图像检索在高德地图POI数据生产中的应用

2021 年 11 月 4 日 阿里技术


一  背景

POI 是 Point of Interest 的缩写。在电子地图上,POI 代表餐厅、超市、政府机关、旅游景点、交通设施等等 。POI是电子地图的核心数据。对普通用户而言,POI 数据包含的名称和位置信息,能够满足其使用电子地图“查找目的地”,进而唤起导航服务的基本需求;对电子地图而言,通过提供“搜索附近”、“点评”等操作,可提高用户的活跃时长。另外,POI数据是线上线下连接互动的一个纽带,是基于位置服务(Location Based Service)产业的一个重要组件。

高德通过自有海量的图像源,来保证现实世界的每一个新增的POI及时制作成数据。在较短时间间隔内(小于月度),同一个地方的POI 的变化量是很低的,如下图所示,只有“汤火功夫”POI是一个新增的挂牌。

图1. 同一地方上不同时间的POI牌匾对比

如果对全部POI进行处理的话,则会带来高昂的作业成本,因此需要对其中没有变化的POI进行自动化过滤,其中关键技术能力就是图像匹配,该场景是一个较为典型的图像检索任务。

1  技术定义

图像检索问题定义:给定查询图像(Query),通过分析视觉内容,在大型图像库中(Gallery)中搜索出相似的图像。该方向一直是计算机视觉领域的一个长期研究课题,在行人重识别、人脸识别、视觉定位等任务中均有广泛的研究。图像检索的核心技术是度量学习,其目标是在固定维度的特征空间中,约束模型将同类别样本拉近,不同类别样本推远。在深度学习时代,主要有几种经典的结构,包括:对比损失(contractive loss)、三元组损失(triplet loss)、中心损失(center loss)等,均是通过正负样本定义以及损失函数设计上进行优化。此外,图像检索还有一个必不可少的要素就是特征提取,通常包括:全局特征、局部特征、辅助特征等,主要是针对不同任务特点进行相应的优化,例如:行人重识别以及人脸识别具有很强的刚性约束,并且具备明显的关键特征(行人/人脸关键点),因此会将人体分割或关键点检测信息融合到模型特征提取中。

2  问题特点

POI牌匾的图像检索和学术上主流检索任务(如行人重识别)有着较大的区别,主要包括以下几点:异源数据、遮挡严重以及文本依赖性。

异源数据

行人重识别任务也存在异源数据问题,但是该任务的异源更多是不同相机拍摄以及不同场景的区别。而在POI牌匾检索场景中,存在更严重的异源数据问题,如下图所示:

图2. 不同拍摄条件下的异源图像

左图来自低质量相机,并且是前向拍摄;右图来自高质量相机,并且是侧向拍摄;因为相机拍摄质量以及拍摄视角不同,这就导致POI牌匾的亮度、形状、清晰度等都存在非常大的差异。而如何在差异较大的异源数据中实现POI牌匾检索,是一个非常具有挑战性的问题。

遮挡严重

在道路场景中,经常存在树木以及车辆等干扰信息,并且由于拍摄视角原因,拍摄到的POI牌匾经常会面临严重的遮挡问题,如下图所示:

图3. 遮挡严重的POI牌匾示例

而且该遮挡场景还是不规则的,导致很难对两个牌匾进行较好地特征对齐,这给POI牌匾检索带来巨大的挑战。

文本依赖性

POI牌匾还有一个独有特性就是对文本强依赖,主要是对POI名称文本的依赖。在下图场景中,两个牌匾的整体布局以及颜色都非常相似,但是其中POI名称发生了变化。而在该场景下,我们希望两个牌匾不要匹配,这就需要引入文本特征来增强特征区分性。不过,由于遮挡原因也会导致文本特征不同,因此需要结合图像特征进行权衡。而且,文本特征和图像特征来自多个模态,如何将多模信息进行融合也是该业务特有的技术难点。

图4. 仅文本变化的POI牌匾示例

二  技术方案

牌匾检索的技术方案主要包括数据迭代和模型优化两块。在数据生成部分,我们分为了冷启动自动生成数据以及模型迭代生成数据两个步骤。在模型优化部分,我们设计了一个多模态检索模型,包括视觉分支和文本分支两部分,主要是考虑到牌匾的文本信息比较丰富,因此将视觉信息与文本信息进行融合。针对视觉信息特征的提取,我们进一步设计了全局特征分支与局部特征分支,并分别进行了优化。整体技术框架如下图所示:

图5. 整体技术方案

首先利用传统匹配算法Sift自动生成模型所需的训练数据,完成模型的冷启动;并且在模型上线后,对线上人工作业结果进行自动挖掘,并组织成训练数据,以迭代模型优化。多模态检索模型是基于三元组损失(Triplet Los)的度量学习框架下进行设计的,输入包括了:1)POI牌匾的图像信息;2)POI牌匾的文本信息。图像信息使用双分支进行特征提取,文本信息使用BERT进行特征提取,最后再将文本特征与视觉特征进行融合。

1  数据

为训练检索模型,通常需要进行实例级标注,即按照POI牌匾粒度进行标注。而在不同资料中筛选同一POI牌匾是一件非常复杂的工作,如果进行人工标注的话,则会带来高昂的标注成本,并且无法大规模标注。因此,我们设计了一套简单高效的训练数据自动生成方式,可用于模型冷启动,整个环节无需任何人工标注。

我们借鉴了传统特征点匹配算法思想,利用Sift特征点匹配算法对两趟资料中的所有牌匾进行两两匹配,并通过内点数量对匹配结果进行筛选,即内点数量大于阈值的匹配牌匾视作同一牌匾。通常来说,传统特征点匹配算法会存在泛化性不足问题,由此生成的训练数据很可能导致模型无法很好学习,具体体现在:1)训练样本较为简单;2)类别冲突,即同一牌匾分为多个类别;3)类别错误,即不同牌匾分为同一类别。因此,我们针对该问题进行了相应优化:1)采用多趟资料匹配结果,提升同一类别下牌匾的多样性;2)采用Batch采样策略以及MDR loss[2]来降低模型对错误标签数据的敏感性。

具体来说,对于样本多样性问题,我们使用了多趟资料的匹配结果来生成训练数据,因为在不同资料中同一牌匾存在多张来自不同视角的拍摄结果,这就保证了同一类别下牌匾的多样性,避免了自动生成的样本都为简单样本问题。Batch采样策略即按类别进行采样,而数据中类别总数远远大于batch size,因此可以缓解类别冲突的问题。MDR loss是在Triplet loss基础上设计了根据不同距离区间进行正则化约束的新的度量学习框架,从而减少模型对对噪声样本的过拟合。

图6. MDR loss示意图,和Triplet loss相比增加了距离正则约束

图6 是Triplet loss和MDR loss的对比示意图。MDR loss希望正样本和anchor之间的距离不被拉到无限近,同时负样本也不希望被推到无限远。以类别错误噪声样本来说,不同牌匾被误分为同一类别,按照Triplet loss的优化目标则会强制模型将两者距离学习到无限近,这样的话,模型会过拟合到噪声样本上,从而导致最终效果较差。

2  模型

为了优化牌匾检索效果,我们融合了牌匾中的视觉信息与文本信息,设计了多模态检索模型。针对视觉信息,我们优化了模型全局特征和局部特征的提取能力。针对文本信息,我们使用BERT对牌匾的OCR结果进行编码,将其作为辅助特征,并与视觉特征融合后进行度量学习。

全局特征

通常对于检索任务来说,使用深度学习模型提取到的全局特征更为鲁棒,可以适应牌匾视角、颜色、光照变化等不同场景。为了进一步提升全局特征的鲁棒性,我们主要从以下两方面进行了优化:1)采用Attention机制,加强对重要特征的关注;2)网络backbone的改进,以关注到更多细粒度特征。

在我们的业务场景中,存在一些外观相似而细节有一定差异的牌匾,如图8 (c) 所示,在这种情况下,我们希望模型可以关注到牌匾中的细粒度信息,比如牌匾中文字的字体、文字排版或者是文字内容本身。而注意力机制则可以帮助模型在大量信息中准确地关注到能够区分不同牌匾更为关键的部分。因此,我们在网络中引入了注意力模块,让模型学习关键信息,以提升全局特征的辨别能力。我们采用了空间注意力机制SGE(Spatial Group-wise Enhance)[4],SGE通过对特征图上的每个空间位置生成一个注意力因子来调整每个空间位置处特征的重要性。SGE模块如图7所示。它首先对特征图进行了分组,然后对每组特征图计算语义特征向量,使用语义特征向量和特征图进行position-wise点乘,得到注意力图,然后将注意力图与特征图进行position-wise点乘,以此来增强特征,从而获得在空间上分布更好的语义特征。

图7. SGE示意图,引入了空间注意力机制

为了减少局部特征的损失,我们对网络backbone进行了改进,取消了ResNet网络最后一个block中的下采样,使得最终的特征图中包含更多的局部信息。除此之外,我们使用GeM[3]池化层替代了最后一个global average pooling,GeM是一种可学习的特征聚合方法,global max pooling和global average pooling都是它的特殊情况,使用GeM池化可以进一步提升全局特征鲁棒性。

局部特征

在针对全局特征进行优化以后,现有模型仍然在以下三个方面表现不够好:1)牌匾截断的情况,特征学习质量差,如图8(a);2)遮挡的牌匾,特征中引入一些无关的上下文信息,如图8(b);3)相似但不同的牌匾难以区分,如图8(c)。因此,我们进一步设计了局部特征分支[1],让模型更加关注牌匾的几何、纹理等局部信息,与全局特征共同做牌匾检索。

(a)

(b)

(c)
图8. 需局部特征优化的不同示例,(a)截断 (b)遮挡(c)文本变化

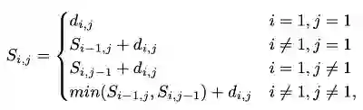
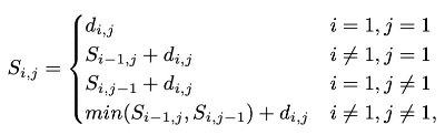
针对局部特征的提取,我们主要的思路是将牌匾垂直切分成几个部分,分别关注每个部分的局部特征[7],并对局部特征进行对齐后优化。对齐操作如下图9所示,首先将特征图进行垂直池化,得到分块的局部特征图,再计算两张图局部特征之间的相似度矩阵,然后根据公式1找到最短距离将两张图像进行对齐,其中,i,j分别表示两张图中的第i块特征和第j块特征,dij表示两张图中第i块和第j块特征的欧式距离。


公式1. 局部对齐计算公式

图9. POI牌匾局部对齐示意图

通过这种方式进行局部特征对齐,可以很好地提升牌匾在截断、遮挡、检测框不准等情况下的检索效果。

文本特征

POI牌匾对文本强依赖,可能存在仅牌匾名称文本发生变化的场景。我们设计的全局特征分支以及局部特征分支,虽然可一定程度上学习到文本特征,但是文本信息在整体信息中占比较小,并且监督信号仅为两张图是否相似,导致文本特征并没有被很好的学习到。因此,我们利用已有的文本OCR识别结果,并引入BERT对OCR结果进行编码得到文本特征,该特征作为辅助特征分支和视觉特征进行融合,融合后的特征用于最终的牌匾检索度量学习。值得注意的是,在对牌匾提取OCR结果时,为了减少单帧内识别结果不准的影响,我们利用了一趟资料内同一牌匾的多帧OCR结果,并且将所得到的OCR结果进行拼接,使用BERT对OCR结果特征编码时,对来自不同帧的OCR结果之间插入<SEP>符号做区分。

3  模型效果

在新的技术方案下,POI牌匾图像检索取得了非常好的效果,准确率和召回率都大于95%,大幅提升了线上指标,并且模型速度也有了巨大的提升。我们随机选择了一些匹配结果,如图10所示。

     

图10. 评测集中随机抽取的POI牌匾检索结果

我们在优化过程中,有一些非常难的Case也在逐渐被解决,如下图11所示:

图11. 评测集中难例展示,(a)(b)(c)是优化前的错误检索结果,(d)(e)(f)是优化后的检索结果

图(a)、(b)、(c)展示的是优化前的Bad case(左图为query图像,右图为Rank1检索结果),从Bad case中我们不难发现,牌匾检索对细粒度特征提取要求非常高,因为这些case普遍特点是具备整体相似性,但是局部特征有区别。这些Bad case就是我们设计的多模态检索模型的初衷,并且也在优化过程逐渐得以解决,如图(d)、(e)、(f)所示。我们提出的多模态检索模型通过对全局特征优化以及引入局部特征对齐,使得模型更多关注到牌匾上更有区分性的局部特征,如文字信息,文字字体、板式,牌匾纹理等,因此我们的模型对于外观相似的不同牌匾具有更好的区分能力,如图(a)和图(d)效果对比。此外,由于不同视角牌匾存在遮挡、拍摄时的光照强度不同以及不同相机色彩差异大等因素,部分牌匾只利用视觉特征检索非常困难。因此,我们通过辅助特征分支加入了OCR信息,进一步增强了特征的鲁棒性,使得牌匾检索可以综合考虑牌匾的视觉信息和牌匾中的文本信息进行检索,如图(b)和图(e)效果对比。

三  未来发展和挑战

图像检索是在高德地图数据自动化生产中的一次尝试,取得了不错的效果,并且已在实际业务中使用。但是模型并不是完美的,仍会存在Corner case,为了解决这些case,我们未来将会从半监督学习/主动学习自动补充数据,以及引入Transformer[9,10]优化特征提取和融合两方面进行探讨。

1  数据:基于半监督学习/主动学习的数据挖掘

数据是非常重要的,因为模型很难做到完美,总是会存在Corner case,而解决Corner case的一个非常高效的手段就是针对性补充数据。补充数据的关键是如何挖掘Corner case以及如何自动标注,该方向也是目前学术的研究热点,即半监督学习以及主动学习。半监督学习利用有标签数据训练出的模型来对海量无标签数据产生伪标签,进一步标签数据和伪标签数据混合后再优化模型。主动学习是利用有标签数据训练出的模型对海量无标签数据进行数据挖掘,并人工标注挖掘出的有价值数据。两者区别在于是否需要部分人工标注,半监督学习是完全由模型自身产生标签,但是可能导致模型效果存在上限,而主动学习则可以一定程度可提高该上限,因此未来需要深入研究两者的结合,从而更好的补充训练数据,解决Corner case。

2  模型:基于Transformer的特征提取与融合

Transformer是目前学术的研究热点,大量的工作已证明其在分类、检测、分割、跟踪以及行人重识别等任务上的有效性。和CNN相比,Transformer具有全局感受野以及高阶相关性建模的特点,使其在特征提取上有着更好的表征能力。此外,Transformer的输入较为灵活,可以方便地将其他模态信息进行编码,并和图像特征一起输入到模型中,因此其在多模特征融合上也有较大的优势。综上来看,Transformer可以通过对图像Patch的相关性建模来解决POI牌匾在遮挡/截断场景下的匹配效果,并且可以通过对文本特征编码来实现多模特征的融合。

本文参考文献

[1] Zhang X, Luo H, Fan X, et al. Alignedreid: Surpassing human-level performance in person re-identification[J]. arXiv preprint arXiv:1711.08184, 2017.
[2]Kim, Yonghyun, and Wonpyo Park. "Multi-level Distance Regularization for Deep Metric Learning." arXiv preprint arXiv:2102.04223,2021.
[3]Radenović F, Tolias G, Chum O. Fine-tuning CNN image retrieval with no human annotation[J]. IEEE transactions on pattern analysis and machine intelligence, 2018, 41(7): 1655-1668.
[4]Li X, Hu X, Yang J. Spatial group-wise enhance: Improving semantic feature learning in convolutional networks[J]. arXiv preprint arXiv:1905.09646, 2019.



中国计算机学会 × 高德地图 发布“POI名称生成”赛题,诚邀全球英才组队参加


为以上相关技术更好的应用于产业并帮助更多人美好出行,高德地图携手中国计算机学会在第九届CCF大数据与计算智能大赛发布“POI名称生成”赛题,该赛题与计算机视觉、NLP、多模融合等前沿技术相关,具有很大的技术价值和实际的社会应用价值。有奖金+CCF权威证书+总决赛嘉年华+绿通等多种奖项,欢迎感兴趣的同学关注和参与。详情及报名链接请点击【阅读原文】查看。


登录查看更多
5

相关内容

从20世纪70年代开始,有关图像检索的研究就已开始,当时主要是基于文本的图像检索技术(Text-based Image Retrieval,简称TBIR),利用文本描述的方式描述图像的特征,如绘画作品的作者、年代、流派、尺寸等。到90年代以后,出现了对图像的内容语义,如图像的颜色、纹理、布局等进行分析和检索的图像检索技术,即基于内容的图像检索(Content-based Image Retrieval,简称CBIR)技术。CBIR属于基于内容检索(Content-based Retrieval,简称CBR)的一种,CBR中还包括对动态视频、音频等其它形式多媒体信息的检索技术。

知识荟萃

精品入门和进阶教程、论文和代码整理等

更多

查看相关VIP内容、论文、资讯等
军事知识图谱构建技术
专知会员服务
139+阅读 · 2022年4月8日
基于RGB-D图像的语义场景补全研究进展综述
专知会员服务
29+阅读 · 2021年11月8日
专知会员服务
19+阅读 · 2021年5月16日
专知会员服务
62+阅读 · 2021年3月25日
「深度图像检索: 2012到2020」大综述论文,21页pdf
专知会员服务
43+阅读 · 2021年1月30日
专知会员服务
74+阅读 · 2021年1月16日
深度学习图像检索(CBIR): 十年之大综述
专知会员服务
47+阅读 · 2020年12月5日
专知会员服务
50+阅读 · 2020年6月14日
人脸识别常用开源数据集大全
极市平台
0+阅读 · 2022年2月26日
计算机视觉中的传统特征提取方法总结
极市平台
1+阅读 · 2021年12月9日
TPAMI 2019 | 鲁棒RGB-D人脸识别
计算机视觉life
11+阅读 · 2019年6月8日
基于二进制哈希编码快速学习的快速图像检索
极市平台
12+阅读 · 2018年5月17日
图像检索研究进展:浅层、深层特征及特征融合
中国计算机学会
122+阅读 · 2018年3月26日
行人再识别中的迁移学习
计算机视觉战队
11+阅读 · 2017年12月20日
基于图片内容的深度学习图片检索(一)
七月在线实验室
20+阅读 · 2017年10月1日
国家自然科学基金
1+阅读 · 2015年12月31日
国家自然科学基金
0+阅读 · 2014年12月31日
国家自然科学基金
0+阅读 · 2013年12月31日
国家自然科学基金
0+阅读 · 2012年12月31日
国家自然科学基金
3+阅读 · 2012年12月31日
国家自然科学基金
0+阅读 · 2011年12月31日
国家自然科学基金
0+阅读 · 2011年12月31日
国家自然科学基金
1+阅读 · 2009年12月31日
国家自然科学基金
1+阅读 · 2008年12月31日
Arxiv
16+阅读 · 2021年1月27日
Arxiv
13+阅读 · 2020年8月3日
A survey on deep hashing for image retrieval
Arxiv
15+阅读 · 2020年6月10日
W-net: Bridged U-net for 2D Medical Image Segmentation
Arxiv
20+阅读 · 2018年7月12日
VIP会员
相关VIP内容
军事知识图谱构建技术
专知会员服务
139+阅读 · 2022年4月8日
基于RGB-D图像的语义场景补全研究进展综述
专知会员服务
29+阅读 · 2021年11月8日
专知会员服务
19+阅读 · 2021年5月16日
专知会员服务
62+阅读 · 2021年3月25日
「深度图像检索: 2012到2020」大综述论文,21页pdf
专知会员服务
43+阅读 · 2021年1月30日
专知会员服务
74+阅读 · 2021年1月16日
深度学习图像检索(CBIR): 十年之大综述
专知会员服务
47+阅读 · 2020年12月5日
专知会员服务
50+阅读 · 2020年6月14日
相关资讯
人脸识别常用开源数据集大全
极市平台
0+阅读 · 2022年2月26日
计算机视觉中的传统特征提取方法总结
极市平台
1+阅读 · 2021年12月9日
TPAMI 2019 | 鲁棒RGB-D人脸识别
计算机视觉life
11+阅读 · 2019年6月8日
基于二进制哈希编码快速学习的快速图像检索
极市平台
12+阅读 · 2018年5月17日
图像检索研究进展:浅层、深层特征及特征融合
中国计算机学会
122+阅读 · 2018年3月26日
行人再识别中的迁移学习
计算机视觉战队
11+阅读 · 2017年12月20日
基于图片内容的深度学习图片检索(一)
七月在线实验室
20+阅读 · 2017年10月1日
相关基金
国家自然科学基金
1+阅读 · 2015年12月31日
国家自然科学基金
0+阅读 · 2014年12月31日
国家自然科学基金
0+阅读 · 2013年12月31日
国家自然科学基金
0+阅读 · 2012年12月31日
国家自然科学基金
3+阅读 · 2012年12月31日
国家自然科学基金
0+阅读 · 2011年12月31日
国家自然科学基金
0+阅读 · 2011年12月31日
国家自然科学基金
1+阅读 · 2009年12月31日
国家自然科学基金
1+阅读 · 2008年12月31日
Top
微信扫码咨询专知VIP会员