最新《自动微分手册》77页pdf

2020 年 6 月 6 日 专知

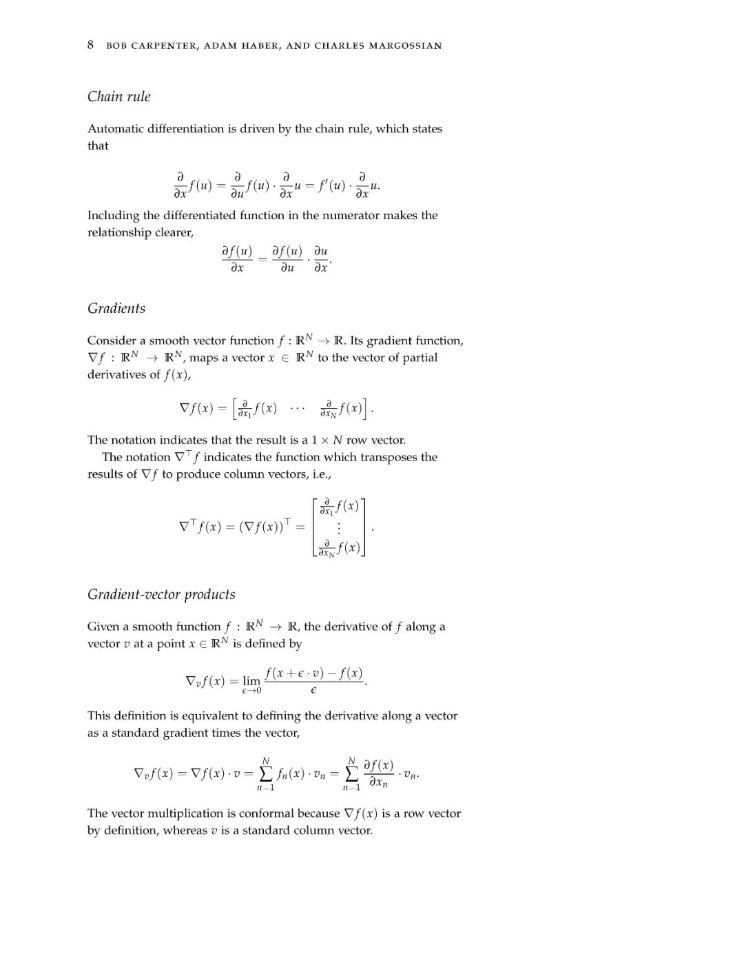
这本书的目标是介绍自动微分的基本算法,以及流行的数学和统计函数的自动微分规则的百科全书式的集合。


自动微分是一种通用的技术,用于将函数的计算值转换为可计算导数的值。导数计算只给用于计算函数值的每个操作增加一个常数的开销,因此可微函数与原始函数具有相同的复杂度阶数。在描述了自动微分的标准形式之后,这本书提供了一个百科全书收集的正切和伴随规则的前向模式和后向模式自动微分,涵盖了最广泛使用的标量,向量,矩阵和概率函数。附录包含正向模式、反向模式和混合模式自动区分的工作示例代码。


https://github.com/bob-carpenter/ad-handbook


专知便捷查看

便捷下载,请关注专知公众号(点击上方蓝色专知关注)

  • 后台回复“AD77” 可以获取《最新《自动微分手册》77页pdf》专知下载链接索引

专知,专业可信的人工智能知识分发,让认知协作更快更好!欢迎注册登录专知www.zhuanzhi.ai,获取5000+AI主题干货知识资料!
欢迎微信扫一扫加入专知人工智能知识星球群,获取最新AI专业干货知识教程资料和与专家交流咨询
点击“阅读原文”,了解使用专知,查看获取5000+AI主题知识资源
登录查看更多
0

相关内容

在数学和计算机代数中,自动微分有时称作演算式微分,是一种可以借由计算机程序计算一个函数导数的方法。两种传统做微分的方法为:(1)对一个函数的表示式做符号上的微分,并且计算其在某一点上的值。(2)使用差分。使用符号微分最主要的缺点是速度慢及将计算机程序转换成表示式的困难。此外,很多函数在要计算更高阶微分时会变得复杂。 使用差分的两个重要的缺点是舍弃误差及数值化过程和相消误差。此两者传统方法在计算更高阶微分时,都有复杂度及误差增加的问题。自动微分则解决上述的问题。
【干货书】管理统计和数据科学原理,678页pdf
专知会员服务
186+阅读 · 2020年7月29日
【干货书】图形学基础,427页pdf
专知会员服务
151+阅读 · 2020年7月12日
【2020新书】实战R语言4,323页pdf
专知会员服务
102+阅读 · 2020年7月1日
一份简明有趣的Python学习教程,42页pdf
专知会员服务
77+阅读 · 2020年6月22日
【实用书】Python技术手册,第三版767页pdf
专知会员服务
240+阅读 · 2020年5月21日
干货书《数据科学数学系基础》2020最新版,266页pdf
专知会员服务
325+阅读 · 2020年3月23日
《迁移学习简明手册》,93页pdf
专知会员服务
137+阅读 · 2019年12月9日
最新《动态网络嵌入》综述论文,25页pdf
专知
37+阅读 · 2020年6月17日
经典书《斯坦福大学-多智能体系统》532页pdf
【初学者指南】神经网络中的数学
专知
33+阅读 · 2019年12月16日
Learning to See Through Obstructions
Arxiv
7+阅读 · 2020年4月2日
On Feature Normalization and Data Augmentation
Arxiv
15+阅读 · 2020年2月25日
Arxiv
112+阅读 · 2020年2月5日
Optimization for deep learning: theory and algorithms
Arxiv
106+阅读 · 2019年12月19日
Sparse Sequence-to-Sequence Models
Arxiv
5+阅读 · 2019年5月14日
Arxiv
3+阅读 · 2018年4月10日
VIP会员
相关VIP内容
【干货书】管理统计和数据科学原理,678页pdf
专知会员服务
186+阅读 · 2020年7月29日
【干货书】图形学基础,427页pdf
专知会员服务
151+阅读 · 2020年7月12日
【2020新书】实战R语言4,323页pdf
专知会员服务
102+阅读 · 2020年7月1日
一份简明有趣的Python学习教程,42页pdf
专知会员服务
77+阅读 · 2020年6月22日
【实用书】Python技术手册,第三版767页pdf
专知会员服务
240+阅读 · 2020年5月21日
干货书《数据科学数学系基础》2020最新版,266页pdf
专知会员服务
325+阅读 · 2020年3月23日
《迁移学习简明手册》,93页pdf
专知会员服务
137+阅读 · 2019年12月9日
Top
微信扫码咨询专知VIP会员