陶哲轩:张益唐新论文存在一些技术问题,我已请他澄清

2022 年 11 月 17 日 量子位
梦晨 羿阁 发自 凹非寺
量子位 | 公众号 QbitAI

张益唐的零点猜想证明,该由谁来检验?

不少人把目光投向陶哲轩

最新消息,陶哲轩已经读过张益唐的论文并做出点评

目前论文的基本正确性尚未得到确认。

存在一些印刷错误和技术问题(主要集中在第11和12节)。

我已转发给益唐并请他澄清。

这段点评藏在他个人博客一篇旧文章的评论区里,还挺不好找的。

具体来说,陶哲轩列出了论文中一些方程引用缺失,集中在63-67页、70页、98-99页,以及结尾的109页。

可以看出,他不但从头到尾读完了论文,还在尝试验证的过程中发现这些障碍。

后面有匿名网友指出,张益唐在使用LaTex时没有使用引用的“\ref{}”语法,只是手写了方程编号。

在反复修改中,可能编号发生了变化造成这样的结果。(回忆起论文排版的恐惧了么?)

其实关于论文还不完善这一点,张益唐本人也十分清楚,此前在北京大学纽约地区校友会交流活动上他说过:

我这篇文章非常复杂……总之这个东西我知道我是把它给做出来了,当然把它写好还有点问题,所以我也不想把它先投稿投出去,但是我会把它挂到arXiv上。

陶哲轩则在点评中写道:

以上这些问题(连同一些更严重的问题)是可能被修正的,但是需要一些时间。

对于其中“更严重的问题”是什么,他没有明确指出。

另外他还特别提到“不想给张益唐压力,希望他能仔细校对而不是匆忙上传修订版,因此建议大家也耐心等待。”

有网友看过后觉得,这段点评水平可真是高。

有让大家冷静下来的效果,同时又没有一丝消极情绪或降低期待,除了他也没谁能做到了。

为什么看向陶哲轩?

陶哲轩对此事的看法,为何备受关注?

除了二人研究领域有重叠之外,陶哲轩还对张益唐上一次重要成果作出过重要改进。

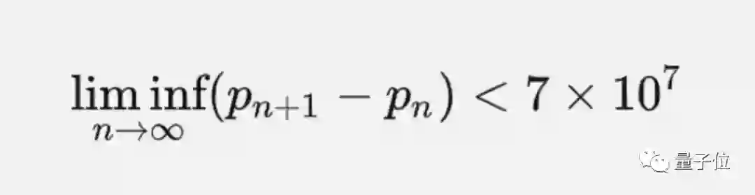
在孪生素数猜想的证明中,张益唐提出“存在无穷多间距小于7千万的相邻素数对”。

陶哲轩认为这个方法的潜力并没有被完全挖掘出来。

他迅速跟进研究,参与发起了数学界集体合作项目Polymath 8,在一个两月之内就把7千万的界限缩小到了4680

在新晋菲尔兹奖得主梅纳德(James Maynard)的帮助下,Polymath 8目前的最佳结果已经达到246,离最终目标2越来越近了。

张益唐在这次的朗道西格尔零点猜想的证明中,使用了类似的改进版方法,还特意把数字选为致敬年份的-2022-2024

可以预见的是,一旦张益唐的新论文通过同行评议,这个结果也会在国际数学家的合作努力下迅速降低,这次的最终目标是1。

而陶哲轩会不会再次出手,自然成了大家期待的对象。

实际上朗道西格尔零点也是陶哲轩这些年来的研究对象,去年九月他也发过相关论文。

关于这次结果的改进,张益唐在北大做学术报告时表示至少可以做到到几百

……只是我还没有去做。但是要到1目前这个方法还是不够的……

还有谁跟进了张益唐的研究?

前面也提到,陶哲轩之外另一个对孪生素数猜想结果做出重大改进的是梅纳德,他因这项成果在今年获得菲尔兹奖。

到目前为止,梅纳德还没对张益唐最新论文发声。

不过他的博士导师、解析数论领域数学家罗杰·希思-布朗(Roger Heath-Brown FRS)倒是接受过媒体采访,认为张的论文“写得很清楚,而且策略明智”。

除此之外,罗杰·希思-布朗与蒙特利尔大学安德鲁·格兰维尔(Andrew Granville)等数论领域学者一致认为,好好研读这篇论文需要很长时间,现在下结论还为时尚早。

中国学者方面,张益唐在北大时的导师潘承彪听取了张益唐的学术报告,除了证明结果之外他还格外关注张益唐改进的新方法:

这是一个重要的筛法新思想,有很大发展潜力,可实现起来很难。

张益唐当时还回复“听了潘老师的肯定,比听一万个人的赞扬更有价值。”

筛法(Sieve Method)是数论研究中的重要工具。

1950年前后,阿特勒·塞尔伯格(Atle Selberg)提出改进版的塞尔伯格筛法一直沿用至今。

在很长一段时间里,该方法都是“初步估计在一个小区间里素数分布之上界”的唯一方法,曾使哥德巴赫猜想前进一大步,张益唐解决孪生素数猜想的思路也受其启发。

在朗道-西格尔零点猜想上,张益唐一开始也是用的塞尔伯格筛法。

他将这个过程比作大海捞针,虽然最终也没有捞到,但是通过提出新的改进版筛法做出了结果。

整个过程我把海底的情况都摸清楚了,后来发现不用这根针,我也能把它做出来。

新方法不依赖于“求二次型极值”,除了用于朗道-西格尔零点猜想外,还有望用于其他数论问题。

张益唐表示正在思考能不能用新方法去改进孪生素数猜想的结果,他以后也考虑往这方面去尝试。

关于自己的未来,已67岁的张益唐在亲笔写的知乎长文中也提到,没有考虑过退休的问题。

如果我真的离开数学了,我确实不知道我该怎么活。


陶哲轩看法(在评论区)

https://terrytao.wordpress.com/2021/09/15/the-hardy-littlewood-chowla-conjecture-in-the-presence-of-a-siegel-zero/comment-page-1

参考链接:
[1]
https://twitter.com/SuraSys1/status/1592750525312688128
[2]https://www.zhihu.com/question/564799818/answer/2752632822

「2022人工智能年度评选」火热报名中

仅剩7天量子位「2022人工智能年度评选」即将截止报名!本次评选将从企业、人物、产品/解决方案三大维度设置5类奖项,抓紧时间参与吧!

更多关于评选标准、榜单报名欢迎扫描下方二维码~

点这里关注我 👇 记得标星噢 ~

一键三连「分享」、「点赞」和「在看」

科技前沿进展日日相见 ~ 

登录查看更多
2

相关内容

论文(Paper)是专知网站核心资料文档,包括全球顶级期刊、顶级会议论文,及全球顶尖高校博士硕士学位论文。重点关注中国计算机学会推荐的国际学术会议和期刊,CCF-A、B、C三类。通过人机协作方式,汇编、挖掘后呈现于专知网站。
NAACL 2022论文奖项公布:5篇论文斩获最佳
专知会员服务
24+阅读 · 2022年7月1日
Nature论文: DeepMind用AI引导直觉解决数学猜想难题
专知会员服务
31+阅读 · 2021年12月2日
ICCV2021接受论文!
专知会员服务
27+阅读 · 2021年7月23日
【干货书】从初等问题看数学的本质,400页pdf
专知会员服务
65+阅读 · 2021年5月28日
ICML 2021论文收录
专知会员服务
123+阅读 · 2021年5月8日
周志华教授:如何做研究与写论文?
专知会员服务
161+阅读 · 2019年10月9日
最新BERT相关论文清单,BERT-related Papers
专知会员服务
53+阅读 · 2019年9月29日
震动学界!张益唐被曝已证明黎曼猜想相关问题
THU数据派
0+阅读 · 2022年10月17日
国家自然科学基金
0+阅读 · 2015年12月31日
国家自然科学基金
0+阅读 · 2014年12月31日
国家自然科学基金
0+阅读 · 2013年12月31日
国家自然科学基金
0+阅读 · 2013年12月31日
国家自然科学基金
0+阅读 · 2013年12月31日
国家自然科学基金
0+阅读 · 2012年12月31日
国家自然科学基金
0+阅读 · 2012年12月31日
国家自然科学基金
0+阅读 · 2011年12月31日
国家自然科学基金
0+阅读 · 2009年12月31日
国家自然科学基金
1+阅读 · 2009年12月31日
Arxiv
0+阅读 · 2023年1月18日
Arxiv
0+阅读 · 2023年1月13日
已删除
Arxiv
32+阅读 · 2020年3月23日
Arxiv
14+阅读 · 2018年5月15日
VIP会员
相关VIP内容
NAACL 2022论文奖项公布:5篇论文斩获最佳
专知会员服务
24+阅读 · 2022年7月1日
Nature论文: DeepMind用AI引导直觉解决数学猜想难题
专知会员服务
31+阅读 · 2021年12月2日
ICCV2021接受论文!
专知会员服务
27+阅读 · 2021年7月23日
【干货书】从初等问题看数学的本质,400页pdf
专知会员服务
65+阅读 · 2021年5月28日
ICML 2021论文收录
专知会员服务
123+阅读 · 2021年5月8日
周志华教授:如何做研究与写论文?
专知会员服务
161+阅读 · 2019年10月9日
最新BERT相关论文清单,BERT-related Papers
专知会员服务
53+阅读 · 2019年9月29日
相关基金
国家自然科学基金
0+阅读 · 2015年12月31日
国家自然科学基金
0+阅读 · 2014年12月31日
国家自然科学基金
0+阅读 · 2013年12月31日
国家自然科学基金
0+阅读 · 2013年12月31日
国家自然科学基金
0+阅读 · 2013年12月31日
国家自然科学基金
0+阅读 · 2012年12月31日
国家自然科学基金
0+阅读 · 2012年12月31日
国家自然科学基金
0+阅读 · 2011年12月31日
国家自然科学基金
0+阅读 · 2009年12月31日
国家自然科学基金
1+阅读 · 2009年12月31日
相关论文
Top
微信扫码咨询专知VIP会员