【论文笔记】基于强化学习的人机对话

2019 年 9 月 21 日 专知

【导读】人机对话已经广泛应用于日常生活,比如苹果的siri,微软的小冰等等。本篇论文作者基于强化学习,针对给定环境和对话长度,设计了一种新的算法(RL-DAGM)。


论文地址:

https://arxiv.org/pdf/1807.07255.pdf


作者在本篇论文中提高了交互的多样性,并提高了人的参与度,因此作者自己准备了数据集,这个在后半部分会进行详细介绍。

01

对话行为分类

在阐述模型之前,先说一下作者在模型中使用的分类器。作者通过一个分类器将对话进行了分类,类别在实验部分的数据集内有简单介绍,分类器的实际例子如下所示:



分类器作者是基于双向RNN的GRU进行展开的。网络主要由embedding、biGRUs、MLP组成。

  • 句子进行embedding嵌入


  • 双向GRUs

  • MLP

02

对话生成模型

监督学习

作者在论文中提到,该模型通过学习两个人之间的对话来区分对话内容的种类,然后在接下来的对话中通过分类生成对话。


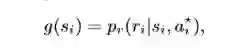
作者的对话模型由策略网络和生成网络两部分组成,首先历史聊天记录通过策略网络来挑选对话类别,然后基于聊天记录和对话类别通过生成网络进行对话。对话模型公式:

第二个公式表示第i组对话的类别;r_i表示生成的对话,p_a,p_r分别表示策略网络和生成网络;u_k为对话,a_k为对应的对话类别。



在策略网络中,我们可以从图中(b)看出,上半部分的输入a通过词嵌入以及GRU的计算得到最后的隐藏状态:



下半部分通过双向GRU得到隐藏状态h以及输出t,并通过一系列计算得到最后的输出:


最后通过MLP:



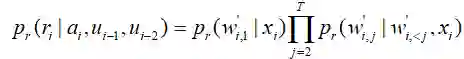
在生成网络中,作者基于sequence to-sequence框架,与标准的encoder-decoder不同的是在编码时使用了attention机制。


将embedding之后的数据输入网络中,编码的第k个隐藏状态用v_{i,k}表示:




然后通过attention机制:



这里W和v都是参数,指的是编码GRU的第j-1个隐藏状态,作者在论文中给出了第j个隐藏状态的计算公式:



最后计算生成概率:


黄框中是一组只有一个1的向量,表示对应w的索引。


生成网络的输出pr:



以上介绍是通过监督学习实现的,然而这种模型对于长对话来说会存在弊端(作者训练集中45%的对话不超过5回合),并且策略网络是在不知晓未来对话的情况下进行优化的,因此作者提出使用强化学习来优化模型。


强化学习

策略网络与监督学习中的表示相同,用pa(ai|si)表示,并定义了奖励:


E[len(.)]与E[rel(.)]的计算公式:


这里m( , )是双向LSTM计算所得,是用来计算相关度的。目标函数是为了最大化奖励:



03

实验

数据集

为了提高交互的多样性,作者在数据标注上做了分类,分别为CM.S,CM.Q,CM.A,CS.S,CS.Q,CS.A,O:



作者从百度贴吧中选取500个对话作为训练集,每个对话分别对应3个labels,作者使用了一个分类器将对话进行了分类。

实验设置

作者实验中参考的代码:

S2SA: sequence to sequence with attention (Bahdanau et al., 2015)(https://github.com/mila-udem/blocks)


HRED: the hierarchical encoder-decoder model (https://github.com/julianser/hed-dlg-truncated)


VHRED: the hierarchical latent variable encoder-decoder model (https://github.com/julianser/hed-dlg-truncated)


RL-S2S: dialogue generation with reinforcement learning (https://github.com/liuyuemaicha/Deep-Reinforcement-Learning-for-Dialogue-Generation-in-tensorflow)


实验结果

为了测试 模型的效果,作者将每组对话的最后一句作为背景,将历史对话输入到不同的模型中,作者并对输出的回答分为3个等级,以此来直观的评判模型的效果。等级2:回答的句子不仅相关性强,而且内容有趣;等级1:回答勉强可以,但没有足够的信息;等级0:回答毫无意义,或者无法错误。评估结果如下:



实例展示:


从中可以看出 SL-DAGM 和 RL-DAGM都有在尝试转新的话题。


THE

END

专 · 知


专知,专业可信的人工智能知识分发,让认知协作更快更好!欢迎登录www.zhuanzhi.ai,注册登录专知,获取更多AI知识资料!

欢迎微信扫一扫加入专知人工智能知识星球群,获取最新AI专业干货知识教程视频资料和与专家交流咨询

请加专知小助手微信(扫一扫如下二维码添加),加入专知人工智能主题群,咨询技术商务合作~

专知《深度学习:算法到实战》课程全部完成!560+位同学在学习,现在报名,限时优惠!网易云课堂人工智能畅销榜首位!

点击“阅读原文”,了解报名专知《深度学习:算法到实战》课程

登录查看更多
20

相关内容

人机对话,是人工智能领域的一个子方向,通俗的讲就是让人可以通过人类的语言(即自然语言)与计算机进行交互。作为人工智能的终极难题之一,一个完整的人机对话系统涉及到的技术极为广泛,例如计算机科学中的语音技术,自然语言处理,机器学习,规划与推理,知识工程,甚至语言学和认知科学中的许多理论在人机对话中都有所应用。
【CMU】基于图神经网络的联合检测与多目标跟踪
专知会员服务
59+阅读 · 2020年6月24日
一份简短《图神经网络GNN》笔记,入门小册
专知会员服务
226+阅读 · 2020年4月11日
【综述】自动驾驶领域中的强化学习,附18页论文下载
专知会员服务
176+阅读 · 2020年2月8日
专知会员服务
239+阅读 · 2020年1月23日
[综述]基于深度学习的开放领域对话系统研究综述
专知会员服务
80+阅读 · 2019年10月12日
最新BERT相关论文清单,BERT-related Papers
专知会员服务
53+阅读 · 2019年9月29日
【论文笔记】基于BERT的知识图谱补全
专知
116+阅读 · 2019年9月15日
【论文笔记】基于强化学习的句子摘要排序
【论文笔记】基于LSTM的问答对排序
专知
12+阅读 · 2019年9月7日
强化学习与文本生成
微信AI
41+阅读 · 2019年4月4日
论文浅尝 | 基于深度强化学习的远程监督数据集的降噪
开放知识图谱
29+阅读 · 2019年1月17日
Arxiv
26+阅读 · 2018年9月21日
Arxiv
22+阅读 · 2018年8月30日
Arxiv
5+阅读 · 2018年4月22日
Arxiv
14+阅读 · 2018年4月18日
VIP会员
相关资讯
相关论文
Top
微信扫码咨询专知VIP会员