【算法理解】从头开始理解梯度提升算法

2021 年 2 月 26 日 深度学习自然语言处理

点击上方,选择星标,每天给你送干货!



作者:Prince Grover

编译:ronghuaiyang(AI公园)


简化复杂的算法

动机

尽管大多数的Kaggle竞赛的获胜者使用了多个模型的集成,这些集成的模型中,有一个必定是各种变体的梯度提升算法。举个例子,Kaggle竞赛:Safe Driver Prediction:https://www.kaggle.com/c/porto-seguro-safe-driver-prediction/discussion/44629#250927,Michael Jahrer的方案,使用了表示学习,使用了6个模型的综合。1个LightGBM和5个神经网络。尽管他的成功归功他使用了结构化的数据进行了半监督学习,梯度提升算法也实现了非常重要的部分。

尽管GBM使用的非常广泛,许多使用者仍然把这个东西当做一个黑盒子算法,只是使用预编译好的库跑一跑。写这篇文章的目的是简化复杂的算法,帮助读者可以直观的理解算法。我会解释原汁原味的梯度提升算法,然后分享一些变种的链接。我基于fast.ai的库做了一个决策树的代码,然后构建了一个自己的简单的基础的梯度提升模型。

Ensemble, Bagging, Boosting的简单描述

当我们使用一个机器学习技术来预测目标变量的时候,造成实际值和预测值之间的差别的原因有噪声,方差和偏差。集成方法能够帮助减少这些因素(除了噪声,不可约误差)。

Ensemble是几个预测器在一起(比如求平均),给出一个最终的结果。使用ensemble的原因是许多不同的预测器预测同一个目标会比单个预测器的效果要好。Ensemble技术又可以分成Bagging和Boosting。

  • Bagging是一个简单的ensemble的技术,我们构建许多独立的预测器/模型/学习器,通过模型平均的方式来组合使用。(如权值的平均,投票或者归一化平均)

我们为每个模型使用随机抽样,所以每个模型都不太一样。每个模型的输入使用有放回的抽样,所以模型的训练样本各不相同。因为这个技术使用了许多个不相关的学习器来进行最终的预测,它通过减少方差来减小误差。bagging的一个例子是随机森林模型。

  • Boosting 在对模型进行ensemble的时候,不是独立的,而是串行的。

这个技术使用了这样的逻辑,后面的预测器学习的是前面的预测器的误差。因此,观测数据出现在后面模型中的概率是不一样的,误差越大,出现的概率越高。(所以观测数据不是基于随机又放回抽样bootstrap的方式,而是基于误差)。预测器可以从决策树,回归器,分类器中选取。因为新的预测器是从前面的预测器的误差中学习的,接近实际的预测只需要更少的时间和迭代次数。但是我们不得不选择严格的停止策略,否则可能会出现过拟合。梯度提升算法就是提升算法的一个例子。

Fig 1. Ensembling

Fig 2. Bagging (independent models) & Boosting (sequential models). Reference: https://quantdare.com/what-is-the-difference-between-bagging-and-boosting/


梯度提升算法

梯度提升是一个机器学习技术,用来做回归和分类的问题,通过组合弱预测模型如决策树,来得到一个强预测模型。(维基百科定义)

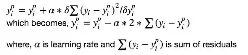
监督学习算法的目标是定义一个损失函数,然后最小化它。我们来看看,数学上梯度提升算法是怎么工作的。比如我们使用均方误差(MSE)作为损失函数:

我们希望我们的预测让我们的损失函数最小。通过使用梯度提升算法,基于一个学习率来更新我们的预测,我们会发现一个让MSE最小的值。

所以,我们基本上是在更新预测,让残差的和接近于0(或者最小),这样预测的值就和实际的值足够的接近了。

梯度提升背后的直觉

梯度提升背后的逻辑很简单,(可以很直观的理解,不用数据公式)。我希望读这篇文章的人能够熟悉一下简单的线性回归模型。

线性回归模型的一个基本的假设是残差是0,也就是说,参数应该在0的周围分散。

现在,把这些残差作为误差提交到我们的预测模型中。尽管,基于树的模型(将决策树作为梯度提升的基础模型)不是基于这个假设,但是如果我们对这个假设进行逻辑思考,我们也许能提出,如果我们能发现在0的周围的残差一些模式,我们可以利用这个模式来拟合模型。

所以,梯度提升背后的直觉就是重复的利用残差中的模式利用弱预测器来加强模型,让模型变得更好。一旦我们到了一个阶段,残差不具有任何的模式,无法进行建模,我们就可以停止了(否则会导致过拟合)。从算法的角度讲,我们在最小化损失函数,直到测试损失达到最小。

总结一下:

  • 我们首先使用一个简单的模型对数据进行建模,分析数据的误差。

  • 这些误差表示数据点使用简单的模型很难进行拟合。

  • 然后对于接下来的模型,我们特别的专注于将那些难于拟合的数据,把这些数据预测正确。

  • 最后,我们将所有的预测器组合起来,对于每个预测器给定一个权重。

拟合梯度提升模型的步骤

我们来模拟一些数据,如下面的散点图所示,一个输入,一个输出。

上面的数据是通过下面的python代码生成的。

  x = np.arange(0,50)
 x = pd.DataFrame({'x':x})
 
 # just random uniform distributions in differnt range
 
 y1 = np.random.uniform(10,15,10)
 y2 = np.random.uniform(20,25,10)
 y3 = np.random.uniform(0,5,10)
 y4 = np.random.uniform(30,32,10)
 y5 = np.random.uniform(13,17,10)
 
 y = np.concatenate((y1,y2,y3,y4,y5))
 y = y[:,None]

1. 拟合一个简单的线性回归模型或者决策树模型(在我的代码中选择了决策树)[x作为输入,y作为输出]

  xi = x # initialization of input
 yi = y # initialization of target
 # x,y --> use where no need to change original y
 ei = 0 # initialization of error
 n = len(yi)  # number of rows
 predf = 0 # initial prediction 0
 
 for i in range(30): # loop will make 30 trees (n_estimators).
     tree = DecisionTree(xi,yi) # DecisionTree scratch code can be found in shared github/kaggle link.
                                # It just create a single decision tree with provided min. sample leaf
     tree.find_better_split(0)  # For selected input variable, this splits (<n and >n) data so that std. deviation of
                                # target variable in both splits is minimum as compared to all other splits
     
     r = np.where(xi == tree.split)[0][0]   #  finds index where this best split occurs
     
     left_idx = np.where(xi <= tree.split)[0] # index lhs of split
     right_idx = np.where(xi > tree.split)[0] # index rhs of split

2.计算误差,实际的目标值,最小化预测目标值 [e1= y - y_predicted1 ]

3.把误差作为目标值,拟合新的模型,使用同样的输入数据[叫做e1_predicted]

4. 将预测的误差加到之前的预测之中[y_predicted2 = y_predicted1 + e1_predicted]

5. 在剩下的残差上拟合另一个模型, [e2 = y - y_predicted2],重复第2到第5步,直到开始过拟合,或者残差的和开始不怎么变换。过拟合可以通过验证数据上的准确率来发现。

      # predictions by ith decisision tree
     
     predi = np.zeros(n)
     np.put(predi, left_idx, np.repeat(np.mean(yi[left_idx]), r))  # replace left side mean y
     np.put(predi, right_idx, np.repeat(np.mean(yi[right_idx]), n-r))  # right side mean y
     
     predi = predi[:,None]  # make long vector (nx1) in compatible with y
     predf = predf + predi  # final prediction will be previous prediction value + new prediction of residual
     
     ei = y - predf  # needed originl y here as residual always from original y    
     yi = ei # update yi as residual to reloop

为了帮助理解划线部分的概念,这里有个链接,有完整的梯度提升模型的实现 [[Link: Gradient Boosting from scratch]](https://www.kaggle.com/grroverpr/gradient-boosting-simplified/)。

梯度提升树的可视化工作

蓝色的点(左边)是输入(x),红色的线(左边)是输出(y)显示了决策树的预测值,绿色的点(右边)显示了第i次迭代的残差vs.输入(x),迭代表示拟合梯度提升树的了序列的顺序。

Fig 5. Visualization of gradient boosting predictions (First 4 iterations)

Fig 6. Visualization of gradient boosting predictions (18th to 20th iterations)

我们发现过了20个迭代,残差变成了0附近的随机分布(我不会说是随机正态分布),我们的预测也非常接近于实际值。这时可以停止训练模型了,否则要开始过拟合了。

我们来看看,50个迭代之后的样子:

Fig 7. Visualization of gradient boosting prediction (iteration 50th)

我们发现,即使是50个迭代之后,残差vs. x的图和我们看到的20个迭代的图也没太大区别。但是模型正在变的越来越复杂,预测结果在训练数据上出现了过拟合。所以,最好是在20个迭代的时候就停止。

用来画图的python代码。

      # plotting after prediction
     xa = np.array(x.x) # column name of x is x
     order = np.argsort(xa)
     xs = np.array(xa)[order]
     ys = np.array(predf)[order]
     
     #epreds = np.array(epred[:,None])[order]
 
     f, (ax1, ax2) = plt.subplots(1, 2, sharey=True, figsize = (13,2.5))
 
     ax1.plot(x,y, 'o')
     ax1.plot(xs, ys, 'r')
     ax1.set_title(f'Prediction (Iteration {i+1})')
     ax1.set_xlabel('x')
     ax1.set_ylabel('y / y_pred')
 
     ax2.plot(x, ei, 'go')
     ax2.set_title(f'Residuals vs. x (Iteration {i+1})')
     ax2.set_xlabel('x')
     ax2.set_ylabel('Residuals')

我希望这个博客可以帮助你对梯度提升算法的工作有一个基本的直觉。为了理解梯度提升回归算法的细节,我强烈建议你读一读下面这些文章。

更多有用的资源
  1. 我的github仓库和kaggle的kernel的链接,从头开始GBM

    https://www.kaggle.com/grroverpr/gradient-boosting-simplified/https://nbviewer.jupyter.org/github/groverpr/Machine-Learning/blob/master/notebooks/01_Gradient_Boosting_Scratch.ipynb

  2. 一个直观和细致的梯度提升算法的解释

    http://explained.ai/gradient-boosting/index.html

  3. Fast.ai的github仓库链接,从头开始做决策树

    https://github.com/fastai/fastai

  4. Alexander Ihler的视频,这视频帮我理解了很多。

    https://youtu.be/sRktKszFmSk

  5. 最常用的GBM算法

    XGBoost || Lightgbm || Catboost || sklearn.ensemble.GradientBoostingClassifier




说个正事哈



由于微信平台算法改版,公号内容将不再以时间排序展示,如果大家想第一时间看到我们的推送,强烈建议星标我们和给我们多点点【在看】。星标具体步骤为:

(1)点击页面最上方深度学习自然语言处理”,进入公众号主页。

(2)点击右上角的小点点,在弹出页面点击“设为星标”,就可以啦。

感谢支持,比心



投稿或交流学习,备注:昵称-学校(公司)-方向,进入DL&NLP交流群。

方向有很多:机器学习、深度学习,python,情感分析、意见挖掘、句法分析、机器翻译、人机对话、知识图谱、语音识别等

记得备注呦


推荐两个专辑给大家:
专辑 | 李宏毅人类语言处理2020笔记
专辑 | NLP论文解读
专辑 | 情感分析

整理不易,还望给个在看!

登录查看更多
0

相关内容

用于回归和分类问题的机器学习技术,其以弱预测模型(通常为决策树)的集合的形式产生预测模型。
【经典书】数据结构与算法,770页pdf
专知会员服务
143+阅读 · 2021年4月15日
专知会员服务
183+阅读 · 2021年1月8日
专知会员服务
75+阅读 · 2020年12月7日
最新《机器学习:基本原理》2021新书,209页pdf
专知会员服务
134+阅读 · 2020年10月24日
集成学习入门
论智
8+阅读 · 2018年3月5日
机器学习新手必看10大算法
深度学习世界
4+阅读 · 2018年2月1日
算法|随机森林(Random Forest)
全球人工智能
3+阅读 · 2018年1月8日
免费|机器学习算法Python实现
全球人工智能
6+阅读 · 2018年1月2日
算法优化|梯度下降和随机梯度下降 — 从0开始
全球人工智能
8+阅读 · 2017年12月25日
ML笔记 | 零基础学懂机器学习(六)
七月在线实验室
5+阅读 · 2017年11月2日
LibRec 每周算法:Kaggle竞赛利器之xgboost
LibRec智能推荐
15+阅读 · 2017年8月24日
从决策树到随机森林:树型算法的原理与实现
机器之心
8+阅读 · 2017年7月31日
Arxiv
37+阅读 · 2021年2月10日
Arxiv
24+阅读 · 2021年1月25日
Learning from Few Samples: A Survey
Arxiv
77+阅读 · 2020年7月30日
Arxiv
12+阅读 · 2020年6月20日
VIP会员
相关VIP内容
【经典书】数据结构与算法,770页pdf
专知会员服务
143+阅读 · 2021年4月15日
专知会员服务
183+阅读 · 2021年1月8日
专知会员服务
75+阅读 · 2020年12月7日
最新《机器学习:基本原理》2021新书,209页pdf
专知会员服务
134+阅读 · 2020年10月24日
相关资讯
集成学习入门
论智
8+阅读 · 2018年3月5日
机器学习新手必看10大算法
深度学习世界
4+阅读 · 2018年2月1日
算法|随机森林(Random Forest)
全球人工智能
3+阅读 · 2018年1月8日
免费|机器学习算法Python实现
全球人工智能
6+阅读 · 2018年1月2日
算法优化|梯度下降和随机梯度下降 — 从0开始
全球人工智能
8+阅读 · 2017年12月25日
ML笔记 | 零基础学懂机器学习(六)
七月在线实验室
5+阅读 · 2017年11月2日
LibRec 每周算法:Kaggle竞赛利器之xgboost
LibRec智能推荐
15+阅读 · 2017年8月24日
从决策树到随机森林:树型算法的原理与实现
机器之心
8+阅读 · 2017年7月31日
Top
微信扫码咨询专知VIP会员