胡渊鸣:import一个“太极”库,让Python代码提速100倍!

2022 年 9 月 9 日 量子位
丰色 发自 凹非寺
量子位 | 公众号 QbitAI

众所周知,Python的简单和易读性是靠牺牲性能为代价的——

尤其是在计算密集的情况下,比如多重for循环。

不过现在,大佬胡渊鸣说了:

只需import 一个叫做“Taichi”的库,就可以把代码速度提升100倍


不信?

来看三个例子。

计算素数的个数,速度x120

第一个例子非常非常简单,求所有小于给定正整数N的素数。

标准答案如下:

我们将上面的代码保存,运行。

当N为100万时,需要2.235s得到结果:

现在,我们开始施魔法。

不用更改任何函数体,import“taichi”库,然后再加两个装饰器:

Bingo!同样的结果只要0.363s,快了将近6倍。

如果N=1000万,则只要0.8s;要知道,不加它可是55s,一下子又快了70倍

不止如此,我们还可以在ti.init()中加个参数变为ti.init(arch=ti.gpu) ,让taich在GPU上进行计算。

那么此时,计算所有小于1000万的素数就只耗时0.45s了,与原来的Python代码相比速度就提高了120倍

厉不厉害?

什么?你觉得这个例子太简单了,说服力不够?我们再来看一个稍微复杂一点的。

动态规划,速度x500

动态规划不用多说,作为一种优化算法,通过动态存储中间计算结果来减少计算时间。

我们以经典教材《算法导论》中的经典动态规划案例“最长公共子序列问题(LCS)”为例。

比如对于序列a = [0, 1, 0, 2, 4, 3, 1, 2, 1]和序列b = [4, 0, 1, 4, 5, 3, 1, 2],它们的LCS就是:

LCS(a, b) = [0, 1, 4, 3, 1, 2]。

用动态规划的思路计算LCS,就是先求解序列a的前i个元素和序列b的前j个元素的最长公共子序列的长度,然后逐步增加i或j的值,重复过程,得到结果。

我们用f[i, j]来指代这个子序列的长度,即LCS((prefix(a, i), prefix(b, j)。其中prefix(a, i) 表示序列a的前i个元素,即a[0], a[1], …, a[i - 1],得到如下递归关系:

完整代码如下:

现在,我们用Taichi来加速:

结果如下:

胡渊鸣电脑上的程序最快做到了0.9秒内完成,而换成用NumPy来实现,则需要476秒,差异达到了超500倍!

最后,我们再来一个不一样的例子。

反应 - 扩散方程,效果惊人

自然界中,总有一些动物身上长着一些看起来无序但实则并非完全随机的花纹。

图灵机的发明者艾伦·图灵是第一个提出模型来描述这种现象的人。

在该模型中,两种化学物质(U和V)来模拟图案的生成。这两者之间的关系类似于猎物和捕食者,它们自行移动并有交互:

  1. 最初,U和V随机分布在一个域上;

  2. 在每个时间步,它们逐渐扩散到邻近空间;

  3. 当U和V相遇时,一部分U被V吞噬。因此,V的浓度增加;

  4. 为了避免U被V根除,我们在每个时间步添加一定百分比 (f) 的U并删除一定百分比 (k) 的V。

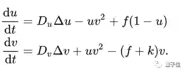
上面这个过程被概述为“反应-扩散方程”:


其中有四个关键参数:Du(U的扩散速度),Dv(V的扩散速度),f(feed的缩写,控制U的加入)和k(kill的缩写,控制V的去除)

如果Taichi中实现这个方程,首先创建网格来表示域,用vec2表示每个网格中U, V的浓度值。

拉普拉斯算子数值的计算需要访问相邻网格。为了避免在同一循环中更新和读取数据,我们应该创建两个形状相同的网格W×H×2。

每次从一个网格访问数据时,我们将更新的数据写入另一个网格,然后切换下一个网格。那么数据结构设计就是这样:

一开始,我们将U在网格中的浓度设置为 1,并将V放置在50个随机选择的位置:

那么实际计算就可以用不到10行代码完成:

@ti.kernel
def compute(phase: int):
    for i, j in ti.ndrange(W, H):
        cen = uv[phase, i, j]
        lapl = uv[phase, i + 1, j] + uv[phase, i, j + 1] + uv[phase, i - 1, j] + uv[phase, i, j - 1] - 4.0 * cen
        du = Du * lapl[0] - cen[0] * cen[1] * cen[1] + feed * (1 - cen[0])
        dv = Dv * lapl[1] + cen[0] * cen[1] * cen[1] - (feed + kill) * cen[1]
        val = cen + 0.5 * tm.vec2(du, dv)
        uv[1 - phase, i, j] = val

在这里,我们使用整数相位(0或1)来控制我们从哪个网格读取数据。

最后一步就是根据V的浓度对结果进行染色,就可以得到这样一个效果惊人的图案

有趣的是,胡渊鸣介绍,即使V的初始浓度是随机设置的,但每次都可以得到相似的结果。

而且和只能达到30fps左右的Numba实现比起来,Taichi实现由于可以选择GPU作为后端,轻松超过了 300fps。

pip install即可安装

看完上面三个例子,你这下相信了吧?

其实,Taichi就是一个嵌入在Python中的DSL(动态脚本语言),它通过自己的编译器将被 @ti.kernel 装饰的函数编译到各种硬件上,包括CPU和GPU,然后进行高性能计算。

有了它,你无需再羡慕C++/CUDA的性能。

正如其名,Taichi就出自太极图形胡渊鸣的团队,现在你只需要用pip install就能安装这个库,并与其他Python库进行交互,包括NumPy、Matplotlib和PyTorch等等。

当然,Taichi用起来和这些库以及其他加速方法有什么差别,胡渊鸣也给出了详细的优缺点对比,感兴趣的朋友可以戳下面的链接详细查看:

https://docs.taichi-lang.org/blog/accelerate-python-code-100x

「人工智能」、「智能汽车」微信社群邀你加入!

欢迎关注人工智能、智能汽车的小伙伴们加入我们,与AI从业者交流、切磋,不错过最新行业发展&技术进展。

PS. 加好友请务必备注您的姓名-公司-职位哦 ~


点这里👇关注我,记得标星哦~

一键三连「分享」、「点赞」和「在看」

科技前沿进展日日相见~



登录查看更多
0

相关内容

Python是一种面向对象的解释型计算机程序设计语言,在设计中注重代码的可读性,同时也是一种功能强大的通用型语言。
【干货书】《Pydon'ts:编写优雅的Python代码》,263页pdf
专知会员服务
93+阅读 · 2021年11月2日
【干货书】数值Python计算,Numerical Python,709页pdf
专知会员服务
116+阅读 · 2021年5月30日
专知会员服务
93+阅读 · 2020年12月26日
【干货书】Python 编程,480页pdf
专知会员服务
243+阅读 · 2020年8月14日
【圣经书】《强化学习导论(2nd)》电子书与代码,548页pdf
专知会员服务
208+阅读 · 2020年5月22日
【干货书】数值计算C编程,319页pdf,Numerical C
专知会员服务
71+阅读 · 2020年4月7日
《深度学习》圣经花书的数学推导、原理与Python代码实现
Go程序提速42%,只需改变一个字符
量子位
0+阅读 · 2022年11月20日
CUDA编程:矩阵乘运算从CPU到GPU
极市平台
1+阅读 · 2022年10月31日
40岁开始学编程!
CSDN
1+阅读 · 2022年10月28日
百闻不如一码!手把手教你用Python搭一个Transformer
大数据文摘
18+阅读 · 2019年4月22日
实战 | 用Python做图像处理(二)
七月在线实验室
17+阅读 · 2018年5月25日
实战 | 用Python做图像处理(一)
七月在线实验室
25+阅读 · 2018年5月23日
国家自然科学基金
0+阅读 · 2015年12月31日
国家自然科学基金
0+阅读 · 2014年12月31日
国家自然科学基金
0+阅读 · 2013年12月31日
国家自然科学基金
0+阅读 · 2013年12月31日
国家自然科学基金
0+阅读 · 2012年12月31日
国家自然科学基金
0+阅读 · 2012年12月31日
国家自然科学基金
0+阅读 · 2012年12月31日
国家自然科学基金
1+阅读 · 2011年12月31日
国家自然科学基金
0+阅读 · 2011年12月31日
国家自然科学基金
0+阅读 · 2011年12月31日
Arxiv
0+阅读 · 2022年11月27日
Arxiv
0+阅读 · 2022年11月25日
已删除
Arxiv
32+阅读 · 2020年3月23日
VIP会员
相关VIP内容
【干货书】《Pydon'ts:编写优雅的Python代码》,263页pdf
专知会员服务
93+阅读 · 2021年11月2日
【干货书】数值Python计算,Numerical Python,709页pdf
专知会员服务
116+阅读 · 2021年5月30日
专知会员服务
93+阅读 · 2020年12月26日
【干货书】Python 编程,480页pdf
专知会员服务
243+阅读 · 2020年8月14日
【圣经书】《强化学习导论(2nd)》电子书与代码,548页pdf
专知会员服务
208+阅读 · 2020年5月22日
【干货书】数值计算C编程,319页pdf,Numerical C
专知会员服务
71+阅读 · 2020年4月7日
《深度学习》圣经花书的数学推导、原理与Python代码实现
相关资讯
Go程序提速42%,只需改变一个字符
量子位
0+阅读 · 2022年11月20日
CUDA编程:矩阵乘运算从CPU到GPU
极市平台
1+阅读 · 2022年10月31日
40岁开始学编程!
CSDN
1+阅读 · 2022年10月28日
百闻不如一码!手把手教你用Python搭一个Transformer
大数据文摘
18+阅读 · 2019年4月22日
实战 | 用Python做图像处理(二)
七月在线实验室
17+阅读 · 2018年5月25日
实战 | 用Python做图像处理(一)
七月在线实验室
25+阅读 · 2018年5月23日
相关基金
国家自然科学基金
0+阅读 · 2015年12月31日
国家自然科学基金
0+阅读 · 2014年12月31日
国家自然科学基金
0+阅读 · 2013年12月31日
国家自然科学基金
0+阅读 · 2013年12月31日
国家自然科学基金
0+阅读 · 2012年12月31日
国家自然科学基金
0+阅读 · 2012年12月31日
国家自然科学基金
0+阅读 · 2012年12月31日
国家自然科学基金
1+阅读 · 2011年12月31日
国家自然科学基金
0+阅读 · 2011年12月31日
国家自然科学基金
0+阅读 · 2011年12月31日
Top
微信扫码咨询专知VIP会员