深度神经网络可解释性方法汇总,附Tensorflow代码实现

2019 年 11 月 7 日 新智元



  新智元推荐  

编辑:元子
【新智元导读】理解神经网络:人们一直觉得深度学习可解释性较弱。然而,理解神经网络的研究一直也没有停止过,本文就来介绍几种神经网络的可解释性方法,并配有能够在Jupyter下运行的代码连接。新智元 AI 朋友圈和AI大咖们一起讨论吧。


理解神经网络:人们一直觉得深度学习可解释性较弱。然而,理解神经网络的研究一直也没有停止过,本文就来介绍几种神经网络的可解释性方法,并配有能够在Jupyter下运行的代码连接。


Activation Maximization

通过激活最化来解释深度神经网络的方法一共有两种,具体如下:
 
1.1 Activation Maximization (AM)
相关代码如下:
http://nbviewer.jupyter.org/github/1202kbs/Understanding-NN/blob/master/1.1%20Activation%20Maximization.ipynb 



1.2 Performing AM in Code Space
相关代码如下:
http://nbviewer.jupyter.org/github/1202kbs/Understanding-NN/blob/master/1.3%20Performing%20AM%20in%20Code%20Space.ipynb


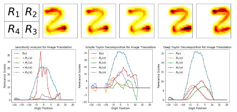
Layer-wise Relevance Propagation

层方向的关联传播,一共有5种可解释方法。 Sensitivity Analysis、Simple Taylor Decomposition、Layer-wise Relevance Propagation、Deep Taylor Decomposition、DeepLIFT。 它们的处理方法是: 先通过敏感性分析引入关联分数的概念,利用简单的Taylor Decomposition探索基本的关联分解,进而建立各种分层的关联传播方法。 具体如下:
 
2.1 Sensitivity Analysis
相关代码如下:
http://nbviewer.jupyter.org/github/1202kbs/Understanding-NN/blob/master/2.1%20Sensitivity%20Analysis.ipynb 
2.2 Simple Taylor Decomposition
相关代码如下:
http://nbviewer.jupyter.org/github/1202kbs/Understanding-NN/blob/master/2.2%20Simple%20Taylor%20Decomposition.ipynb 


2.3 Layer-wise Relevance Propagation
相关代码如下:
http://nbviewer.jupyter.org/github/1202kbs/Understanding-NN/blob/master/2.3%20Layer-wise%20Relevance%20Propagation%20%281%29.ipynb 
http://nbviewer.jupyter.org/github/1202kbs/Understanding-NN/blob/master/2.3%20Layer-wise%20Relevance%20Propagation%20%282%29.ipynb 


2.4 Deep Taylor Decomposition
相关代码如下:
http://nbviewer.jupyter.org/github/1202kbs/Understanding-NN/blob/master/2.4%20Deep%20Taylor%20Decomposition%20%281%29.ipynb 
http://nbviewer.jupyter.org/github/1202kbs/Understanding-NN/blob/master/2.4%20Deep%20Taylor%20Decomposition%20%282%29.ipynb 


2.5 DeepLIFT
相关代码如下:
http://nbviewer.jupyter.org/github/1202kbs/Understanding-NN/blob/master/2.5%20DeepLIFT.ipynb 


Gradient Based Methods

基于梯度的方法有: 反卷积、反向传播, 引导反向传播,积分梯度和平滑梯度这几种。 具体可以参考如下链接:
https://github.com/1202kbs/Understanding-NN/blob/master/models/grad.py 
详细信息如下:

3.1 Deconvolution
相关代码如下:
http://nbviewer.jupyter.org/github/1202kbs/Understanding-NN/blob/master/3.1%20Deconvolution.ipynb 


3.2 Backpropagation
相关代码如下:
http://nbviewer.jupyter.org/github/1202kbs/Understanding-NN/blob/master/3.2%20Backpropagation.ipynb 


3.3 Guided Backpropagation
相关代码如下:
http://nbviewer.jupyter.org/github/1202kbs/Understanding-NN/blob/master/3.3%20Guided%20Backpropagation.ipynb 


3.4 Integrated Gradients
相关代码如下:
http://nbviewer.jupyter.org/github/1202kbs/Understanding-NN/blob/master/3.4%20Integrated%20Gradients.ipynb 

3.5 SmoothGrad
相关代码如下:
http://nbviewer.jupyter.org/github/1202kbs/Understanding-NN/blob/master/3.5%20SmoothGrad.ipynb 


Class Activation Map

类激活映射的方法有3种,分别为: Class Activation Map、Grad-CAM、 Grad-CAM++。 在MNIST上的代码可以参考:
https://github.com/deepmind/mnist-cluttered
每种方法的详细信息如下:

4.1 Class Activation Map
相关代码如下:
http://nbviewer.jupyter.org/github/1202kbs/Understanding-NN/blob/master/4.1%20CAM.ipynb 


4.2 Grad-CAM
相关代码如下:
http://nbviewer.jupyter.org/github/1202kbs/Understanding-NN/blob/master/4.2%20Grad-CAM.ipynb 


4.3 Grad-CAM++
相关代码如下:
http://nbviewer.jupyter.org/github/1202kbs/Understanding-NN/blob/master/4.3%20Grad-CAM-PP.ipynb 


Quantifying Explanation Quality

虽然每一种解释技术都基于其自身的直觉或数学原理,但在更抽象的层次上确定好解释的特征并能够定量地测试这些特征也很重要。这里再推荐两种基于质量和评价的可解释性方法。具体如下:
 
5.1 Explanation Continuity
相关代码如下:
http://nbviewer.jupyter.org/github/1202kbs/Understanding-NN/blob/master/5.1%20Explanation%20Continuity.ipynb 

5.2 Explanation Selectivity
相关代码如下:
http://nbviewer.jupyter.org/github/1202kbs/Understanding-NN/blob/master/5.2%20Explanation%20Selectivity.ipynb 


 
参考文献


Sections 1.1 ~ 2.2 and 5.1 ~ 5.2 
[1] Montavon, G., Samek, W., Müller, K., jun 2017. Methods for Interpreting and Understanding Deep Neural Networks. arXiv preprint arXiv:1706.07979, 2017.
 
Section 1.3 
[2] Nguyen, A., Dosovitskiy, A., Yosinski, J., Brox, T., Clune, J., 2016. Synthesizing the preferred inputs for neurons in neural networks via deep generator networks. In: Advances in Neural Information Processing Systems 29: Annual Conference on Neural Information Processing Systems 2016, December 5-10, 2016, Barcelona, Spain. pp. 3387-3395.
 
[3] A. Dosovitskiy and T. Brox. Generating images with perceptual similarity metrics based on deep networks. In NIPS, 2016.
 
Section 2.3
[4] Bach, S., Binder, A., Montavon, G., Klauschen, F., Müller, K.R., Samek, W., 07 2015. On pixel-wise explanations for non-linear classi er decisions by layer-wise relevance propagation. PLOS ONE 10 (7), 1-46.
 
Section 2.4
[5] Montavon, G., Lapuschkin, S., Binder, A., Samek, W., Müller, K.R., 2017. Explaining nonlinear classi cation decisions with deep Taylor decomposition. Pattern Recognition 65, 211-222.
 
Section 2.5 
[6] Avanti Shrikumar, Peyton Greenside, and Anshul Kundaje. Learning Important Features Through Propagating Activation Differences. arXiv preprint arXiv:1704.02685, 2017.
 
Section 3.1
[7] Zeiler, M. D., Fergus, R., 2014. Visualizing and understanding convolutional networks. In: Computer Vision - ECCV 2014 - 13th European Conference, Zurich, Switzerland, September 6-12, 2014, Proceedings, Part I. pp. 818-833.
 
Section 3.2 
[8] K. Simonyan, A. Vedaldi, and A. Zisserman. Deep inside convolutional networks: Visualising image classification models and saliency maps. In Workshop at International Conference on Learning Representations, 2014.
 
Section 3.3
[9] Jost Tobias Springenberg, Alexey Dosovitskiy, Thomas Brox, and Martin Riedmiller. Striving for simplicity: The all convolutional net. arXiv preprint arXiv:1412.6806, 2014.
 
Section 3.4
[10] Mukund Sundararajan, Ankur Taly, and Qiqi Yan. Axiomatic attribution for deep networks. arXiv preprint arXiv:1703.01365, 2017.
 
Section 3.5
[11] Daniel Smilkov, Nikhil Thorat, Been Kim, Fernanda Viégas, and Martin Wattenberg. SmoothGrad: removing noise by adding noise. arXiv preprint arXiv:1706.03825, 2017.
 
Section 4.1 
[12] Bolei Zhou, Aditya Khosla, Agata Lapedriza, Aude Oliva, and Antonio Torralba. Learning deep features for discriminative localization. In Proceedings of the IEEE Conference on Computer Vision and Pattern Recognition, pp. 2921–2929, 2016.
 
Section 4.2 
[13] R. R.Selvaraju, A. Das, R. Vedantam, M. Cogswell, D. Parikh, and D. Batra. Grad-cam: Why did you say that? visual explanations from deep networks via gradient-based localization. arXiv:1611.01646, 2016.
 
Section 4.3
[14] A. Chattopadhyay, A. Sarkar, P. Howlader, and V. N. Balasubramanian. Grad-cam++: Generalized gradient-based visual explanations for deep convolutional networks. CoRR, abs/1710.11063, 2017.

登录查看更多
34

相关内容

Jupyter Notebook是以网页的形式打开,可以在网页页面中直接编写代码和运行代码,代码的运行结果也会直接在代码块下显示的程序。如在编程过程中需要编写说明文档,可在同一个页面中直接编写,便于作及时的说明和解释。
基于深度学习的多标签生成研究进展
专知会员服务
147+阅读 · 2020年4月25日
3D目标检测进展综述
专知会员服务
193+阅读 · 2020年4月24日
Sklearn 与 TensorFlow 机器学习实用指南,385页pdf
专知会员服务
131+阅读 · 2020年3月15日
《深度学习》圣经花书的数学推导、原理与Python代码实现
《强化学习—使用 Open AI、TensorFlow和Keras实现》174页pdf
专知会员服务
139+阅读 · 2020年3月1日
近期必读的9篇 CVPR 2019【视觉目标跟踪】相关论文和代码
一网打尽!100+深度学习模型TensorFlow与Pytorch代码实现集合
《动手学深度学习》(Dive into Deep Learning)PyTorch实现
专知会员服务
121+阅读 · 2019年12月31日
TensorFlow 2.0 学习资源汇总
专知会员服务
67+阅读 · 2019年10月9日
深度神经网络模型训练中的最新tricks总结【原理与代码汇总】
人工智能前沿讲习班
172+阅读 · 2019年3月6日
基于Numpy实现神经网络:反向传播
论智
5+阅读 · 2018年3月21日
手把手教 | 深度学习库PyTorch(附代码)
数据派THU
27+阅读 · 2018年3月15日
手把手教TensorFlow(附代码)
深度学习世界
15+阅读 · 2017年10月17日
手把手教你由TensorFlow上手PyTorch(附代码)
数据派THU
5+阅读 · 2017年10月1日
【理解】GAN 的理解与 TensorFlow 的实现
GAN生成式对抗网络
4+阅读 · 2017年8月23日
Symbolic Priors for RNN-based Semantic Parsing
Arxiv
3+阅读 · 2018年9月20日
Arxiv
6+阅读 · 2018年1月29日
Arxiv
27+阅读 · 2017年12月6日
VIP会员
相关VIP内容
基于深度学习的多标签生成研究进展
专知会员服务
147+阅读 · 2020年4月25日
3D目标检测进展综述
专知会员服务
193+阅读 · 2020年4月24日
Sklearn 与 TensorFlow 机器学习实用指南,385页pdf
专知会员服务
131+阅读 · 2020年3月15日
《深度学习》圣经花书的数学推导、原理与Python代码实现
《强化学习—使用 Open AI、TensorFlow和Keras实现》174页pdf
专知会员服务
139+阅读 · 2020年3月1日
近期必读的9篇 CVPR 2019【视觉目标跟踪】相关论文和代码
一网打尽!100+深度学习模型TensorFlow与Pytorch代码实现集合
《动手学深度学习》(Dive into Deep Learning)PyTorch实现
专知会员服务
121+阅读 · 2019年12月31日
TensorFlow 2.0 学习资源汇总
专知会员服务
67+阅读 · 2019年10月9日
相关资讯
深度神经网络模型训练中的最新tricks总结【原理与代码汇总】
人工智能前沿讲习班
172+阅读 · 2019年3月6日
基于Numpy实现神经网络:反向传播
论智
5+阅读 · 2018年3月21日
手把手教 | 深度学习库PyTorch(附代码)
数据派THU
27+阅读 · 2018年3月15日
手把手教TensorFlow(附代码)
深度学习世界
15+阅读 · 2017年10月17日
手把手教你由TensorFlow上手PyTorch(附代码)
数据派THU
5+阅读 · 2017年10月1日
【理解】GAN 的理解与 TensorFlow 的实现
GAN生成式对抗网络
4+阅读 · 2017年8月23日
Top
微信扫码咨询专知VIP会员