从零开始一起学习SLAM | 为啥需要李群与李代数?

2018 年 10 月 21 日 计算机视觉life

   点击上方蓝字关注我,置顶更快接收消息!

很多刚刚接触SLAM的小伙伴在看到李群和李代数这部分的时候,都有点蒙蒙哒,感觉突然到了另外一个世界,很多都不自觉的跳过了,但是这里必须强调一点,这部分在后续SLAM的学习中其实是非常重要的基础,不信你看看大神们的论文就知道啦。


关于李群李代数,其实高翔的《视觉SLAM十四讲》里推导什么的挺清楚了,本文就在高博的基础上用比较容易理解的语言讲述一下重点。


首先,假装(也可能是真的)自己是个小白,我们假想对面坐了一个大牛师兄,下面我们开启问答模式。


为啥需要李代数?

小白:师兄,我最近在学习SLAM,看到李群、李代数这一块一直看不懂,不知所云啊,师兄能不能用通俗易懂的方式给我讲解一下?

师兄:好啊,正好这会有空,讲完正好去吃饭。

小白:我请师兄吃烧烤!

师兄:哈哈,那我必须给你讲明白啦!现在开始吧。

小白:好,先问下师兄,我在看高博的书,前面几章挺顺利的,第四章突然跳出来李群和李代数,一堆公式推导,看的我头都大了。

师兄:这部分公式是有点多,不过李群李代数是为了解决SLAM中非常实际的问题的。到后面会用到的。

小白:看来逃不过啊。。。

师兄:是的,这部分必须理解的啊。刚才说到了解决SLAM中实际问题,我展开说下。我们知道SLAM的过程就是不断的估计相机的位姿和建立地图。其中,相机位姿也就是我们所说的变换矩阵T。

小白:嗯嗯,是。上节课《从零开始一起学习SLAM | 三维空间刚体的旋转》中还讲了变换矩阵呢!

师兄:对~下面举个例子说明。比如你拿着相机一边移动一边拍,假设某个时刻相机的位姿是T,它观察到一个在世界坐标系中的一个空间点p,并在相机上产生了一个观测数据z,那么

z = Tp + noise

noise是观测噪声。那么观测误差就是

e = z - Tp

小白:嗯,我 知道,我们的目的就是使得误差最小咯~

师兄:对的,假设我们总共有N个这样的三维点p和观测值z,那么我们的目标就是寻找一个最佳的位姿T,使得整体误差最小化,也就是


求解此问题,就是求目标函数J对于变换矩阵T的导数。

小白:嗯,对矩阵求导?第一次 听说啊。。

师兄:听起来确实有点怪。我们先来看看变换矩阵T,我们知道T所在的SE(3)空间,对加法计算并不封闭,也就是说任意两个变换矩阵相加后并不是一个变换矩阵,这主要是因为旋转矩阵对加法是不封闭造成的,它是有约束的。

小白:旋转矩阵对加法不封闭啥意思?

师兄:嗯,这个我一会会细讲,这里你先记住好了。到后面你就知道了

小白:好的,那刚才的问题怎么解决呢?

师兄:这个问题问的好,李代数就是解决这个问题的。我们把大写SE(3)空间的T映射为一种叫做李代数的东西,映射后的李代数我们叫做小se(3)好了。它是由向量组成的,我们知道向量是对加法封闭的。这样我们就可以通过对李代数求导来间接的对变换矩阵求导了。

小白:原来如此啊!不过刚才说了那么多概念,都是什么意思啊?


李群怎么理解?

师兄:不急,我一个个说。我先说说李群吧,额,不,先说说群吧。按照数学上定义:群(group)就是一种集合加上一种运算的代数结构。群有几个运算性质,好像高博说是“凤姐咬你”

小白:(瞪大了眼睛)嗯?

师兄:哦,谐音谐音。。。就是:封闭性,结合律,幺元,还有逆。对了,比如旋转矩阵和乘法就构成了旋转矩阵群,变换矩阵和乘法也构成了变换矩阵群。对了,你说,旋转矩阵和加法能构成群吗?

小白:额。。刚才好像说不行吧?

师兄:嗯,不行的 ,他们不满足封闭性。刚才没有细讲,下面仔细解释原因。我们知道旋转矩阵R本身有一定的约束:


两个旋转矩阵R1+R2的结果就不能满足上述约束了,但是R1*R2满足。此外,旋转矩阵还满足结合律:R1*R2=R2*R1,还有幺元是单位矩阵I,也有逆矩阵满足R乘以R的逆等于幺元(单位阵)。还有,我们在SLAM里最常说的有两个,一个是特殊正交群SO(3),也就是旋转矩阵群,还有特殊欧氏群SE(3),也就是变换矩阵群,3代表是三维的。

小白:嗯嗯,书上看了,我差不多理解群是个什么东东了,那李群呢?

师兄:李群的定义是指连续光滑的群,比如我们前面说的旋转矩阵群SO(3),你想象你拿个杯子就可以在空间中以某个支点连续的旋转它,所以SO(3)它就是李群。如果你一般旋转一边移动它,也是连续的或者说光滑的运动,所以变换矩阵群SE(3)也是李群。


李代数是李群的亲戚吗?

小白:嗯,师兄,那李代数呢,它和李群都姓李,他们什么关系?

师兄:(一脸黑线)我个人的理解是这样的,就是我们相机在三维空间中是连续的旋转或者变换的嘛,刚才说过,而我们SLAM目的就是优化求解相机的这个最佳的位姿T(变换矩阵),优化方法一般都采用迭代优化的方法,每次迭代都更新一个位姿的增量delta,使得目标函数最小。这个delta就是通过误差函数对T微分得到的。也就是说我们需要对变换矩阵T求微分(导数),我们先以SO(3)空间中的旋转矩阵 R为例来说说吧,你觉得如何对R求微分呢?

小白:矩阵怎么求。。求微分,这个能微分吗?以前没有学过啊

师兄:可以的,李群和李代数都姓李(笑),你还别说,他们之间的确存在某种微分关系。我们先把结论放这里:李代数对应李群的正切空间,它描述了李群局部的导数

小白:也就是说,李代数对应了李群的导数?

师兄:可以这么理解,你可以去看一下十四讲中65-66页那部分的推导,我们只关注两个结论就行了

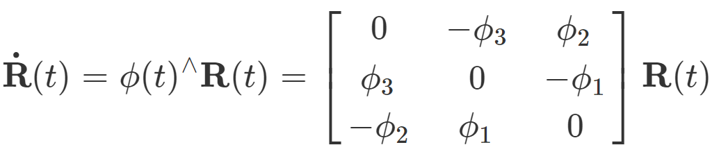
第一个结论:

看下面的公式,我们发现旋转矩阵的微分是一个反对称(也叫斜对称)矩阵左乘它本身,也印证了我前面说的,矩阵是可以微分的。对于某个时刻的R(t)(李群空间),存在一个三维向量φ=(φ1,φ2,φ3)(李代数空间),用来描述R在t时刻的局部的导数


反对称矩阵是啥?

小白:等一下,师兄,反对称矩阵是啥?第一次听说啊

师兄:哦哦,忘记解释了。反对称矩阵英文是skew symmetric matrix,有的地方也翻译为斜对称矩阵,其实是一个东西。

小白:这个反对称矩阵是啥意思?

师兄:反对称矩阵其实是将三维向量和三维矩阵建立对应关系。它是这样定义的:如果一个3 X 3的矩阵A满足如下式子


那么A就是反对称矩阵。你看左边有个转置,右边有个负号,叫反对称矩阵,还是挺形象的。

小白:额,好像有点明白,不过这个有啥用啊?

师兄:先别急,先问你一个问题,你觉得反对称矩阵它的元素有什么特点?

小白:啊。。特点啊,我想想(一分钟过去了。。)

师兄:根据它的性质,先想想对角线元素。你看,上式等式左边矩阵A转置后,对角线元素aii是不是还在对角线上?

小白:对哦,师兄好厉害

师兄:额。。别打岔,等式右边,所有元素取负号,那么对于对角线元素aii来说,是不是满足aii=-aii?

小白:是哦,所以aii=0,也就是说反对称矩阵对角线元素都为0?

师兄:bingo!确实是这样。那么非对角线元素还有6个,它们能不能精简呢?

小白:我想想,感觉好像是有重复的,好像可以用更少的元素来表示

师兄:没错!我举个例子,等式左边第2行第1列位置的元素,是矩阵A元素a12转置后到了位置a21,等式右边原来a21变成了 -a21,所以其实对于矩阵A,元素a12 = -a21,所以用一个元素及其负数就可以表示矩阵中这两个元素,同理,其他4个元素也是这样。所以,其实矩阵A中非对角线元素只用3个元素就可以表示。也就是说反对称矩阵A只有3个自由度。

小白:嗯呢,师兄好厉害!不过。。。知道这些有啥用啊?

师兄:这个反对称矩阵只有3个自由度很重要啊,这样我们就可以把一个三维向量和一个三维矩阵建立对应关系。

小白:师兄,感觉还是很抽象啊

师兄:哦哦,那我举个栗子给你看看。我们假设有一个反对称矩阵A的定义如下:


小白:等下,我看看是否满足性质:该矩阵的转置等于该矩阵元素取负数。。

师兄:你看是不是我们前面推算的一致啊,对角线元素为0,只有3个自由度?

小白:是哦,确实没错!师兄继续。。

师兄:我们定义对应的一个三维向量:


然后我们用一个上三角符号来表示这个向量α和三维矩阵A的对应关系


小白:这个符号感觉很神奇啊

师兄:是的,通过这个符号,我们把向量和矩阵建立了对应关系。这个在后面非常重要。你再看看前面的第一个结论


就好理解很多了。

小白:嗯嗯。确实是呢。师兄继续下一个结论吧。


指数映射

师兄:好 ,下面说说第二个结论。通过高博一系列辛苦的 计算(笑),我们最终得到下面式子,它的前提是R在原点附近的一阶泰勒展开,我们看到这个向量φ=(φ1,φ2,φ3)反应了R的导数性质,故称它在SO(3)上的原点 φ0 附近的正切空间上。这个φ正是李群大SO(3)对应的李代数小so(3)。


小白:好晕啊。。

师兄:你这么理解吧,李代数小so(3)是三维向量φ的集合,每个向量φi的反对称矩阵都可以表达李群(大SO(3))上旋转矩阵R的导数,而R和φ是一个指数映射关系。也就是说,李群空间的任意一个旋转矩阵R都可以用李代数空间的一个向量的反对称矩阵指数来近似。

小白:好绕的绕口令啊。。

师兄:没事,你只要记得用旋转矩阵表示的话就是李群空间,也是我们熟悉的表示方法。而用向量的反对称矩阵表示的话就是李代数空间,这两个空间建立了联系。

小白:师兄,那这个古怪的式子


如何计算呢?

师兄:嗯,这个用大一学的微积分就行。

小白:微积分忘的差不多了。。。

师兄:没事,其实就只用到指数e的泰勒展开


小白:师兄,书上的推导好麻烦啊

师兄:先不管具体推导过程,我们先来看看结论,你说的那个指数形式的古怪的式子通过运用泰勒展开,以及反对称矩阵的性质,我们可以得到如下结果:


其中:三维向量 φ = θa,a是一个长度为1的方向向量。看到这个式子有没有觉得很神奇?

小白:好像在哪里见过啊

师兄:嗯,这个式子和罗德里格斯公式长的一模一样

小白:忘了什么是罗德里格斯公式了。。。

师兄:你还记得旋转的表示方法吗?有旋转矩阵、旋转向量、欧拉角、四元数,而罗德里格斯公式是表示从旋转向量到旋转矩阵的转换过程

小白:师兄这么一说,我想起来了,旋转向量也有一个旋转角θ,旋转轴也是单位方向向量

师兄:其实旋转向量就是这里的李代数

小白:啊?这怎么会扯上关系?

师兄:你可能有点反应不过来,不过的确小so(3)的李代数空间就是由旋转向量组成的的空间,其物体意义就是旋转向量。而前面结论二中的指数映射关系就是罗德里格斯公式,他们在数学上本质是一样

小白:真的好神奇啊

师兄:嗯,这样我们可以说旋转矩阵的导数可以由其对应的旋转向量指定,指导如何在旋转矩阵中进行微积分运算。

小白:这样就好理解多了


李群李代数之间的指数对数映射关系

师兄:嗯,反过来,用对数映射也能把大SO(3)李群空间中元素映射到小so(3)李代数空间中去。前面我们都是讲的SO(3)上的映射关系,放到SE(3)上推导类似,也是泰勒展开,旋转矩阵R映射结果和SO(3)一样,平移部分指数映射后会有稍许的不同,它前面多了一个系数矩阵,这些都可以自己证明一下(留作作业)。

小白:嗯嗯,师兄,是不是只要记住高博大神书上的对应关系图就行啦?


师兄:这个图要理解透彻

小白:对了,师兄,好像还有一个左扰动,右扰动什么的,这个是干什么用的呀

师兄:这个是用李代数解决求导问题时使用的方法。对了,李代数是对加法封闭的吗?

小白:嗯,李代数是由向量组成的,向量对加法运算是封闭的。

师兄:嗯,学的真快!你说的没错。李代数求导分两种:一种是用李代数表示位姿,然后根据李代数加法来对李代数求导。这种方法书中也推导了,结果中有复杂的雅克比公式,不是很方便。一般都用第二种,就是对李群进行左乘或者右乘微小的扰动,然后对该扰动求导。书上高博也推导了,你看结果还是挺简洁的。

小白:那我们就用扰动模型好啦

师兄:确实实际SLAM问题中,扰动模型比较实用方便。扰动模型的推导一定要自己推一遍哦

小白:嗯,我尽量。。谢谢师兄耐心解答,走,请你吃烧烤去。


以上内容参考了高博的《视觉SLAM十四讲》,SLAM入门必备,优惠购买链接

彩蛋

李群李代数部分有不少推导,其中最难理解的3个推导是SO(3)左扰动模型,SO(3)李代数求导,SE(3)左扰动模型,知识星球:从零开始学习SLAM中关于上面3个过程的推导进行了视频讲解,见下面视频:

如果你还在一个人痛苦的学习SLAM,可以关注下方,一起从零开始,学习更多SLAM知识。


本讲练习

1、重要理论推导题

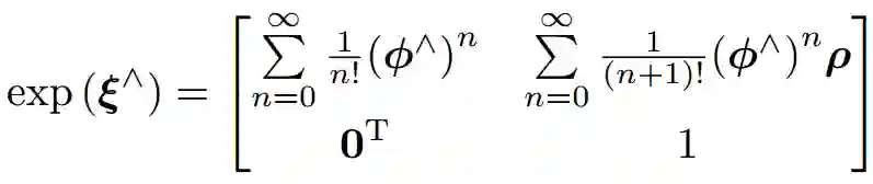
推导李代数小se(3)的指数映射。

我们知道对于大SE(3),其对应的李代数为小se(3)。其定义如下

证明1:

证明2:令ρ=θa,那么

提示:

参考《视觉SLAM十四讲》P68-71页内容。参考SO(3) 的泰勒展开,然后合并奇偶数项级数


2、编程练习

SLAM问题的目标之一就是精确的估计相机运动的轨迹(姿态),如果我们将相机运动的轨迹绘制出来,就可以直观的观察它的运动是否符合预期。给定一个轨迹文件trajectory.txt,该文件的每一行由若干个数据组成,格式为 [time, tx, ty, tz, qx, qy, qz, qw],其中 time 为时间,tx,ty,tz 为平移部分,qx,qy,qz,qw 是四元数表示的旋转部分,请完成数据读取部分的代码,绘制部分代码已经给出。


公众号菜单栏回复:“轨迹”,即可下载上面代码框架和轨迹数据。


欢迎留言讨论,更多学习视频、文档资料、参考答案等在菜单栏点击“知识星球”,进入《知识星球:从零开始一起学习SLAM》和其他学习SLAM学的伙伴一起学习交流~


相关阅读

从零开始一起学习SLAM | 为什么要学SLAM?

从零开始一起学习SLAM | 学习SLAM到底需要学什么?

从零开始一起学习SLAM | SLAM有什么用?

从零开始一起学习SLAM | C++新特性要不要学?

从零开始一起学习SLAM | 为什么要用齐次坐标?

从零开始一起学习SLAM | 三维空间刚体的旋转

零基础小白,如何入门计算机视觉?

长按图片关注 “计算机视觉life”  

点Ad点赞 = 赞赏                                                                    

登录查看更多
3

相关内容

【开放书】SLAM 中的几何与学习方法,62页pdf
专知会员服务
111+阅读 · 2020年6月5日
【新书】傻瓜式入门深度学习,371页pdf
专知会员服务
194+阅读 · 2019年12月28日
专知会员服务
87+阅读 · 2019年12月13日
SLAM中VIO的优势及入门姿势
计算机视觉life
87+阅读 · 2019年5月7日
从零开始一起学习SLAM | 掌握g2o边的代码套路
计算机视觉life
5+阅读 · 2019年3月6日
从零开始一起学习SLAM | 点云到网格的进化
计算机视觉life
13+阅读 · 2019年1月9日
从零开始一起学习SLAM | 点云平滑法线估计
计算机视觉life
4+阅读 · 2018年12月28日
从零开始一起学习SLAM | 给点云加个滤网
计算机视觉life
6+阅读 · 2018年12月18日
从零开始一起学习SLAM | 你好,点云
计算机视觉life
9+阅读 · 2018年11月26日
从零开始一起学习SLAM | 神奇的单应矩阵
计算机视觉life
9+阅读 · 2018年11月11日
从零开始一起学习SLAM | SLAM有什么用?
计算机视觉life
18+阅读 · 2018年9月17日
从零开始一起学习SLAM | 学习SLAM到底需要学什么?
计算机视觉life
8+阅读 · 2018年9月9日
【泡泡机器人原创专栏】IMU预积分总结与公式推导(三)
泡泡机器人SLAM
10+阅读 · 2018年7月26日
S4Net: Single Stage Salient-Instance Segmentation
Arxiv
10+阅读 · 2019年4月10日
Arxiv
11+阅读 · 2018年9月28日
Arxiv
6+阅读 · 2018年2月8日
Arxiv
4+阅读 · 2018年1月29日
VIP会员
相关资讯
SLAM中VIO的优势及入门姿势
计算机视觉life
87+阅读 · 2019年5月7日
从零开始一起学习SLAM | 掌握g2o边的代码套路
计算机视觉life
5+阅读 · 2019年3月6日
从零开始一起学习SLAM | 点云到网格的进化
计算机视觉life
13+阅读 · 2019年1月9日
从零开始一起学习SLAM | 点云平滑法线估计
计算机视觉life
4+阅读 · 2018年12月28日
从零开始一起学习SLAM | 给点云加个滤网
计算机视觉life
6+阅读 · 2018年12月18日
从零开始一起学习SLAM | 你好,点云
计算机视觉life
9+阅读 · 2018年11月26日
从零开始一起学习SLAM | 神奇的单应矩阵
计算机视觉life
9+阅读 · 2018年11月11日
从零开始一起学习SLAM | SLAM有什么用?
计算机视觉life
18+阅读 · 2018年9月17日
从零开始一起学习SLAM | 学习SLAM到底需要学什么?
计算机视觉life
8+阅读 · 2018年9月9日
【泡泡机器人原创专栏】IMU预积分总结与公式推导(三)
泡泡机器人SLAM
10+阅读 · 2018年7月26日
Top
微信扫码咨询专知VIP会员