旷视研究院新出8000点人脸关键点,堪比电影级表情捕捉

2019 年 4 月 24 日 极市平台

加入极市专业CV交流群,与6000+来自腾讯,华为,百度,北大,清华,中科院等名企名校视觉开发者互动交流!更有机会与李开复老师等大牛群内互动!

同时提供每月大咖直播分享、真实项目需求对接、干货资讯汇总,行业技术交流点击文末“阅读原文”立刻申请入群~


本文提出了“ 8000 点人脸关键点定位技术”——可通过 8000 个 3D 关键点实现全脸的精细定位,支持各种姿态表情,能在移动端实时运行。

作者 | 孙伟

来源 | 旷视研究院(已获授权,请勿二次转载)

https://zhuanlan.zhihu.com/p/62954487

 


导语

还记得创造了票房神话的电影《阿凡达》吗?其中最吸睛的技术,便是逼近真人水准的 CG 表情。当时,导演卡梅隆专门发明了一种带固定摄像头的特殊头盔,并在演员脸上绘制了许多绿点,用来追踪表情。这些“绿点”数据经过一系列复杂的处理,最终由电脑合成到虚拟角色上,成就了栩栩如生的 CG 表情。


《阿凡达》中复杂的表情捕捉系统

而如今,随着深度学习的发展,表情捕捉将不再需要笨重的设备和繁琐的流程。旷视研究院LLCV 组推出的“8000 点人脸关键点技术”,可以完美替代人脸上的“小绿点”,在手机上就可以实现精准的表情捕捉。


旷视研究院 LLCV 组的“8000点人脸关键点技术”,以单张彩色图像或单段视频作为输入,提取出面部稳定鲁棒的 8000 个 3D 关键点。通过 10,000,000 张人脸数据的训练,该技术可以精细刻画全脸 3D 特征,支持全方位姿态、各种极端表情,并且能在移动端平台实时运行。下方是三段demo。


夸张表情,惟妙惟肖


上下左右,全无死角


手机实测,又快又好


简介

在计算机视觉领域,人脸关键点定位一直是一个重要的话题。它是许多人脸技术和应用的基础。随着研究者的努力,一些形式简单的人脸关键点已经做的比较成熟,并已成功运用到诸多具体领域中,例如人脸识别,拍照美颜等。


现存的一个问题在于,所有现有方法都着力于“五官”等图像特征语义明显的部位,比如眼睛,鼻子,嘴巴;但是对一些“定义模糊”、或图像特征不明显的区域却束手无策,如眼袋,法令纹,颧骨,苹果肌等。可以说,人脸关键点技术仍然缺乏一种针对整张脸的分析手段。


旷视研究院 LLCV 组推出的“8000 点人脸关键点技术”,首次填补了这一空缺,让关键点覆盖全脸无死角。



基于3DMM的8000关键点定位方法

量变引起质变。半年前 LLCV 组推出了 1000 关键点,重在描述人脸的轮廓线,是由点到线的升级。而现今 LLCV 组推出的 8000 关键点,可以清晰描述人脸 3D 曲面信息,是从线到面的再次升级。


8000 点不只是简单的数量提升,它相比于前两者的难点在于:其中许多点并没有明确的语义信息,人都无法准确定义。因此,用神经网络直接预测所有点的坐标是非常难的一件事。为了解决这一难点,LLCV 组引入了名为 3D Morphable Model(3DMM)的人脸经验模型。


3DMM经验模型

3DMM 是一类参数化人脸模型的统称,它最早在 1999 年由一篇名为《A Morphable Model For The Synthesis Of 3D Faces》的论文提出,后续大多是基于这一工作的改进。现今常见的人脸模型包括 Basel Face Model(BFM)、FaceWarehouse、Large Scale Facial Model (LSFM)等等。


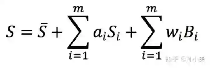
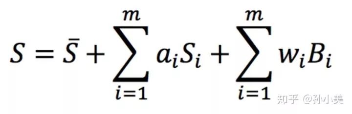
3DMM 的核心思想是:把人脸 3D 模型参数化。以人脸形状为例,参照下述公式,任何一个人的 3D 人脸形状都可用一个平均人脸形状和一些表示人脸特征的特征向量线性组合而成。



其中  表示平均人脸形状,  和  分别表示形状和表情维度的特征向量,  和  组成了人脸的参数化表示。下图就是一个典型实例,通过对  和  进行参数调制,获得一个和真人形状一致的 3D 人脸模型。

3DMM人脸参数调制示意图


调制参数求解

将 8000 点人脸关键点与 3DMM 进行映射之后,求解 8000 点的问题转化成求解 3DMM 调制系数的问题。同时为了让 2D 与 3D 结合,LLCV 组还需要考虑相机参数。这类问题的常见解决方法是制定如下所示的损失函数,并使用解最优化问题的方法。



其中 {  } 表示缩放旋转平移,是投影相关的系数,这里采用了平行投影的策略。n 表示有 n 个有明确语意定义的关键点。其中  表示第 i 个关键点在 3D 模型上的坐标,  表示第 i 个关键点在 2D 模型上的坐标。针对损失函数中的说明的“n个有明确语意定义的关键点”,现有方法都是使用以68点为例的传统人脸关键点。为了最大限度的提高调制参数求取的准确性,旷视研究院使用自己研发的旷视 1000 关键点作为描述人脸的输入。相比于传统人脸关键点,旷视 1000 点人脸关键点可以更加精确地描述五官和人脸的轮廓。


这个算法准确度非常高,但损失函数的繁琐决定了算法的高复杂度。使用该方法在 PC 端对一张人脸进行建模需要 2 分钟左右。


深度学习端到端训练

为了令上述方法能在手机端实时运行,旷视研究院采用了神经网络端到端学习,如下图所示。神经网络具备强大的学习能力,省略了凸优化算法中繁琐费时的迭代过程,端到端的直接学会了如何从一张人脸直接预测出其所需要的调制参数。



网络结构示意图

数据方面,为了让最终结果对光照、姿态、表情、遮挡等与人脸相关的因素都足够鲁棒,LLCV 组使用了旷视内部 10,000,000 规模的人脸数据集进行训练。


网络结构方面,LLCV 组使用旷视研究院最新版本的 ShuffleNet V2 网络结构。ShuffleNet V2 是针对移动端设计的高效卷积神经网络结构,它在速度和精度上均超越了同规模的 SOTA 网络(如旷视的 ShuffleNet V1,谷歌的 MobileNets, 微软亚研院的 IGV3 等)。


损失函数方面,LLCV 组在形式上与传统解优化方法一致,但是将网络的输出变为语义信息差距很大的三部分:形状参数 a、表情参数 w 和投影系数 {s,R,t}。为了让神经网络更好更快收敛,LLCV 组将三部分分开计算 Loss,即每部分使用损失函数计算 Loss 时,另外两部分都使用ground truth。同时,这三部分各自的 Loss 以动态权重加权成最终的损失函数。


最终训练的神经网络模型运算量为 32 MFLOPS,在中端处理器骁龙660 上的平均运行时间为:10.5ms,而在高端处理器骁龙855 上的平均运行时间可达:4ms,帧速率 250fps。


得到了调制参数,即可使用调制参数生成定制的人脸 3D 模型,进一步根据映射关系就可以得到人脸的 3D 关键点。显然,这里的人脸关键点都是 3D 的,每个关键点的坐标为 (x,y,z),它对人脸的描述更加合理,可以保证人脸在不同姿态时,每个关键点都保证自己的语义一致。


结论

8000 点人脸关键点,是从感知点到线再到面的进步,是从 2D 技术到 3D 技术的升级。在数字化世界逐渐完善的过程中,3D 技术是推进工业化和信息化“两化”融合的发动机。以 8000 点人脸关键点为代表的一系列 3D 技术,终将为计算机视觉技术的更好应用添一份助力。


参考文献

  • V. Blanz and T. Vetter, "A morphable model for the synthesis of 3D faces", In Proceedings of the 26th annual conference on Computer graphics and interactive techniques, 1999

  • P. Paysan, R. Knothe, B. Amberg, S. Romdhani and T. Vetter, "A 3D Face Model for Pose and Illumination Invariant Face Recognition", In Advanced video and signal based surveillance, 2009

  • J. Booth, A. Roussos, S. Zafeiriou, A. Ponniah and D. Dunaway, "A 3D Morphable Model learnt from 10,000 faces", In Computer Vision and Pattern Recognition (CVPR), 2016

  • J. Booth, A. Roussos, A. Ponniah, D. Dunaway and S. ZafeiriouLarge scale, "3D Morphable Models ", In International Journal of Computer Vision (IJCV), 2017

  • C. Chen, Y. Weng, S. Zhou, Y. Tong and K. Zhou, "FaceWarehouse: a 3D Facial Expression Database for Visual Computing", In IEEE Transactions on Visualization and Computer Graphics, 20(3): 413-425, 2014

  • N. Ma, X. Zhang, H. Zheng and J. Sun, "ShuffleNet V2: Practical Guidelines for Efficient CNN Architecture Design", In European Conference on Computer Vision (ECCV), 2018





*延伸阅读


点击左下角阅读原文”,即可申请加入极市目标跟踪、目标检测、工业检测、人脸方向、视觉竞赛等技术交流群,更有每月大咖直播分享、真实项目需求对接、干货资讯汇总,行业技术交流,一起来让思想之光照的更远吧~


觉得有用麻烦给个在看啦~  

登录查看更多
31

相关内容

旷视研究院是旷视设立的公司级研究机构,由旷视首席科学家孙剑博士担任旷视研究院院长 。在其带领下,旷视研究院的500多名研究人员紧密合作,通过基础创新突破AI技术边界,以工程创新实现技术到产品的快速转化,旷视研究院的科研成果包括AI生产力平台Brain++、开源深度学习框架天元MegEngine 、移动端高效卷积神经网络ShuffleNet等多项创新技术。 官网:https://research.megvii.com/
【天津大学】风格线条画生成技术综述
专知会员服务
35+阅读 · 2020年4月26日
【芝加哥大学】可变形的风格转移,Deformable Style Transfer
专知会员服务
31+阅读 · 2020年3月26日
【新加坡国立大学】深度学习时代数据库:挑战与机会
专知会员服务
35+阅读 · 2020年3月6日
姿势服装随心换-CVPR2019
专知会员服务
36+阅读 · 2020年1月26日
分析 | 抖音背后的计算机视觉技术
计算机视觉life
9+阅读 · 2019年5月31日
人脸专集2 | 人脸关键点检测汇总(文末有相关文章链接)
计算机视觉战队
25+阅读 · 2019年4月4日
从传统方法到深度学习,人脸关键点检测方法综述
机器之心
14+阅读 · 2017年12月17日
Deformable Style Transfer
Arxiv
14+阅读 · 2020年3月24日
Arxiv
5+阅读 · 2019年2月28日
Arxiv
5+阅读 · 2018年5月5日
Arxiv
6+阅读 · 2018年2月6日
VIP会员
Top
微信扫码咨询专知VIP会员