 · 2018年10月23日
计算机 | CCF推荐会议信息10条
Call4Papers
5+阅读 · 2018年10月18日
CCF B类期刊IPM专刊截稿信息1条
Call4Papers
3+阅读 · 2018年10月11日
【计算机类】期刊专刊/国际会议截稿信息6条
Call4Papers
3+阅读 · 2017年10月13日
【今日新增】IEEE Trans.专刊截稿信息8条
Call4Papers
7+阅读 · 2017年6月29日
Arxiv
0+阅读 · 2021年10月27日
PI$^2$ Parameters
Arxiv
0+阅读 · 2021年10月27日
Arxiv
0+阅读 · 2021年10月27日
Arxiv
0+阅读 · 2021年10月26日
VIP会员
相关VIP内容
专知会员服务
38+阅读 · 2021年10月19日
专知会员服务
36+阅读 · 2021年10月17日
专知会员服务
23+阅读 · 2021年9月27日
【Cell】神经算法推理,Neural algorithmic reasoning
专知会员服务
29+阅读 · 2021年7月16日
MIT新书《强化学习与最优控制》
专知会员服务
281+阅读 · 2019年10月9日
相关资讯
计算机类 | PLDI 2020等国际会议信息6条
Call4Papers
3+阅读 · 2019年7月8日
Hierarchically Structured Meta-learning
CreateAMind
27+阅读 · 2019年5月22日
CCF A类 | 顶级会议RTSS 2019诚邀稿件
Call4Papers
10+阅读 · 2019年4月17日
强化学习的Unsupervised Meta-Learning
CreateAMind
18+阅读 · 2019年1月7日
人工智能 | PRICAI 2019等国际会议信息9条
Call4Papers
6+阅读 · 2018年12月13日
计算机类 | SIGMETRICS 2019等国际会议信息7条
Call4Papers
9+阅读 · 2018年10月23日
计算机 | CCF推荐会议信息10条
Call4Papers
5+阅读 · 2018年10月18日
CCF B类期刊IPM专刊截稿信息1条
Call4Papers
3+阅读 · 2018年10月11日
【计算机类】期刊专刊/国际会议截稿信息6条
Call4Papers
3+阅读 · 2017年10月13日
【今日新增】IEEE Trans.专刊截稿信息8条
Call4Papers
7+阅读 · 2017年6月29日
Top
微信扫码咨询专知VIP会员