论文浅尝 | 基于事理图谱的脚本事件预测

2019 年 12 月 10 日 开放知识图谱

论文笔记整理:邱圣广,南京大学硕士,研究方向为自然语言处理。


链接:https://www.ijcai.org/proceedings/2018/0584.pdf

 

绪论

1.  脚本事件预测

脚本事件预测这个任务最早是由Chambers andJurafsky2008年提出来的,要求给定一个事件的上下文 (context),需要从候选列表中选出接下来最可能要发生的事件,如下图所示:

这是在餐馆场景下发生的一系列事件,根据已经发生的事件,5个候选事件中下一个最可能发生的事件就是离开餐馆(leave)。

2.  亮点

现有的关于脚本事件预测的方法主要是基于事件对和事件链的,但是会存在以下缺陷,如下图所示:


给定上下文:enter,order,serve现在要从talkeat这两个候选事件中选出下一个最可能发生的事件。在基于事件对和事件链的方法中,如(b)所示,在训练的时候,会发现(serve,talk)一起出现的频率要高于(serve,eat),因此在预测的时候选择talk的概率会更高;而在基于事件图结构(即事理图谱)的方法中,如(c)所示,(orderserveeat)构成了一个强联通分量,这暗示了eat更可能是正确答案。

3.  论文贡献

(1) 第一个在脚本事件预测这个任务上提出基于图结构的方法

(2) 提出一个大规模图神经网络(Scaled Graph Neural Network),从而可以对大规模稠密有向图中的事件关系进行建模,进而学习出更好的事件表示。


模型

1.  事理图谱(NEEG)的构建

(1)  从语料库中抽取事件链

从语料库中抽出所有事件链:, 其中 表示一个事件链 ,  e_i 表示事件,采用四元组的形式表示,其中 p 表示谓语动词, a0, a1,a2 分别表示谓语动词的主语、直接宾语、间接宾语; T 则是被这个事件链中所有事件共享的主人公。下面是一个事件链的例子:s_i = {T=customer, walk{T,restaurant,-}, seat(T,-,-), read(T,menu,-), order(T,food,-),serve(waiter,food,T),eat(T,food,fork)}

(2)  根据事件链构建图谱

根据抽出的事件链,事理图谱就可以形式化定义成一个图结构,其中每个节点代表事件, 中每条边表示事件之间的关系。

        为了解决稀疏问题,在图谱中每个事件都采用一种叫做谓词语法(predicate-GR)的形式 (v_i, r_i) 来表示,其中 v_i 表示为谓语动词,r_i 表示谓语动词与链实体之间的语法依赖关系,如 eat(T,food,fork)predicate-GR 表示就是 (eat,subj)

        然后每条有向边的权重就可以通过以下公式计算得到:

2.  大规模图神经网络(SGNN

SGNNGGNN的基础上进行改进,在训练阶段借鉴了分治的思想,只将当前所需子图作为训练样本,从而克服了GGNN不能处理大规模图的缺陷。整个模型的框架图如下所示:

其中(a)为部分事理图谱,(b)为本次训练所需子图,(c)为网络结构图,分为三部分:表示层、GGNN、相关性计算。下面将对这三部分进行介绍:

        表示层

将输入的事件转成向量表示(即初始化),给定一个事件,分别获得谓语动词以及参数的word embedding,即,文中采用三种不同的方法获取事件 e_i 的表示

        GGNN

GGNN用于更新事件表示,GGNN的输入为两个矩阵:初始隐藏层,  邻接矩阵 n, k 分别表示上下文事件、候选事件的个数,其中:

然后通过各种门不断地进行更新、计算,最终得到所有事件的最终表示h^t

        相关性计算

获取最终表示 后,就可以计算context和候选事件之间的相关性:


其中 g 表示相似度计算函数,常用的有以下几种:

然后给定上下文: e_1, e_2,...e_n,候选事件发生的可能性为:

选择可能性最大的候选事件。

        Attention机制

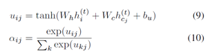
考虑到不同context在选择候选事件的时候占有的比重应该不同,所以作者加了一个attention机制,用来计算每个context对每个候选事件的权重,最后得到新的相似度计算函数:

        目标函数

其中  表示第 I context 和第 j 个候选事件之间的相似度,y 表示正确答案的下标,margin表示的是Margin loss参数, θ 表示模型参数。

实验

1. 数据集

数据集采用的是Gigaword语料库中的NYT部分,其统计情况如下:

2. 实验结果

作者与很多baseline进行了比较,实验结果表明:

(1) 基于神经网络的模型要比传统统计学习的模型要好。

(2) 基于事件图结构的模型要优于基于事件对或事件链的模型。

(3) 加了attention能够提高实验效果,说明不同context在选择时所占权重是不同的。

(4) 作者将自己的模型与baseline方法进行了结合,实验效果有不同程度的改变。

3. 比较性实验

作者还在验证集上进行了比较性的实验,从实验结果可以看到,采用连接方式获取事件表示,以及采用欧拉距离作为相似函数的时候,模型效果最好。


结论

本文提出了一种基于事理图谱的脚本事件预测方法,通过引入一个大规模图神经网络,用来对事件关系进行建模并学习事件表示。通过实验结果表明,基于事件图结构的方法要比基于事件对、事件链的方法好。

 


 

OpenKG


开放知识图谱(简称 OpenKG)旨在促进中文知识图谱数据的开放与互联,促进知识图谱和语义技术的普及和广泛应用。

点击阅读原文,进入 OpenKG 博客。

登录查看更多
10

相关内容

【IJCAI2020】图神经网络预测结构化实体交互
专知会员服务
43+阅读 · 2020年5月13日
【ACL2020-Google】逆向工程配置的神经文本生成模型
专知会员服务
17+阅读 · 2020年4月20日
【SIGMOD2020-腾讯】Web规模本体可扩展构建
专知会员服务
32+阅读 · 2020年4月12日
【斯坦福大学-论文】实体上下文关系路径的知识图谱补全
报告 |事理图谱的构建及应用,附61页pdf
专知会员服务
196+阅读 · 2020年1月17日
知识图谱本体结构构建论文合集
专知会员服务
110+阅读 · 2019年10月9日
论文浅尝 | ICLR2020 - 基于组合的多关系图卷积网络
开放知识图谱
21+阅读 · 2020年4月24日
论文浅尝 | 面向时序知识图谱推理的循环事件网络
开放知识图谱
78+阅读 · 2019年9月22日
事理图谱:事件演化的规律和模式
哈工大SCIR
34+阅读 · 2019年7月19日
论文浅尝 | 使用循环神经网络的联合事件抽取
开放知识图谱
25+阅读 · 2019年4月28日
论文浅尝 | 基于知识库的类型实体和关系的联合抽取
开放知识图谱
35+阅读 · 2018年12月9日
刘挺 | 从知识图谱到事理图谱
开放知识图谱
49+阅读 · 2017年11月16日
Arxiv
92+阅读 · 2020年2月28日
Arxiv
3+阅读 · 2019年3月1日
Arxiv
4+阅读 · 2018年9月6日
Arxiv
27+阅读 · 2018年4月12日
Arxiv
8+阅读 · 2018年1月30日
VIP会员
相关VIP内容
【IJCAI2020】图神经网络预测结构化实体交互
专知会员服务
43+阅读 · 2020年5月13日
【ACL2020-Google】逆向工程配置的神经文本生成模型
专知会员服务
17+阅读 · 2020年4月20日
【SIGMOD2020-腾讯】Web规模本体可扩展构建
专知会员服务
32+阅读 · 2020年4月12日
【斯坦福大学-论文】实体上下文关系路径的知识图谱补全
报告 |事理图谱的构建及应用,附61页pdf
专知会员服务
196+阅读 · 2020年1月17日
知识图谱本体结构构建论文合集
专知会员服务
110+阅读 · 2019年10月9日
相关资讯
论文浅尝 | ICLR2020 - 基于组合的多关系图卷积网络
开放知识图谱
21+阅读 · 2020年4月24日
论文浅尝 | 面向时序知识图谱推理的循环事件网络
开放知识图谱
78+阅读 · 2019年9月22日
事理图谱:事件演化的规律和模式
哈工大SCIR
34+阅读 · 2019年7月19日
论文浅尝 | 使用循环神经网络的联合事件抽取
开放知识图谱
25+阅读 · 2019年4月28日
论文浅尝 | 基于知识库的类型实体和关系的联合抽取
开放知识图谱
35+阅读 · 2018年12月9日
刘挺 | 从知识图谱到事理图谱
开放知识图谱
49+阅读 · 2017年11月16日
Top
微信扫码咨询专知VIP会员