数学中那些非常奇葩的证明

2019 年 10 月 18 日 算法与数学之美


一、费马大定理证明


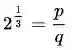
证: 是无理数


假设 是有理数,p和q是互素正整数


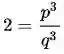
那么


移项得


又由费马大定理可知:


与费马大定理(Fermat's last therorem)矛盾, Q.E.D. (也可易证2的n分之一次方且n属于大于2的正整数时是无理数)


二:拉姆齐定理(通俗表述):6 个人中至少存在3人相互认识或者相互不认识。


证:证明如下:首先,把这6个人设为A、B、C、D、E、F六个点。由A点可以引出AB、AC、AD、AE、AF五条线段。设:如果两个人认识,则设这两个人组成的线段为红色;如果两个人不认识,则设这两个人组成的线段为蓝色。




由抽屉原理可知:这五条线段中至少有三条是同色的。不妨设AB、AC、AD为红色。若BC或CD为红色,则结论显然成立。若BC和CD均为蓝色,则若BD为红色,则一定有三个人相互认识;若BD为蓝色,则一定有三个人互相不认识。


三、无字证明





















文章来源:
https://www.zhihu.com/question/311526226/answer/599572636


————

编辑 ∑Gemini

 来源:超级数学建模


泰勒定理的奇闻轶事

丘成桐:漫谈微分几何

Leibniz 如何想出微积分?(一)

线性相关和秩的物理意义

数学史上你认为最丑陋的公式是什么?

陶哲轩谈什么是好的数学

田渊栋:数学的用处(下篇)

你绝对没想过原来数学家这么流氓,一言不合就进行暴力证明

世界上最牛的五篇博士论文

数学中有哪些巧合让人眼前一亮?

算法立功!清华毕业教授美国被抢车,警察无能为力自己用“贪心算法”找回

学术史上的奇文:怎样用数学抓狮子

台大教授的反思:最难的一课 我们却没教给学生

☞麻省理工学院(MIT)研究生学习指导—— 怎样做研究生

☞分享 数学,常识和运气 ——投资大师詹姆斯·西蒙斯2010年在MIT的讲座


算法数学之美微信公众号欢迎赐稿

稿件涉及数学、物理、算法、计算机、编程等相关领域,经采用我们将奉上稿酬。

投稿邮箱:math_alg@163.com

登录查看更多
1

相关内容

数学是关于数量、结构、变化等主题的探索。
最新《自动微分手册》77页pdf
专知会员服务
103+阅读 · 2020年6月6日
【实用书】数据科学基础,484页pdf,Foundations of Data Science
专知会员服务
122+阅读 · 2020年5月28日
【纽约大学】最新《离散数学》笔记,451页pdf
专知会员服务
131+阅读 · 2020年5月26日
【斯坦福大学Chelsea Finn-NeurIPS 2019】贝叶斯元学习
专知会员服务
38+阅读 · 2019年12月17日
三本书,帮你解决阅读难题
罗辑思维
8+阅读 · 2019年6月13日
清华美女学霸数学笔记曝光, 精美程度无与伦比
算法与数学之美
7+阅读 · 2019年3月22日
机器学习入门 | 刷新你三观的高数和线代教程
大数据技术
21+阅读 · 2019年3月22日
计算机和数学研究生学习生存手册
专知
12+阅读 · 2019年2月23日
做机器学习和AI必备的42个数学知识点
AI前线
9+阅读 · 2018年12月6日
合集 | 更好的解释(数学篇) 1~12
遇见数学
31+阅读 · 2018年10月11日
[遇见数学] 2017回顾 | 曾经推荐过的好书
遇见数学
4+阅读 · 2017年12月26日
Visualizing and Measuring the Geometry of BERT
Arxiv
7+阅读 · 2019年10月28日
Arxiv
5+阅读 · 2019年6月5日
Arxiv
3+阅读 · 2018年12月19日
The Matrix Calculus You Need For Deep Learning
Arxiv
12+阅读 · 2018年7月2日
VIP会员
相关资讯
三本书,帮你解决阅读难题
罗辑思维
8+阅读 · 2019年6月13日
清华美女学霸数学笔记曝光, 精美程度无与伦比
算法与数学之美
7+阅读 · 2019年3月22日
机器学习入门 | 刷新你三观的高数和线代教程
大数据技术
21+阅读 · 2019年3月22日
计算机和数学研究生学习生存手册
专知
12+阅读 · 2019年2月23日
做机器学习和AI必备的42个数学知识点
AI前线
9+阅读 · 2018年12月6日
合集 | 更好的解释(数学篇) 1~12
遇见数学
31+阅读 · 2018年10月11日
[遇见数学] 2017回顾 | 曾经推荐过的好书
遇见数学
4+阅读 · 2017年12月26日
Top
微信扫码咨询专知VIP会员