比DGL快14倍:PyTorch图神经网络库PyG上线了

2019 年 3 月 9 日 机器之心

机器之心报道

参与:路、王淑婷、李泽南


图神经网络是最近 AI 领域最热门的方向之一,很多图神经网络框架如 graph_netsDGL 已经上线。但看起来这些工具还有很多可以改进的空间。近日,来自德国多特蒙德工业大学的研究者们提出了 PyTorch Geometric,该项目一经上线便在 GitHub 上获得 1500 多个 star,并得到了 Yann LeCun 的点赞。现在,创建新的 GNN 层更加容易了。


项目链接:https://github.com/rusty1s/pytorch_geometric

LeCun评价:一个快速且漂亮的几何深度学习库(适用于图神经网络与其他不规则结构)

PyTorch Geometric 主要是现有模型快速重新实现的集合(具有定制化的稀疏操作),如果你想尝试一下特定的已发布模型,它会是一个很不错的选择;如果想实现更为复杂的结构,其自定义稀疏/分散操作也非常方便。

PyTorch Geometric是基于PyTorch构建的深度学习库,用于处理不规则结构化输入数据(如图、点云、流形)。除了一般的图形数据结构和处理方法外,它还包含从关系学习到3D数据处理等领域中最新发布的多种方法。通过利用稀疏 GPU 加速、提供专用的 CUDA 内核以及为不同大小的输入样本引入高效的小批量处理,PyTorch Geometric 实现了很高的数据吞吐量。

PyTorch Geometric(PyG)库包含易用的小批量加载器(mini-batch loader)、多GPU支持、大量常见基准数据集和有用的变换,适用于任意图像、三维网格(3D mesh)和点云。

其作者Matthias Fey 和 Jan E. Lenssen 来自德国多特蒙德工业大学,他们通过实验证明了该库已实现方法在图分类、点云分类、半监督节点分类等任务上的性能。此外,PyG 速度奇快,大大超过其它深度图神经网络库,如 DGL。


简单易用


PyTorch Geometric大大简化了实现图卷积网络的过程。比如,它可以用以下几行代码实现一个层(如edge convolution layer):


速度快


PyTorch Geometric 速度非常快。下图展示了这一工具和其它图神经网络库的训练速度对比情况:


最高比 DGL 快 14 倍!


已实现方法多


PyTorch Geometric 目前已实现以下方法,所有实现方法均支持 CPU 和 GPU 计算:



PyG 概览


图神经网络(GNN)最近成为在图、点云和流形上进行表征学习的强大方法。与规则域中常用的卷积层和池化层概念类似,GNN通过传递、变换和聚合信息来 (层级化地)提取局部嵌入。

但是,实现GNN并不容易,因为它需要在不同大小的高度稀疏与不规则数据上实现较高的GPU吞吐量。PyTorch Geometric (PyG) 是基于Pytorch构建的几何深度学习扩展库。它可以利用专门的CUDA内核实现高性能。在简单的消息传递API之后,它将大多数近期提出的卷积层和池化层捆绑成一个统一的框架。所有的实现方法都支持 CPU 和 GPU 计算,并遵循不变的数据流范式,这种范式可以随着时间的推移动态改变图结构。PyG已在MIT许可证下开源,它具备完备的文档,且提供了附带教程和示例。

PyG 用节点特征矩阵 X ∈ ℝ^(N×F) 和稀疏邻接元组(I,E)来表示图 G = (X, (I, E)),其中 I ∈ ℕ^(2×E) 以坐标(COO)格式编码边索引,E ∈ ℝ^(E×D)(可选地)保留D维边特征。所有面向用户的API(如数据加载路径、多GPU支持、数据增强或模型实例化)都受到了PyTorch的极大启发,以让用户尽可能地熟悉它们。

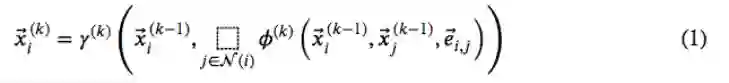
邻域聚合(neighborhood aggregation)。将卷积运算泛化至不规则域通常表示为邻域聚合或消息传递方案(Gilmer et al., 2017)



其中 ⬚ 表示可微置换不变函数(permutation invariant function),如求和、均值或最大值,r 和 
表示可微函数 ,如MLP。实践中,r 和 的逐元素计算可以通过收集和散射节点特征、利用广播来实现,如图1所示。尽管该方案处理的是不规则结构化输入,但它依然可以通过GPU实现大幅加速。

图 1:GNN 层计算方法。利用基于边索引 I 的收集和散射方法,从而在节点并行空间(parallel space)和边并行空间之间进行交替。 

PyG为用户提供通用的MessagePassing接口,以便对新的研究想法进行快速干净的原型制作。此外,几乎所有近期提出的邻域聚合函数都适用于此接口,其中包括PyG已经集成的方法。

全局池化。PyG提供多种readout函数(如global add、mean 或 max pooling),从而支持图级别输出,而非节点级别输出。PyG还提供更加复杂的方法,如 set-to-set (Vinyals et al., 2016)、sort pooling (Zhang et al., 2018) 和全局软注意力层 (Li et al., 2016)。

层级池化(Hierarchical Pooling)。为进一步提取层级信息和使用更深层的GNN模型,需要以空间或数据依赖的方式使用多种池化方法。PyG目前提供Graclus、voxel grid pooling、迭代最远点采样算法(iterative farthest point sampling algorithm)的实现示例,以及可微池化机制(如DiffPool和top_k pooling)。

小批量处理。PyG 可自动创建单个(稀疏)分块对角邻接矩阵(block-diagonal adjacency matrix),并在节点维度中将特征矩阵级联起来,从而支持对多个(不同大小)图实例的小批量处理。正因如此,PyG可在不经修改的情况下应用邻域聚合方法,因为不相连的图之间不会出现信息交流。此外,自动生成的 assignment 向量可确保节点级信息不会跨图聚合,比如当执行全局聚合运算时。

处理数据集。PyG提供统一的数据格式和易用的接口,方便使用者创建和处理数据集,大型数据集和训练期间可保存在内存中的数据集皆可适用。要想创建新数据集,用户只需读取/下载数据,并转换为PyG数据格式即可。此外,用户可以使用变换(transform,即访问单独的多个图并对其进行变换)方法来修改数据集,比如数据增强、使用合成结构化图属性来增强节点特征等,从而基于点云自动生成图,或者从网格中自动采样点云。

PyG目前支持大量常见基准数据集,它们均可在第一次初始化时自动下载和处理。具体来讲,PyG提供60多个 graph kernel 基准数据集 (Kersting et al., 2016),如 PROTEINS 或 IMDB-BINARY、引用网络数据集 Cora、CiteSeer、PubMed 和 Cora-Full (Sen et al., 2008; Bojchevski & Günnemann, 2018)、Coauthor CS/Physics 和 Amazon Computers/Photo 数据集 (Shchur et al. (2018)、分子数据集 QM7b (Montavon et al., 2013) 和 QM9 (Ramakrishnan et al., 2014),以及Hamilton 等人 (2017) 创建的蛋白质相互作用图。此外,PyG还提供嵌入式数据集,如MNIST超像素 (Monti et al., 2017)、FAUST (Bogo et al., 2014)、ModelNet10/40 (Wu et al., 2015)、ShapeNet (Chang et al., 2015)、COMA (Ranjan et al., 2018),以及 PCPNet 数据集 (Guerrero et al., 2018)。


实证评估


半监督节点分类


表 1:多个模型使用固定分割和随机分割的半监督节点分类结果。

图分类


表 2:图分类。

点云分类


表3:点云分类。


看起来,图神经网络框架的竞争正愈发激烈起来,PyTorch Geometric 也引起了 DGL 创作者的注意,来自 AWS 上海 AI 研究院的 Ye Zihao 对此评论道:「目前 DGL 的速度比 PyG 慢,这是因为它 PyTorch spmm 的后端速度较慢(相比于 PyG 中的收集+散射)。在 DGL 的下一个版本(0.2)中,我们将报告新的模型训练速度数据,并提供基准测试脚本。我们还将提供定制内核支持以加速 GAT,敬请期待!」


论文链接:https://arxiv.org/abs/1903.02428



菜鸟发起「2019 菜鸟全球科技挑战赛—智能体积测量」,近百万元奖金等你来拿,点击阅读原文参与报名。

登录查看更多
7

相关内容

【KDD2020-清华大学】图对比编码的图神经网络预训练
专知会员服务
46+阅读 · 2020年6月18日
【WWW2020】DGL深度图神经网络实战教程,PPT+代码
专知会员服务
176+阅读 · 2020年4月12日
【CVPR2020】图神经网络中的几何原理连接
专知会员服务
57+阅读 · 2020年4月8日
Yann Lecun 纽约大学《深度学习(PyTorch)》课程(2020)PPT
专知会员服务
184+阅读 · 2020年3月16日
【ICLR2020】五篇Open代码的GNN论文
专知会员服务
48+阅读 · 2019年10月2日
开发 | PyTorch好助手:PyTorch Hub一键复现各路模型
PyTorch & PyTorch Geometric图神经网络(GNN)实战
专知
81+阅读 · 2019年6月1日
Github热门图深度学习(GraphDL)源码与框架
新智元
21+阅读 · 2019年3月19日
PyTorch 1.0 稳定版正式发布!
新智元
3+阅读 · 2018年12月8日
重磅 | PyTorch 0.4.0和官方升级指南来了!
AI前线
3+阅读 · 2018年4月25日
手把手教 | 深度学习库PyTorch(附代码)
数据分析
7+阅读 · 2018年3月20日
势头强劲: PyTorch周年大事记盘点
专知
4+阅读 · 2018年1月20日
SepNE: Bringing Separability to Network Embedding
Arxiv
3+阅读 · 2019年2月26日
Deep Graph Infomax
Arxiv
17+阅读 · 2018年12月21日
Arxiv
8+阅读 · 2018年1月25日
VIP会员
相关资讯
开发 | PyTorch好助手:PyTorch Hub一键复现各路模型
PyTorch & PyTorch Geometric图神经网络(GNN)实战
专知
81+阅读 · 2019年6月1日
Github热门图深度学习(GraphDL)源码与框架
新智元
21+阅读 · 2019年3月19日
PyTorch 1.0 稳定版正式发布!
新智元
3+阅读 · 2018年12月8日
重磅 | PyTorch 0.4.0和官方升级指南来了!
AI前线
3+阅读 · 2018年4月25日
手把手教 | 深度学习库PyTorch(附代码)
数据分析
7+阅读 · 2018年3月20日
势头强劲: PyTorch周年大事记盘点
专知
4+阅读 · 2018年1月20日
Top
微信扫码咨询专知VIP会员