只需2040张图片,训练视觉Transformer:南大吴建鑫团队提出IDMM

2022 年 2 月 1 日 机器之心
机器之心报道
机器之心编辑部

预训练模型是否也能只需要很少的样本就能完成任务?

Transformer 架构的强大性能不仅在 NLP 领域成为了主流,也在代替卷积神经网络 CNN,成为视觉识别的一个方向(ViT)。一些 transformer 模型已经取得了有竞争力的结果,但因为缺乏典型的卷积归纳偏差使得它们比普通 CNN 需要更多的训练数据。

在南京大学吴建鑫团队近日提交的一篇论文中,研究者研究了如何使用有限数据训练 ViT,由于可以捕获特征对齐和实例相似性,新方法展现了优势。

在各种 ViT 主干下的 7 个小型数据集上从头开始训练之后,该研究获得了最先进的结果。研究者还讨论了小数据集的迁移能力,发现从小数据集学习的表示甚至可以改善大规模 ImageNet 的训练。


论文链接:https://arxiv.org/abs/2201.10728

Transformer 近来已广泛用于视觉识别,替代了卷积神经网络(CNN)。视觉 Transformer(ViT)是一种直接继承自自然语言处理的架构,但适用于以原始图像 patch 作为输入的图像分类。ViT 及其变体获得了可与 CNN 媲美的结果,但却需要更多的训练数据。

例如,在 ImageNet(128 万张图像)上训练时,ViT 的性能比具有相似容量的 ResNet 差。一个可能的原因可能是 ViT 缺乏 CNN 架构中固有的某些理想属性,这使得 CNN 非常适合解决视觉任务,例如局部性、平移不变性和层次结构。因此,ViT 通常需要比 CNN 更大量的数据进行训练。

为了缓解这个问题,很多工作都尝试将卷积引入 ViT。这些架构具有两种范式的优点,注意力层对远程依赖进行建模,而卷积则强调图像的局部属性。实验结果表明,这些在 ImageNet 上训练的 ViT 在该数据集上优于类似大小的 ResNet。

然而,ImageNet 仍是一个大规模数据集,当在小数据集(例如 2040 张图像)上训练时,这些网络的行为仍不清楚。该研究从数据、计算和灵活性的角度进行了分析,证明不能总是依赖如此大规模的数据集。

该论文探究了如何使用有限的数据从头开始训练 ViT。

该研究首先执行自监督预训练,然后对同一目标数据集进行监督微调,与(Cao et al.,2021)等人的方法类似。该研究重点关注自监督的预训练阶段,方法基于参数实例判别(parametric instance discrimination)。

从理论的角度分析,参数实例判别不仅可以捕获 positive pair 之间的特征对齐,还可以找出实例之间的潜在相似性,这要归功于最终可学习的全连接层 W。实验结果进一步验证了研究者的分析,该研究的方法比非参数方法实现了更好的性能。

众所周知,在大规模数据集上,高维全连接层的实例判别会受到大量 GPU 计算、内存过载和收敛速度慢的影响。由于该研究专注于小型数据集,因此不需要针对大型数据集的复杂策略。相反,该研究对小数据设置采用小分辨率、多裁剪和 CutMix 的方法,并且研究者还从理论和实验的角度对其进行了分析。

该研究将这种方法命名为带有 Multi-crop 和 CutMix 的实例判别(Instance Discrimination with Multi-crop and CutMix,IDMM)。实验结果表明,在 7 个小型数据集上从头开始训练多种 ViT 主干网络,实现了 SOTA 结果。例如,该研究在 flowers 数据集(含 2040 张图像)上从头开始训练模型,结果达到 96.7% 的准确率,这表明使用小数据集训练 ViT 是完全可以的。

此外,该研究首先分析了小数据集的迁移能力,并发现:即使在小型数据集上进行预训练,ViT 也具有良好的迁移能力,甚至可以促进对大规模数据集(例如 ImageNet)的训练。(Liu et al.,2021)也研究了使用小型数据集训练 ViT,但他们专注于微调阶段,而南大的这项研究专注于预训练阶段,并且南大的方法取得了更好的结果,其中在 flowers 数据集上获得的最佳准确率为 56.3%。

总的来说,该研究的主要贡献包括:

  • 提出了用于自监督 ViT 训练的 IDMM,即使在 7 个小型数据集上对各种 ViT 主干网络从头开始训练也能获得 SOTA 结果;

  • 对于在处理小数据时为什么应该更注重参数实例判别,该研究给出了损失角度的理论分析。此外,展示了 CutMix 等策略应如何从梯度的角度缓解不频繁更新的问题;

  • 该研究通过实验表明,投影 MLP 头对于非参数方法(例如,SimCLR)是必不可少的,但对于参数实例判别而言却不是,这要归功于实例判别中最终可学习的全连接层;

  • 分析了小数据集的迁移能力,发现即使在小数据集上进行预训练,ViT 也具有良好的迁移能力。



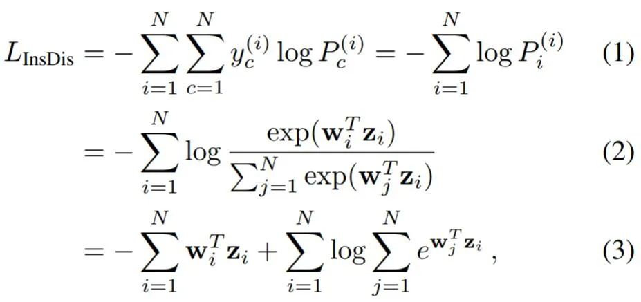
具体方法如上图所示,输入图像 x_i (i = 1, · · · , N) 被传至神经网络 f(·) 中,得到输出表征 z_i = f(x_i) ∈ R^d ,其中 N 表示实例总数。然后使用全连接层 W 进行分类,类数等于用于参数实例判别的训练图像总数 。随后将 w_j ∈ R^d 表示第 j 类的权重,W = [w_1| . . . |w_N ] ∈ R^(d×N) 包含所有 n 个类的权重。

因此有 ,其中第 j 类的输出是 。最后,将 O^(i) 被传到 softmax 层以获得有效的概率分布 P^(i)。



损失函数为:


其中上标 i 代表对实例求和,下标 c 代表对类求和。

实验结果

研究者在实验中使用了 7 个小型数据集,具体如下表 1 所示。


为什么要从头开始训练

为什么要直接在目标数据集上从头开始训练呢?研究者从以下三个方面进行了解答

  • 首先是数据。当前的 ViT 模型往往是在大规模数据集(如 ImageNet 或更大)上预训练,然后在各种下游任务中微调。典型卷积归纳偏差的缺失也使得这些模型比常见 CNN 更需要数据。因此,探究是否可以针对某个可用图像有限的任务从头开始训练 ViT 模型非常重要;

  • 其次是计算。大规模数据集、大量 epoch 和复杂的骨干网络,这些组合在一起意味着 ViT 训练的计算成本非常高。这种现象导致 ViT 模型成为少数机构研究人员才能使用的「特权」;

  • 最后是灵活性。下游微调范式之前的预训练有时会变得非常麻烦。例如,我们可能需要为同一个任务训练 10 个不同的模型,并将它们部署到不同的硬件平台,但在大规模数据集上预训练 10 个模型是不切实际的。


从头开始训练的结果

研究者提供了从头开始训练的结果。

在下表 2 和下图 4 中,研究者首先将 IDMM 与用于 CNN 和 ViT 的流行 SSL 方法进行了比较。公平起见,所有方法都预训练了 800 个 epoch,然后微调了 200 个 epoch。可以看出,即使从头开始训练,SSL 预训练也很有用,并且所有 SSL 方法的性能都比随机初始化好。

表 2:不同预训练方法之间的比较。

图 4:在花数据集上与不同 SSL 方法进行比较。所有模型都经过了同样 epoch 数的预训练和微调。

接着,研究者微调模型更长的 epoch,以获得更好的结果。具体来讲,他们使用 IDMM 初始化权重,先在 224x224 分辨率下微调了 800 个 epoch,然后在 448x448 分辨率下微调了 100 个 epoch。如下表 3 所示,当在这 7 个数据集上从头训练所有这些 ViT 模型时,IDMM 实现了 SOTA 结果。


小型数据集上的迁移能力

在下表 5 中,研究者评估了在不同数据集上预训练模型的迁移准确率。可以看到,即使在小型数据集上进行预训练,ViT 也具有良好的迁移能力。与 SimCLR 和 SupCon 相比,IDMM 在所有这些数据集上的迁移准确率也更高。即使预训练数据集和目标数据集不在同一个域中,研究者也可以获得非常好的结果。

在下表 6 中,研究者将 IDMM 与各种 SSL 方法以及不同主干下的监督基线方法进行了比较。结果显示,IDMM 比这些竞品方法有很大的优势,在 SIN-10k 上学到的表征可以在迁移到其他数据集时作为一个很好的初始化。


此外,研究者还探究了当在 ImageNet 上训练时,是否可以从 10,000 张图像的预训练中受益。从下表 7 可以看到,使用从 10,000 张图像中学到的表征作为初始化,可以大大加快训练过程,最终在 ImageNet 上实现了更高的准确率(提升约 1%)。


消融实验

最后,研究者对不同的组件进行了消融实验。所有实验使用 PyTorch 完成,并且在 ImageNet 实验中使用了 Titan Xp GPU,在小型数据集实验中使用了 Tesla K80.

如下表 8 所示,研究者提出的所有策略都很有用,策略的结合使用更是实现了 SOTA 结果。


在下表 9 中,所有方法在 SIN-10k 上预训练了 800 个 epoch,然后在迁移到目标数据集时微调了 200 个 epoch。 


该工作中,研究者对于 IDMM 的局限性进行了探讨,在像 DeiT 这样的架构上从头开始训练这些小型数据集时,模型仍有改进的空间。还有哪些属性对于小型数据集预训练起到关键作用?这还有待未来的进一步研究。



© THE END 

转载请联系本公众号获得授权

投稿或寻求报道:content@jiqizhixin.com

登录查看更多
0

相关内容

【CVPR2022】基于粗-精视觉Transformer的仿射医学图像配准
专知会员服务
36+阅读 · 2022年4月2日
人大最新《基于Transformer 的视频语言预训练》综述论文
专知会员服务
48+阅读 · 2021年9月27日
专知会员服务
18+阅读 · 2021年9月15日
专知会员服务
65+阅读 · 2021年4月11日
【CVPR2021】用Transformers无监督预训练进行目标检测
专知会员服务
58+阅读 · 2021年3月3日
无需训练,自动扩展的视觉Transformer来了
机器之心
0+阅读 · 2022年4月10日
国家自然科学基金
2+阅读 · 2015年12月31日
国家自然科学基金
4+阅读 · 2014年12月31日
国家自然科学基金
1+阅读 · 2014年12月31日
国家自然科学基金
1+阅读 · 2013年12月31日
国家自然科学基金
2+阅读 · 2013年12月31日
国家自然科学基金
1+阅读 · 2012年12月31日
国家自然科学基金
1+阅读 · 2012年12月31日
国家自然科学基金
0+阅读 · 2011年12月31日
国家自然科学基金
2+阅读 · 2009年12月31日
Arxiv
3+阅读 · 2022年4月19日
Arxiv
0+阅读 · 2022年4月17日
Sensitivity of sparse codes to image distortions
Arxiv
0+阅读 · 2022年4月15日
Arxiv
1+阅读 · 2022年4月15日
Transformers in Medical Image Analysis: A Review
Arxiv
40+阅读 · 2022年2月24日
Arxiv
19+阅读 · 2021年4月8日
Arxiv
19+阅读 · 2020年12月23日
VIP会员
相关基金
国家自然科学基金
2+阅读 · 2015年12月31日
国家自然科学基金
4+阅读 · 2014年12月31日
国家自然科学基金
1+阅读 · 2014年12月31日
国家自然科学基金
1+阅读 · 2013年12月31日
国家自然科学基金
2+阅读 · 2013年12月31日
国家自然科学基金
1+阅读 · 2012年12月31日
国家自然科学基金
1+阅读 · 2012年12月31日
国家自然科学基金
0+阅读 · 2011年12月31日
国家自然科学基金
2+阅读 · 2009年12月31日
相关论文
Arxiv
3+阅读 · 2022年4月19日
Arxiv
0+阅读 · 2022年4月17日
Sensitivity of sparse codes to image distortions
Arxiv
0+阅读 · 2022年4月15日
Arxiv
1+阅读 · 2022年4月15日
Transformers in Medical Image Analysis: A Review
Arxiv
40+阅读 · 2022年2月24日
Arxiv
19+阅读 · 2021年4月8日
Arxiv
19+阅读 · 2020年12月23日
Top
微信扫码咨询专知VIP会员