【通俗易懂】手把手带你实现DeepFM!

2019 年 10 月 27 日 AINLP

勘误:本文修正了原文中的两处错误。感谢群友对文中错误的指正!小编以后也会更加细心的校对文章质量

1、模型输入部分,label的shape应该是[None,1]

2、FM一次项的系数应该由feature_bias获得。

可以说,DeepFM是目前最受欢迎的CTR预估模型之一,不仅是在交流群中被大家提及最多的,同时也是在面试中最多被提及的:

1、Deepfm的原理,DeepFM是一个模型还是代表了一类模型,DeepFM对FM做了什么样的改进,FM的公式如何化简并求解梯度(滴滴)
2、FM、DeepFM介绍一下(猫眼)
3、DeepFm模型介绍一下(一点资讯)
4、DeepFM介绍下 & FM推导(一点资讯)

这次咱们一起来回顾一下DeepFM模型,以及手把手来实现一波!

1、DeepFM原理回顾

先来回顾一下DeepFM的模型结构:


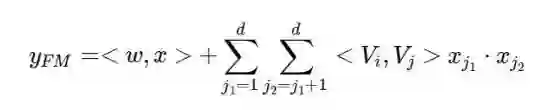
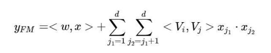
DeepFM包含两部分:因子分解机部分与神经网络部分,分别负责低阶特征的提取和高阶特征的提取。这两部分共享同样的嵌入层输入。DeepFM的预测结果可以写为:


嵌入层


嵌入层(embedding layer)的结构如上图所示。通过嵌入层,尽管不同field的长度不同(不同离散变量的取值个数可能不同),但是embedding之后向量的长度均为K(我们提前设定好的embedding-size)。通过代码可以发现,在得到embedding之后,我们还将对应的特征值乘到了embedding上,这主要是由于fm部分和dnn部分共享嵌入层作为输入,而fm中的二次项如下:


FM部分

FM部分的详细结构如下:


FM部分是一个因子分解机。关于因子分解机可以参阅文章[Rendle, 2010] Steffen Rendle. Factorization machines. In ICDM, 2010.。因为引入了隐变量的原因,对于几乎不出现或者很少出现的隐变量,FM也可以很好的学习。

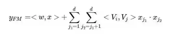
FM的输出公式为:


深度部分


深度部分是一个多层前馈神经网络。我们这里不再赘述。

有关模型具体如何操作,我们可以通过代码来进一步加深认识。

2、代码实现

2.1 Embedding介绍

DeepFM中,很重要的一项就是embedding操作,所以我们先来看看什么是embedding,可以简单的理解为,将一个特征转换为一个向量。在推荐系统当中,我们经常会遇到离散变量,如userid、itemid。对于离散变量,我们一般的做法是将其转换为one-hot,但对于itemid这种离散变量,转换成one-hot之后维度非常高,但里面只有一个是1,其余都为0。这种情况下,我们的通常做法就是将其转换为embedding。

embedding的过程是什么样子的呢?它其实就是一层全连接的神经网络,如下图所示:


假设一个离散变量共有5个取值,也就是说one-hot之后会变成5维,我们想将其转换为embedding表示,其实就是接入了一层全连接神经网络。由于只有一个位置是1,其余位置是0,因此得到的embedding就是与其相连的图中红线上的权重。

2.2 tf.nn.embedding_lookup函数介绍

在tf1.x中,我们使用embedding_lookup函数来实现embedding,代码如下:

# embeddingembedding = tf.constant(        [[0.21,0.41,0.51,0.11]],        [0.22,0.42,0.52,0.12],        [0.23,0.43,0.53,0.13],        [0.24,0.44,0.54,0.14]],dtype=tf.float32)
feature_batch = tf.constant([2,3,1,0])
get_embedding1 = tf.nn.embedding_lookup(embedding,feature_batch)

在embedding_lookup中,第一个参数相当于一个二维的词表,并根据第二个参数中指定的索引,去词表中寻找并返回对应的行。上面的过程为:


注意这里的维度的变化,假设我们的feature_batch 是 1维的tensor,长度为4,而embedding的长度为4,那么得到的结果是 4 * 4 的,同理,假设feature_batch是2 *4的,embedding_lookup后的结果是2 * 4 * 4。每一个索引返回embedding table中的一行,自然维度会+1。

上文说过,embedding层其实是一个全连接神经网络层,那么其过程等价于:

可以得到下面的代码:

embedding = tf.constant(    [        [0.21,0.41,0.51,0.11],        [0.22,0.42,0.52,0.12],        [0.23,0.43,0.53,0.13],        [0.24,0.44,0.54,0.14]    ],dtype=tf.float32)
feature_batch = tf.constant([2,3,1,0])feature_batch_one_hot = tf.one_hot(feature_batch,depth=4)get_embedding2 = tf.matmul(feature_batch_one_hot,embedding)

二者是否一致呢?我们通过代码来验证一下:

with tf.Session() as sess:    sess.run(tf.global_variables_initializer())    embedding1,embedding2 = sess.run([get_embedding1,get_embedding2])    print(embedding1)    print(embedding2)

得到的结果为:


二者得到的结果是一致的。

因此,使用embedding_lookup的话,我们不需要将数据转换为one-hot形式,只需要传入对应的feature的index即可。

2.3 数据处理

接下来进入代码实战部分。

首先我们来看看数据处理部分,通过刚才的讲解,想要给每一个特征对应一个k维的embedding,如果我们使用embedding_lookup的话,需要得到连续变量或者离散变量对应的特征索引feature index。听起来好像有点抽象,咱们还是举个简单的例子:


这里有三组特征,或者说3个field的特征,分别是性别、星期几、职业。对应的特征数量分别为2、7、2。我们总的特征数量feature-size为2 + 7 + 2=11。如果转换为one-hot的话,每一个取值都会对应一个特征索引feature-index。

这样,对于一个实例男/二/学生来说,将其转换为对应的特征索引即为0、3、9。在得到特征索引之后,就可以通过embedding_lookup来获取对应特征的embedding。

当然,上面的例子中我们只展示了三个离散变量,对于连续变量,我们也会给它一个对应的特征索引,如:


可以看到,此时共有5个field,一个连续特征就对应一个field。

但是在FM的公式中,不光是embedding的内积,特征取值也同样需要。对于离散变量来说,特征取值就是1,对于连续变量来说,特征取值是其本身,因此,我们想要得到的数据格式如下:


定好了目标之后,咱们就开始实现代码。先看下对应的数据集:

import pandas as pd
TRAIN_FILE = "data/train.csv"TEST_FILE = "data/test.csv"
NUMERIC_COLS = [ "ps_reg_01", "ps_reg_02", "ps_reg_03", "ps_car_12", "ps_car_13", "ps_car_14", "ps_car_15"]
IGNORE_COLS = [ "id", "target", "ps_calc_01", "ps_calc_02", "ps_calc_03", "ps_calc_04", "ps_calc_05", "ps_calc_06", "ps_calc_07", "ps_calc_08", "ps_calc_09", "ps_calc_10", "ps_calc_11", "ps_calc_12", "ps_calc_13", "ps_calc_14", "ps_calc_15_bin", "ps_calc_16_bin", "ps_calc_17_bin", "ps_calc_18_bin", "ps_calc_19_bin", "ps_calc_20_bin"]
dfTrain = pd.read_csv(TRAIN_FILE)dfTest = pd.read_csv(TEST_FILE)print(dfTrain.head(10))

数据集如下:


我们定义了一些不考虑的变量列、一些连续变量列,剩下的就是离散变量列,接下来,想要得到一个feature-map。这个featrue-map定义了如何将变量的不同取值转换为其对应的特征索引feature-index。

df = pd.concat([dfTrain,dfTest])
feature_dict = {}total_feature = 0for col in df.columns: if col in IGNORE_COLS: continue elif col in NUMERIC_COLS: feature_dict[col] = total_feature total_feature += 1 else: unique_val = df[col].unique() feature_dict[col] = dict(zip(unique_val,range(total_feature,len(unique_val) + total_feature))) total_feature += len(unique_val)print(total_feature)print(feature_dict)

这里,我们定义了total_feature来得到总的特征数量,定义了feature_dict来得到变量取值到特征索引的对应关系,结果如下:

可以看到,对于连续变量,直接是变量名到索引的映射,对于离散变量,内部会嵌套一个二级map,这个二级map定义了该离散变量的不同取值到索引的映射。

下一步,需要将训练集和测试集转换为两个新的数组,分别是feature-index,将每一条数据转换为对应的特征索引,以及feature-value,将每一条数据转换为对应的特征值。

"""对训练集进行转化"""print(dfTrain.columns)train_y = dfTrain[['target']].values.tolist()dfTrain.drop(['target','id'],axis=1,inplace=True)train_feature_index = dfTrain.copy()train_feature_value = dfTrain.copy()
for col in train_feature_index.columns: if col in IGNORE_COLS: train_feature_index.drop(col,axis=1,inplace=True) train_feature_value.drop(col,axis=1,inplace=True) continue elif col in NUMERIC_COLS: train_feature_index[col] = feature_dict[col] else: train_feature_index[col] = train_feature_index[col].map(feature_dict[col]) train_feature_value[col] = 1

"""对测试集进行转化"""test_ids = dfTest['id'].values.tolist()dfTest.drop(['id'],axis=1,inplace=True)
test_feature_index = dfTest.copy()test_feature_value = dfTest.copy()
for col in test_feature_index.columns: if col in IGNORE_COLS: test_feature_index.drop(col,axis=1,inplace=True) test_feature_value.drop(col,axis=1,inplace=True) continue elif col in NUMERIC_COLS: test_feature_index[col] = feature_dict[col] else: test_feature_index[col] = test_feature_index[col].map(feature_dict[col]) test_feature_value[col] = 1

来看看此时的训练集的特征索引:

对应的特征值:

此时,我们的训练集和测试集就处理完毕了!

2.4 模型参数及输入

接下来定义模型的一些参数,如学习率、embedding的大小、深度网络的参数、激活函数等等,还有两个比较重要的参数,分别是feature的大小和field的大小:

"""模型参数"""dfm_params = {    "use_fm":True,    "use_deep":True,    "embedding_size":8,    "dropout_fm":[1.0,1.0],    "deep_layers":[32,32],    "dropout_deep":[0.5,0.5,0.5],    "deep_layer_activation":tf.nn.relu,    "epoch":30,    "batch_size":1024,    "learning_rate":0.001,    "optimizer":"adam",    "batch_norm":1,    "batch_norm_decay":0.995,    "l2_reg":0.01,    "verbose":True,    "eval_metric":'gini_norm',    "random_seed":3}dfm_params['feature_size'] = total_featuredfm_params['field_size'] = len(train_feature_index.columns)

而训练模型的输入有三个,分别是刚才转换得到的特征索引和特征值,以及label:

"""开始建立模型"""feat_index = tf.placeholder(tf.int32,shape=[None,None],name='feat_index')feat_value = tf.placeholder(tf.float32,shape=[None,None],name='feat_value')
label = tf.placeholder(tf.float32,shape=[None,1],name='label')

比如刚才的两个数据,对应的输入为:

定义好输入之后,再定义一下模型中所需要的weights:

"""建立weights"""weights = dict()
#embeddingsweights['feature_embeddings'] = tf.Variable( tf.random_normal([dfm_params['feature_size'],dfm_params['embedding_size']],0.0,0.01), name='feature_embeddings')weights['feature_bias'] = tf.Variable(tf.random_normal([dfm_params['feature_size'],1],0.0,1.0),name='feature_bias')

#deep layersnum_layer = len(dfm_params['deep_layers'])input_size = dfm_params['field_size'] * dfm_params['embedding_size']glorot = np.sqrt(2.0/(input_size + dfm_params['deep_layers'][0]))
weights['layer_0'] = tf.Variable( np.random.normal(loc=0,scale=glorot,size=(input_size,dfm_params['deep_layers'][0])),dtype=np.float32)weights['bias_0'] = tf.Variable( np.random.normal(loc=0,scale=glorot,size=(1,dfm_params['deep_layers'][0])),dtype=np.float32)

for i in range(1,num_layer): glorot = np.sqrt(2.0 / (dfm_params['deep_layers'][i - 1] + dfm_params['deep_layers'][I])) weights["layer_%d" % i] = tf.Variable( np.random.normal(loc=0, scale=glorot, size=(dfm_params['deep_layers'][i - 1], dfm_params['deep_layers'][i])), dtype=np.float32) # layers[i-1] * layers[I] weights["bias_%d" % i] = tf.Variable( np.random.normal(loc=0, scale=glorot, size=(1, dfm_params['deep_layers'][i])), dtype=np.float32) # 1 * layer[I]

# final concat projection layer
if dfm_params['use_fm'] and dfm_params['use_deep']: input_size = dfm_params['field_size'] + dfm_params['embedding_size'] + dfm_params['deep_layers'][-1]elif dfm_params['use_fm']: input_size = dfm_params['field_size'] + dfm_params['embedding_size']elif dfm_params['use_deep']: input_size = dfm_params['deep_layers'][-1]
glorot = np.sqrt(2.0/(input_size + 1))weights['concat_projection'] = tf.Variable(np.random.normal(loc=0,scale=glorot,size=(input_size,1)),dtype=np.float32)weights['concat_bias'] = tf.Variable(tf.constant(0.01),dtype=np.float32)

介绍两个比较重要的参数,weights['feature_embeddings']是每个特征所对应的embedding,它的大小为feature-size * embedding-size,另一个参数是weights['feature_bias'] ,这个是FM部分计算时所用到的一次项的权重参数,可以理解为embedding-size为1的embedding table,它的大小为feature-size * 1。

假设weights['feature_embeddings']如下:

2.5 嵌入层

嵌入层,主要根据特征索引得到对应特征的embedding:

"""embedding"""embeddings = tf.nn.embedding_lookup(weights['feature_embeddings'],feat_index)
reshaped_feat_value = tf.reshape(feat_value,shape=[-1,dfm_params['field_size'],1])
embeddings = tf.multiply(embeddings,reshaped_feat_value)

这里注意的是,在得到对应的embedding之后,还乘上了对应的特征值,这个主要是根据FM的公式得到的。过程表示如下:

2.6 FM部分

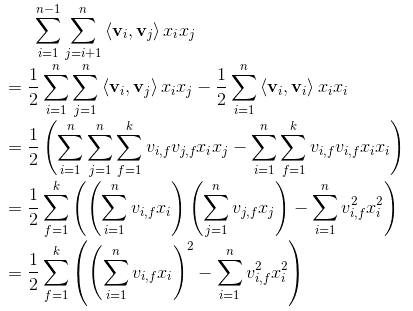
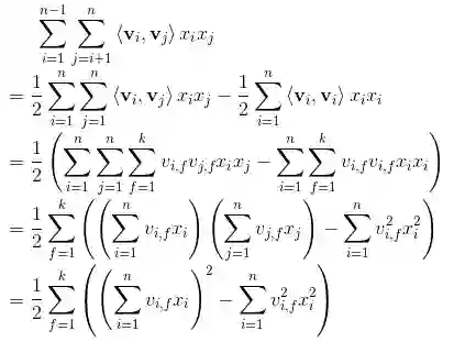
我们先来回顾一下FM的公式,以及二次项的化简过程:


上面的式子中有部分同学曾经问我第一步是怎么推导的,其实也不难,看下面的手写过程(大伙可不要嫌弃字丑哟)


因此,一次项的计算如下,我们刚刚也说过了,通过weights['feature_bias']来得到一次项的权重系数:

fm_first_order = tf.nn.embedding_lookup(weights['feature_bias'],feat_index)fm_first_order = tf.reduce_sum(tf.multiply(fm_first_order,reshaped_feat_value),2)

对于二次项,经过化简之后有两部分(暂不考虑最外层的求和),我们先用excel来形象展示一下两部分,这有助于你对下面代码的理解。

第一部分过程如下:


第二部分的过程如下:


最后两部分相减:


二次项部分的代码如下:

summed_features_emb = tf.reduce_sum(embeddings,1)summed_features_emb_square = tf.square(summed_features_emb)
squared_features_emb = tf.square(embeddings)squared_sum_features_emb = tf.reduce_sum(squared_features_emb,1)
fm_second_order = 0.5 * tf.subtract(summed_features_emb_square,squared_sum_features_emb)

要注意这里的fm_second_order是二维的tensor,大小为batch-size * embedding-size,也就是公式中最外层的一个求和还没有进行,这也是代码中与FM公式有所出入的地方。我们后面再讲。

2.7 Deep部分

Deep部分很简单了,就是几层全连接的神经网络:

"""deep part"""y_deep = tf.reshape(embeddings,shape=[-1,dfm_params['field_size'] * dfm_params['embedding_size']])
for i in range(0,len(dfm_params['deep_layers'])): y_deep = tf.add(tf.matmul(y_deep,weights["layer_%d" %i]), weights["bias_%d"%I]) y_deep = tf.nn.relu(y_deep)

2.8 输出部分

最后的输出部分,论文中的公式如下:

在我们的代码中如下:

"""final layer"""if dfm_params['use_fm'] and dfm_params['use_deep']:    concat_input = tf.concat([fm_first_order,fm_second_order,y_deep],axis=1)elif dfm_params['use_fm']:    concat_input = tf.concat([fm_first_order,fm_second_order],axis=1)elif dfm_params['use_deep']:    concat_input = y_deep    out = tf.nn.sigmoid(tf.add(tf.matmul(concat_input,weights['concat_projection']),weights['concat_bias']))

看似有点出入,其实真的有点出入,不过无碍,咱们做两点说明:

1)首先,这里整体上和最终的公式是相似的,看下面的excel(由于最后一层只有一个神经元,矩阵相乘可以用对位相乘再求和代替):

2)这里不同的地方就是,FM二次项化简之后最外层不再是简单的相加了,而是变成了加权求和(有点类似attention的意思),如果FM二次项部分对应的权重都是1,就是标准的FM了。

2.9 Loss and Optimizer

这一块也不再多讲,我们使用logloss来指导模型的训练:

"""loss and optimizer"""loss = tf.losses.log_loss(tf.reshape(label,(-1,1)), out)optimizer = tf.train.AdamOptimizer(learning_rate=dfm_params['learning_rate'], beta1=0.9, beta2=0.999,                                                        epsilon=1e-8).minimize(loss)

至此,我们整个DeepFM模型的架构就搭起来了,接下来,我们简单测试一下代码:

"""train"""with tf.Session() as sess:    sess.run(tf.global_variables_initializer())    for i in range(100):        epoch_loss,_ = sess.run([loss,optimizer],feed_dict={feat_index:train_feature_index,                             feat_value:train_feature_value,                             label:train_y})        print("epoch %s,loss is %s" % (str(i),str(epoch_loss)))

调试成功:


好了,本次的手把手实现DeepFM教学就到这里了,这个模型大家一定要掌握啊,推荐系统岗位校招必考!

代码链接:https://github.com/princewen/tensorflow_practice/blob/master/recommendation/Basic-DeepFM-model/DeepFM-StepByStep.ipynb


数据在git最外层的readme中。




推荐阅读


揭开YouTube深度推荐系统模型Serving之谜


经典!工业界深度推荐系统与CTR预估必读的论文汇总


NLP硬核入门-Seq2Seq和Attention机制


神经网络硬核入门-反向传播(BP)算法


关于AINLP


AINLP 是一个有趣有AI的自然语言处理社区,专注于 AI、NLP、机器学习、深度学习、推荐算法等相关技术的分享,主题包括文本摘要、智能问答、聊天机器人、机器翻译、自动生成、知识图谱、预训练模型、推荐系统、计算广告、招聘信息、求职经验分享等,欢迎关注!加技术交流群请添加AINLP君微信(id:AINLP2),备注工作/研究方向+加群目的。


登录查看更多
3

相关内容

FM 2019是正式方法欧洲(FME)组织的系列国际研讨会中的第23次,该协会是一个独立的协会,旨在促进软件开发正式方法的使用和研究。官网链接:http://formalmethods2019.inesctec.pt/?page_id=565
《深度学习》圣经花书的数学推导、原理与Python代码实现
【新书】Pro 机器学习算法Python实现,379页pdf
专知会员服务
204+阅读 · 2020年2月11日
MATLAB玩转深度学习?新书「MATLAB Deep Learning」162页pdf
专知会员服务
103+阅读 · 2020年1月13日
【新书】傻瓜式入门深度学习,371页pdf
专知会员服务
194+阅读 · 2019年12月28日
初学者系列:Deep FM详解
专知
109+阅读 · 2019年8月26日
CTR预估专栏 | 一文搞懂DeepFM的理论与实践
AI前线
13+阅读 · 2018年7月6日
一文读懂FM算法优势,并用python实现!(附代码)
动手写机器学习算法:SVM支持向量机(附代码)
七月在线实验室
12+阅读 · 2017年12月5日
LibRec 每周算法:DeepFM
LibRec智能推荐
14+阅读 · 2017年11月6日
LibRec 每周算法:NFM (SIGIR'17)
LibRec智能推荐
8+阅读 · 2017年10月17日
Arxiv
35+阅读 · 2020年1月2日
Arxiv
6+阅读 · 2019年7月11日
Arxiv
5+阅读 · 2018年10月11日
Arxiv
22+阅读 · 2018年8月30日
Arxiv
15+阅读 · 2018年6月23日
Arxiv
4+阅读 · 2018年3月30日
VIP会员
相关VIP内容
相关资讯
初学者系列:Deep FM详解
专知
109+阅读 · 2019年8月26日
CTR预估专栏 | 一文搞懂DeepFM的理论与实践
AI前线
13+阅读 · 2018年7月6日
一文读懂FM算法优势,并用python实现!(附代码)
动手写机器学习算法:SVM支持向量机(附代码)
七月在线实验室
12+阅读 · 2017年12月5日
LibRec 每周算法:DeepFM
LibRec智能推荐
14+阅读 · 2017年11月6日
LibRec 每周算法:NFM (SIGIR'17)
LibRec智能推荐
8+阅读 · 2017年10月17日
相关论文
Arxiv
35+阅读 · 2020年1月2日
Arxiv
6+阅读 · 2019年7月11日
Arxiv
5+阅读 · 2018年10月11日
Arxiv
22+阅读 · 2018年8月30日
Arxiv
15+阅读 · 2018年6月23日
Arxiv
4+阅读 · 2018年3月30日
Top
微信扫码咨询专知VIP会员