张益唐被曝已证明黎曼猜想相关问题,震动数学界

2022 年 10 月 16 日 量子位
金磊 Alex 发自 凹非寺
量子位 | 公众号 QbitAI

Breaking News!

网传数学家张益唐,已经攻克了朗道-西格尔零点猜想(Landau-Siegel Zeros Conjecture)。

而这则消息,据说是张益唐在参加北京大学校友Zoom线上会议时亲口所述。

如此爆料,可谓是在数学界轰动不已。

微博博主“物理芝士数学酱”认为,如果张益唐所证明的是朗道-西格尔零点存在,那么黎曼猜想就可以死了:

张益唐直接就是前后50年里最伟大的数学家,没有之一。

但与此同时,他认为“这就过于骇人听闻”,因此他更倾向于认为张益唐所证明的,是朗道-西格尔零点不存在——“这也是更令人信服的结论”。

但这项工作的价值可以说是毋庸置疑,正如知乎网友爆料所述:

张益唐要是能把Landau-Siegel做出来,就相当于一个人被闪电击中两次。

并且根据这条爆料消息来看,相关文章将会在11月初发到预印本网站,一百多页。

那么这个朗道-西格尔零点猜想到底是什么?

对它的证明,又为何会引发如此反响?

朗道-西格尔零点猜想

所谓朗道-西格尔零点猜想,简单来说就是黎曼猜想的某种弱形式。

核心要回答的一个问题就是:是否存在一个叫做朗道-西格尔零点的东西。

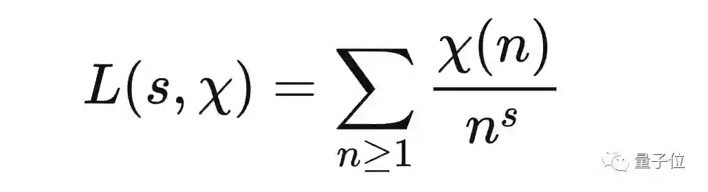
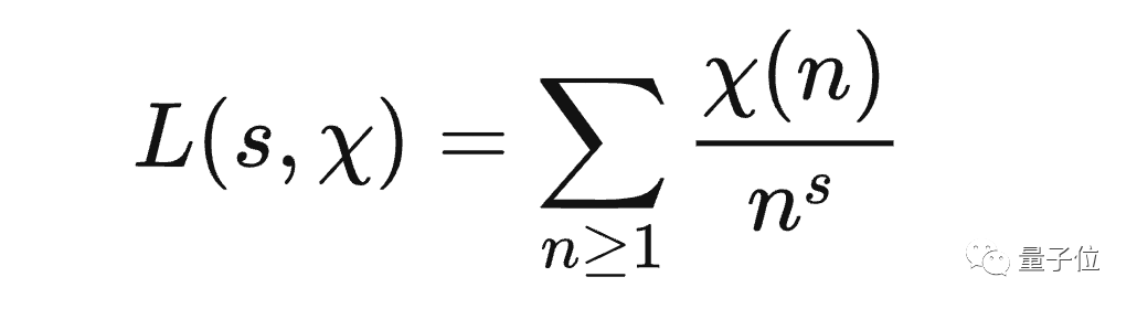
首先我们设实数σ,t和复数s=σ+it。

根据知乎博主“TravorLZH”的介绍,十九世纪的数学家为了研究素数分布引入了黎曼猜想。

而为了研究等差数列上的素数分布,数学家Dirichlet引入了L函数。

再后来,数学家也发展出了对应的解析工具来说明L函数在σ=1时无零点,从而证明了等差数列上的素数定理:

但对于上面的公式,数学家们依旧是不满意,他们还要继续缩减L函数的非平凡零点的存在区域。

于是前人证明了L函数的非平凡零点基本上都能落在类似于下面公式中的沙漏型的区域:

如果L函数所有的非平凡零点都落在这个区域内,就可以得到带余项的等差数列素数定理。

可惜的是,数学家Edmund Landau发现当X满足特殊性质时其对应的L函数可能会出现落在上面公式之外的异常零点(exceptional zero)。

但幸运的是,Landau证明了对于每个这样的L函数,若下面区域中存在异常零点,则这样的零点只可能出现一个,而且阶数也恰好只能是一。

后来Walfisz利用这个更弱的非零区域得到了一个妥协版的等差数列素数定理:

很明显,这个公式的限制条件要多了许多,所以大家当然希望L函数能够没有异常零点。

由于Landau和Siegel两位数学家在L函数异常零点这个领域里做了开创性的工作,所以异常零点也常常被称为Landau-Siegel零点。

而断言L函数没有异常零点的猜测就被称为Landau-Siegel猜想。

整体来看,其实广义黎曼猜想恰好是Landau-Siegel猜想的充分条件。

但这一个世纪以来的研究表明Landau-Siegel问题可以比黎曼猜想还要难解决。

因此,要是张益唐证明的是朗道-西格尔零点,那么黎曼猜想是错的。

这也就是为何大家都对这则消息都用“骇人听闻”来形容了。

但就目前来看,很多人都更倾向于认为他证明的是朗道-西格尔零点不存在。

如此一来,就不会和黎曼猜想发生冲突。

至于具体证明了什么,还需要等待张益唐本人的正面回复了。

而且很多网友对此都认为:

考虑张的平生,其人沉稳坚毅,肯定不会信口胡说。

不过需要说明的是,目前为止,张益唐本人并未在其他场合和形式宣布这一进展。

半生蛰伏,一鸣惊人

实际上,关于朗道-西格尔猜想,早在07年老张就曾预印了一篇论文,但是里面的论证有些Bug。

此后,他多次提到过他正在关注这个问题。

然后在2019年,张曾表示在这个猜想上已取得一些可喜的进展。

不过要说张益唐从默默无闻到名声大振,还得把时间的指针拨到2013年。

那一年,他在数学最高期刊Annals of Mathematics上发表了震惊众多学者的《质数间的有界间隔》。

这篇文章首次证明了距离有限的质数对是无穷多的,在孪生素数猜想这一数论难题上取得质的突破。

而在这篇论文发表之前,他曾有令人羡慕的中外顶尖学府求学经历,但随后却经历了多年的蛰伏,甚至不得已跑去赛百味端盘子。

1978至1985年,张益唐在北大数院拿到了本科和硕士学位,并在硕士期间师从我国著名数学家潘承彪。

后来代数几何学家莫宗坚访问北大,并发掘了张。随后张就跟着莫飞往美国,到普渡大学(号称“太空人的摇篮”那个)读博。

最终当张提交博士毕业论文时,他已在普渡大学读了6年半,但在此期间他发表的学术论文寥寥无几。

值得一提的是,张益唐自己并不太喜欢代数几何学,而更热衷于数论

所以他希望博士毕业以后离开这个圈子,回头去研究他感兴趣的数论,但导师莫宗坚得知后并不高兴,于是两人分歧越来越大。

结果就是,等张好不容易博士毕业,他却没有导师的工作推荐信。

(莫宗坚在张益唐成名后曾发文澄清过此事,认为没写推荐信是因为自己不知道给张推荐现成的工作是否合适,而且称这种做法在当时已经不太流行了)

再加上他性格偏内向,以及在读博期间发表的学术论文太少等因素,竟没有任何一个美国大学或研究所愿意要他。

曾有朋友向张建议转行从事金融或计算机行业,但他并不愿意。

一边是继续苦苦钻研数论;另一边,他也不得不四处谋生,但可惜在很长时间内,他都没找到好工作,有时甚至只能借住朋友家的地下室。

在此期间,他曾到一位北大校友开的快餐连锁店赛百味担任会计。因为这样可以让他在工作中发挥记忆力和计算能力方面的特长,并抽空研究数学。

所幸,他人生中的又一位“伯乐”出现了,是他在北大和普渡大学的校友唐朴祁。

1999年,张益唐与唐朴祁合作发表一项互联网专利。这项专利涉及一个实用性很广的计算机算法难题,但张只用了3周的时间就搞定了,这令唐对其刮目相看。

于是,唐朴祁向在新罕布什尔大学任教的学弟葛力明介绍张益唐,然后经葛力明推荐,张益唐先后在这里担任数学系与统计学系的助教和讲师,执教微积分、代数、初等数论等课程。

到此,他终于回归了学术圈,有了关注新进展、了解同行思想和下载学术论文的便捷渠道。

……

至于有关此次曝光的朗道-西格尔零点猜想,我们将持续保持关注。

参考链接:

[1]https://mp.weixin.qq.com/s/QSmHDBGYwGy-mCMjVj-GDw
[2]https://www.zhihu.com/question/559674941
[3]https://www.zhihu.com/question/360965839/answer/2113995432
[4]https://www.zhihu.com/question/360965839
[5]https://weibo.com/2703634217/MatuJ2kAe?type=comment

MEET 2023 大会启动

邀你共论智能产业穿越周期之道

今年12月,MEET2023智能未来大会将再度邀请智能科技产业、科研、投资领域大咖嘉宾,共同探讨人工智能行业破局之道。

欢迎智能科技企业参会,分享突破性成果,交流时代级变革,共襄盛会!点击链接或下方图片查看大会详情:

量子位「MEET 2023智能未来大会」启动,邀你共论智能产业穿越周期之道


点这里关注我 👇 记得标星噢 ~


一键三连「分享」、「点赞」和「在看」

科技前沿进展日日相见 ~ 



登录查看更多
0

相关内容

数学是关于数量、结构、变化等主题的探索。
CVPR 二十年,影响力最大的 10 篇论文!
专知会员服务
31+阅读 · 2022年2月1日
Nature论文: DeepMind用AI引导直觉解决数学猜想难题
专知会员服务
31+阅读 · 2021年12月2日
专知会员服务
129+阅读 · 2021年6月23日
专知会员服务
75+阅读 · 2020年12月7日
震动学界!张益唐被曝已证明黎曼猜想相关问题
THU数据派
0+阅读 · 2022年10月17日
国家自然科学基金
0+阅读 · 2015年12月31日
国家自然科学基金
0+阅读 · 2014年12月31日
国家自然科学基金
0+阅读 · 2014年12月31日
国家自然科学基金
0+阅读 · 2013年12月31日
国家自然科学基金
1+阅读 · 2013年12月31日
国家自然科学基金
0+阅读 · 2013年12月31日
国家自然科学基金
0+阅读 · 2012年12月31日
国家自然科学基金
0+阅读 · 2012年12月31日
国家自然科学基金
0+阅读 · 2011年12月31日
国家自然科学基金
0+阅读 · 2009年12月31日
Arxiv
0+阅读 · 2022年11月24日
已删除
Arxiv
32+阅读 · 2020年3月23日
Learning Implicit Fields for Generative Shape Modeling
Arxiv
11+阅读 · 2018年12月6日
VIP会员
相关基金
国家自然科学基金
0+阅读 · 2015年12月31日
国家自然科学基金
0+阅读 · 2014年12月31日
国家自然科学基金
0+阅读 · 2014年12月31日
国家自然科学基金
0+阅读 · 2013年12月31日
国家自然科学基金
1+阅读 · 2013年12月31日
国家自然科学基金
0+阅读 · 2013年12月31日
国家自然科学基金
0+阅读 · 2012年12月31日
国家自然科学基金
0+阅读 · 2012年12月31日
国家自然科学基金
0+阅读 · 2011年12月31日
国家自然科学基金
0+阅读 · 2009年12月31日
Top
微信扫码咨询专知VIP会员