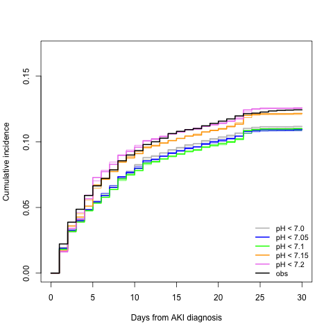
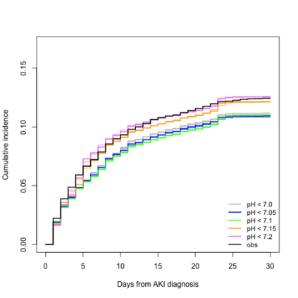
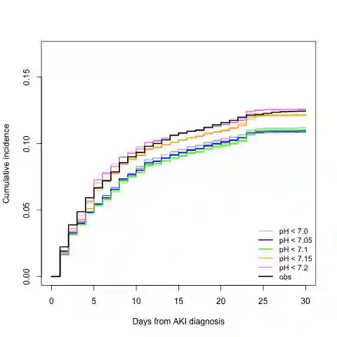
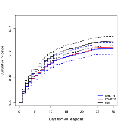
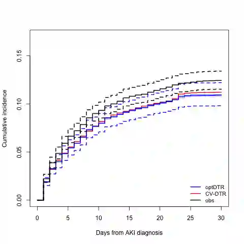
The optimal moment to start renal replacement therapy in a patient with acute kidney injury (AKI) remains a challenging problem in intensive care nephrology. Multiple randomised controlled trials have tried to answer this question, but these can, by definition, only analyse a limited number of treatment initiation strategies. In view of this, we use routinely collected observational data from the Ghent University Hospital intensive care units (ICUs) to investigate different pre-specified timing strategies for renal replacement therapy initiation based on time-updated levels of serum potassium, pH and fluid balance in critically ill patients with AKI with the aim to minimize 30-day ICU mortality. For this purpose, we apply statistical techniques for evaluating the impact of specific dynamic treatment regimes in the presence of ICU discharge as a competing event. We discuss two approaches, a non-parametric one - using an inverse probability weighted Aalen-Johansen estimator - and a semiparametric one - using dynamic-regime marginal structural models. Furthermore, we suggest an easy to implement cross-validation technique that can be used for the out-of-sample performance assessment of the optimal dynamic treatment regime. Our work illustrates the potential of data-driven medical decision support based on routinely collected observational data.


翻译:在急性肾损伤患者(AKI)开始肾脏重置疗法的最佳时机仍然是重症监护肾脏病患者的一个棘手问题。多重随机控制的试验试图回答这个问题,但根据定义,这些试验只能分析数量有限的治疗启动战略。有鉴于此,我们使用从根特大学医院医院重症护理单位(ICUs)定期收集的观察数据,调查基于时间更新的血清钾、pH值和患有AKI重病病人的液体平衡而启动肾脏替代疗法的不同预定时间战略,以便尽量减少30天的ICU死亡率。为此目的,我们运用统计技术评估特定动态治疗制度在ICU出院时作为相互竞争的事件的影响。我们讨论两种方法,一种非参数方法,即使用反概率加权的Aalen-Johansen估计器,一种半参数,使用动态边缘结构模型。此外,我们建议易于采用交叉验证技术,用于外部观测,以便尽可能减少ICU的死亡率。我们用统计技术来评估特定动态治疗制度的影响。我们讨论了一种非参数方法,即使用一种不合理偏差的Aalen-Johansen estat estal atestal dromagration production sal pal productioning.

0
下载
关闭预览

相关内容

不可错过!《机器学习100讲》课程,UBC Mark Schmidt讲授
专知会员服务
76+阅读 · 2022年6月28日
强化学习最新教程,17页pdf
专知会员服务
182+阅读 · 2019年10月11日
机器学习入门的经验与建议
专知会员服务
94+阅读 · 2019年10月10日
【哈佛大学商学院课程Fall 2019】机器学习可解释性
专知会员服务
105+阅读 · 2019年10月9日
AIART 2022 Call for Papers
CCF多媒体专委会
1+阅读 · 2022年2月13日
【ICIG2021】Check out the hot new trailer of ICIG2021 Symposium9
中国图象图形学学会CSIG
0+阅读 · 2021年12月17日
【ICIG2021】Check out the hot new trailer of ICIG2021 Symposium7
中国图象图形学学会CSIG
0+阅读 · 2021年11月15日
【ICIG2021】Check out the hot new trailer of ICIG2021 Symposium6
中国图象图形学学会CSIG
2+阅读 · 2021年11月12日
【ICIG2021】Check out the hot new trailer of ICIG2021 Symposium4
中国图象图形学学会CSIG
0+阅读 · 2021年11月10日
【ICIG2021】Check out the hot new trailer of ICIG2021 Symposium3
中国图象图形学学会CSIG
0+阅读 · 2021年11月9日
【ICIG2021】Check out the hot new trailer of ICIG2021 Symposium2
中国图象图形学学会CSIG
0+阅读 · 2021年11月8日
【ICIG2021】Check out the hot new trailer of ICIG2021 Symposium1
中国图象图形学学会CSIG
0+阅读 · 2021年11月3日
Hierarchically Structured Meta-learning
CreateAMind
27+阅读 · 2019年5月22日
A Technical Overview of AI & ML in 2018 & Trends for 2019
待字闺中
18+阅读 · 2018年12月24日
国家自然科学基金
0+阅读 · 2015年12月31日
国家自然科学基金
0+阅读 · 2013年12月31日
国家自然科学基金
0+阅读 · 2011年12月31日
Local search for efficient causal effect estimation
Arxiv
0+阅读 · 2022年7月22日
VIP会员
相关资讯
AIART 2022 Call for Papers
CCF多媒体专委会
1+阅读 · 2022年2月13日
【ICIG2021】Check out the hot new trailer of ICIG2021 Symposium9
中国图象图形学学会CSIG
0+阅读 · 2021年12月17日
【ICIG2021】Check out the hot new trailer of ICIG2021 Symposium7
中国图象图形学学会CSIG
0+阅读 · 2021年11月15日
【ICIG2021】Check out the hot new trailer of ICIG2021 Symposium6
中国图象图形学学会CSIG
2+阅读 · 2021年11月12日
【ICIG2021】Check out the hot new trailer of ICIG2021 Symposium4
中国图象图形学学会CSIG
0+阅读 · 2021年11月10日
【ICIG2021】Check out the hot new trailer of ICIG2021 Symposium3
中国图象图形学学会CSIG
0+阅读 · 2021年11月9日
【ICIG2021】Check out the hot new trailer of ICIG2021 Symposium2
中国图象图形学学会CSIG
0+阅读 · 2021年11月8日
【ICIG2021】Check out the hot new trailer of ICIG2021 Symposium1
中国图象图形学学会CSIG
0+阅读 · 2021年11月3日
Hierarchically Structured Meta-learning
CreateAMind
27+阅读 · 2019年5月22日
A Technical Overview of AI & ML in 2018 & Trends for 2019
待字闺中
18+阅读 · 2018年12月24日
相关基金
国家自然科学基金
0+阅读 · 2015年12月31日
国家自然科学基金
0+阅读 · 2013年12月31日
国家自然科学基金
0+阅读 · 2011年12月31日
Top
微信扫码咨询专知VIP会员