量子密钥分发实际安全性研究取得突破

2019 年 1 月 7 日 中科院之声

中国科学院院士、中国科学技术大学教授郭光灿团队在量子密码安全领域取得新进展,该团队的王双、银振强、陈巍、韩正甫等人针对量子密钥分发系统中单光子探测器实际特性展开研究,提出了包含后脉冲效应的系统优化模型,并利用雪崩过渡区非线性特性实现量子黑客攻击,为量子密钥分发系统的实际安全性分析和测评提供了新思路和技术手段。这两项成果同期发表在近期的Physical Review Applied上。

  

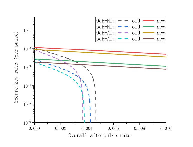
随着量子密钥分发系统速率不断提高,单光子探测器的后脉冲效应将显著增强。后脉冲是指探测器中的雪崩光电二极管在发生雪崩之后,一段时间内随机产生二次雪崩的现象。过去忽略后脉冲效应的模型需要修正:一方面后脉冲会在系统中引入更多的错误响应,另一方面系统参数的优化可有效提高安全密钥生成率。因此,韩正甫研究组基于自身多年来对探测器的深入研究[J. Lightwave. Technol. 34, 3610 (2016); J. Lightwave. Technol. 35, 4996 (2017)],利用后脉冲过程的非马尔科夫特性,提出了新的模型。该模型将高阶后脉冲考虑在内,给出了新的计数率和误码率的计算方法,显著提升了高速实用化系统的核心性能指标。

  

雪崩光电二极管探测器的非完美性会带来安全性漏洞,是实际系统安全性测评的重要内容。韩正甫研究组发现了门控模式单光子探测器的一种潜在漏洞,提出并实现了雪崩过渡区攻击方法。在门控信号从开启到关闭的过渡阶段,探测输出具有很强的非线性特性。通过控制攻击信号的光强和在过渡区的位置,量子黑客可以有效控制该探测器的响应,获取全部密钥信息而不被感知。该攻击方法为实际系统的安全性测评和标准化提供了技术储备。

  

这两篇论文的第一作者分别是博士生范元冠杰、钱泳君和实验师何德勇(共同第一作者),中国科大教授王双和银振强为文章的通讯作者。这项工作得到科技部、国家自然科学基金委、中科院和安徽省引导项目的资助。

 

 

图1.不同后脉冲率下新旧模型的密钥率对比


 

图2.雪崩过渡区原理图


来源:中国科学技术大学


温馨提示:近期,微信公众号信息流改版。每个用户可以设置 常读订阅号,这些订阅号将以大卡片的形式展示。因此,如果不想错过“中科院之声”的文章,你一定要进行以下操作:进入“中科院之声”公众号 → 点击右上角的 ··· 菜单 → 选择「设为星标」






登录查看更多
0

相关内容

深度学习可解释性研究进展
专知会员服务
103+阅读 · 2020年6月26日
FPGA加速系统开发工具设计:综述与实践
专知会员服务
69+阅读 · 2020年6月24日
最新《深度学习自动驾驶》技术综述论文,28页pdf
专知会员服务
156+阅读 · 2020年6月14日
最新《智能交通系统的深度强化学习》综述论文,22页pdf
大数据安全技术研究进展
专知会员服务
96+阅读 · 2020年5月2日
新时期我国信息技术产业的发展
专知会员服务
71+阅读 · 2020年1月18日
最新《分布式机器学习》论文综述最新DML进展,33页pdf
专知会员服务
121+阅读 · 2019年12月26日
CNCC技术论坛丨新型持久内存系统与安全
中国计算机学会
7+阅读 · 2019年9月15日
已删除
德先生
53+阅读 · 2019年4月28日
【智能驾驶】97页PPT,读懂自动驾驶全产业链发展!
区块链隐私保护研究综述——祝烈煌详解
计算机研究与发展
23+阅读 · 2018年11月28日
【优青论文】视觉问答技术研究
计算机研究与发展
13+阅读 · 2018年9月21日
中科院赵地:深度学习在 4 大超声影像中的应用
AI掘金志
9+阅读 · 2017年12月17日
综述——隐私保护集合交集计算技术研究
计算机研究与发展
22+阅读 · 2017年10月24日
李克强:智能车辆运动控制研究综述
厚势
21+阅读 · 2017年10月17日
基于深度学习的肿瘤图像分割研究取得进展
中科院之声
17+阅读 · 2017年9月17日
AliCoCo: Alibaba E-commerce Cognitive Concept Net
Arxiv
13+阅读 · 2020年3月30日
Arxiv
15+阅读 · 2020年2月6日
Learning Blind Video Temporal Consistency
Arxiv
3+阅读 · 2018年8月1日
VIP会员
相关VIP内容
深度学习可解释性研究进展
专知会员服务
103+阅读 · 2020年6月26日
FPGA加速系统开发工具设计:综述与实践
专知会员服务
69+阅读 · 2020年6月24日
最新《深度学习自动驾驶》技术综述论文,28页pdf
专知会员服务
156+阅读 · 2020年6月14日
最新《智能交通系统的深度强化学习》综述论文,22页pdf
大数据安全技术研究进展
专知会员服务
96+阅读 · 2020年5月2日
新时期我国信息技术产业的发展
专知会员服务
71+阅读 · 2020年1月18日
最新《分布式机器学习》论文综述最新DML进展,33页pdf
专知会员服务
121+阅读 · 2019年12月26日
相关资讯
CNCC技术论坛丨新型持久内存系统与安全
中国计算机学会
7+阅读 · 2019年9月15日
已删除
德先生
53+阅读 · 2019年4月28日
【智能驾驶】97页PPT,读懂自动驾驶全产业链发展!
区块链隐私保护研究综述——祝烈煌详解
计算机研究与发展
23+阅读 · 2018年11月28日
【优青论文】视觉问答技术研究
计算机研究与发展
13+阅读 · 2018年9月21日
中科院赵地:深度学习在 4 大超声影像中的应用
AI掘金志
9+阅读 · 2017年12月17日
综述——隐私保护集合交集计算技术研究
计算机研究与发展
22+阅读 · 2017年10月24日
李克强:智能车辆运动控制研究综述
厚势
21+阅读 · 2017年10月17日
基于深度学习的肿瘤图像分割研究取得进展
中科院之声
17+阅读 · 2017年9月17日
Top
微信扫码咨询专知VIP会员