燃烧吧小宇宙!能量供给系统新支持——微尺度燃烧

2017 年 9 月 1 日 科学出版社 潘剑锋 等


在微加工技术强有力的推动下,微型机械和机电产品的开发获得持续的突破,并已在航空航天、生物医学、汽车、军事等领域展现出广阔的应用前景。但其动力供给部分研究却未能获得大的进展,致使完整的装置过大、过重或者不能长时间工作,这也日益成为微型机电系统进一步发展和推广的瓶颈。近年来,得益于功率密度高、供电时间长以及体积小等一系列优点,一些基于碳氢燃料燃烧的微型动力系统引起了研究人员的浓厚兴趣。自美国麻省理工学院(MIT)的Epstein等首次提出了“Power MEMS”的概念后,多种结构型式的微型动力装置被相继开发,它们在MEMS 动力问题的解决上被寄予厚望,且其潜在应用场合也已向便携式电子器件、无线通信设备、士兵单兵作战、微型无人飞行器等领域迅速拓展。


作为各类微型动力装置的主要部件,微型燃烧器的工作性能对于系统的整体效率和功率密度至关重要。然而,当燃烧器微型化后,面容比的大幅提高,不可避免地加剧了散热损失,而火焰传播过程的自由基也会因容易与壁面发生碰撞而失活,这些均造成了燃烧过程不稳定甚至淬熄现象的发生。同时,尺度效应还将带来混合物驻留时间缩短的问题,从而增加了燃烧反应的不完全程度。作为基础燃烧理论研究领域的一个独特分支,微尺度燃烧过程已呈现出与常规尺度明显不同的特点。因此,该类研究对于燃烧基础理论的丰富以及高效微型动力装置开发进程的加速,均会带来积极的推动作用。


微尺度燃烧是什么?


由于燃烧的定义很明确,微尺度燃烧的定义主要由如何定义微尺度所决定。目前,微尺度的定义方法通常有三种。第一种定义方法是根据燃烧室结构大小来定义,即燃烧室实际特征尺寸小于1mm 就叫做微尺度燃烧,燃烧室实际大小在1mm~1cm 则称之为小尺度燃烧。这种定义方法广泛地应用于微型发动机领域。第二种定义方法是利用火焰淬熄距离来定义。如果燃烧室尺寸小于火焰淬熄距离,就称之为微尺度燃烧。这种定义方法因其更适合基础性研究,受到科研工作者的青睐。然而,火焰淬熄距离会因燃料组分及燃烧室壁面特性(温度和材料表面活性)的不同而不同,所以很难定量地定义微尺度和小尺度的差别。第三种定义微尺度的方法是将燃烧器与常规尺度装置的燃烧器进行对比。例如,用于微型卫星的微型燃烧器,其尺寸就不一定是微尺度级别的,只要它用于相比传统卫星(大约1000kg)小得多的微型卫星(重量大约10~100kg)就可以称其为微型燃烧装置。因此,这种定义方法常常用于开发卫星推进器的情况。

 

微尺度燃烧的特点和面临的挑战

 

动力系统的目标是高能密度和高效率,这意味着对于有旋转和往复运动部件的动力系统,需要达到相当高的转速和频率,也就带来了一系列如材料选择、制造、装配和摩擦等问题。对于热机,需要选择耐高温的材料,同时又需将高温部分和低温部分有效地隔离,这在微尺度机械装置上是非常有挑战性的,特别是当使用硅之类的高热传导材料时更是如此。此外,流体泄漏也是需考虑的问题。


材料与加工


常规发动机燃烧器所用的材料一般为铸铁或铝合金,部分零件则使用钛、镍钴合金等,但这些材料对温度和应力都有严格的限制。所以在常规发动机中都有较强的冷却系统来降低燃烧器壁面的温度。而且,冷却系统要带走燃烧器中的一部分热量,从而进一步降低了燃烧器的效率。由于微型发动机的体积很小,冷却系统的设计比较困难,这就使燃烧器的壁面温度急剧升高,所以制造微型燃烧器的材料必须具有较强的耐高温性能。近几年研究出来的耐火陶瓷(如氮化硅(Si3N4)和碳化硅(SiC))在微尺寸范围内具有承受应力高、可适应温度范围广、机械性能和抗几何变形能力强等优点。这正是微型发动机燃烧器的壁面材料所应具有的性能。

 

常规发动机零部件的加工精度一般在毫米级,而微型发动机零部件的尺寸都在10~100μm级,个别部件的加工尺寸甚至只有几个微米。在这么小的基准尺寸上要保持较高的加工精度,其难度是可想而知的。所以不能使用常规的机械加工方法来制造微型发动机的零部件。对此只能使用等离子体增强化学气相沉积(PECVD)技术、深度活性离子蚀刻技术、电子放电技术以及电化学加工(EFBA)技术等才能达到这样的加工精度。


驻留时间


在微型发动机燃烧器中最重要、最具有技术挑战性的一点就是如何提高和分配燃烧的驻留时间。驻留时间一般包括燃料的混合时间和化学反应所用的时间。其中,化学反应所需的时间大约为几十微秒,大部分时间都用于燃料的混合。如果常规的燃烧器的容积变为1/500,并保持相同的单位面积质量流率,那么在微型燃烧器内的驻留时间就为0.05~0.1ms。这和碳氢燃料的化学反应特征时间(0.01~0.1ms)处于同一量级上。显然,在这么短的驻留时间内保证燃料的混合和燃烧是一项艰巨的任务。

 

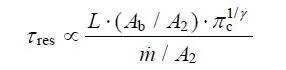
1992 年,Kerrebrock 给出了燃烧器驻留时间的简化公式



式中,L 为长度;Ab 为燃烧器横截面积;A2 为压缩器流通面积;πc为压缩比;γ为多变指数;为空气流通速率;τres为驻留时间。


由上式可知:假设两者的单位面积质量流率/A2 相同,那么压缩器的流通面积A2 和燃烧器的长度L 受发动机的总体尺寸的约束以及多变指数γ 基本上都保持不变。因此,只有增大燃烧器相对于发动机的尺寸Ab 才能提高燃烧的驻留时间,从而保证燃料在燃烧器内充分燃烧。

 

另一方面,可以从降低燃料在燃烧器内的混合时间以及燃料本身的燃烧时间的角度来缩短燃料燃烧所需的驻留时间,从而使燃料在微型燃烧器内进行充分燃烧。例如,采取稀燃技术、提高燃烧器内的工作压力和混合气体温度以及在燃料和空气进入燃烧室前就将两者进行充分地混合等方法,都可以降低燃料的混合时间。在降低燃料的燃烧时间方面,可以采用催化燃烧或者使用燃烧时间更短的新型燃料。


大的面积-体积比造成的传热损失


大的传热损失不仅降低微型发动机燃烧器的效率,而且还影响燃料燃烧的稳定性。在微型燃烧器中要使燃料充分地燃烧,就必须保证有足够的燃烧驻留时间来使燃料进行混合和燃烧,这样就不可避免地要增大微型燃烧器的面积-体积比。因此,要减少传热损失就得从以下几个方面来考虑:①降低燃烧混合气体与燃烧器壁面之间的温差,这可以减少由于温差传热造成的热量损失。为此我们应尽量使用不用冷却的耐火陶瓷,从而提高燃烧器壁面的温度来降低两者之间的温差。②使用催化燃烧可以降低燃料的着火温度,进而可以降低整个燃烧器内的温度,减少传热损失。③由于传热速率与气体的流速以及传热距离成正比而与气体的运动黏度成反比,因此降低进入燃烧器的混合气体的流速、合理设置燃烧火焰中心的位置以及使用适当的混合气体浓度都可以降低传热速率,从而减少传热损失。

 

另外,需要说明的是,一些带转动部件的动力系统由于中心转子的质量很轻,若要输出较大功率,转子速度会非常高。如麻省理工学院所研究过的微型燃气轮机,当输出功率为10W 以上时,其转子的转速度达到106 r/min 以上,而且在距离很小的动叶片和静叶片的基片之间存在流体力学中的缝隙效应,即动叶片和静叶片的相对速度越大,中间流体的黏性系数越大,产生的摩擦热就越大,这又反过来增加中间流体的黏性系数,因此,很容易产生过热而烧毁材料。




《微尺度燃烧及其应用》

作者:潘剑锋,唐爱坤,邵霞

责编:李涪汁,沈旭

北京:科学出版社,2017.7

ISBN:978-7-03-052978-7


《微尺度燃烧及其应用》针对微小通道内的燃烧过程,在介绍研究现状的基础上,对微型动力装置的发展动态进行综述,并着重介绍课题组十多年来的研究工作。全书共分6章:第1章主要介绍微尺度燃烧的背景、定义、特点和面临的挑战以及国内外的研究进展;第2章对课题组在微尺度燃烧过程中所采用的实验和数值模拟研究方法进行介绍;第3章通过实验测试的方法,分析不同气体燃料在平板式微燃烧室中的可燃界限和火焰传播特性;第4章讨论燃烧室形状、混合气体流速和当量比、壁面材料以及燃料种类等对微尺度燃烧过程的影响;第5章剖析微型燃烧器中内部流场的合理组织、多孔介质燃烧、过量焓燃烧、催化燃烧以及掺氢燃料燃烧等方法的实施效果和强化作用机制;第6章对几种常见微型动力装置的工作原理、特点以及发展动态进行了简要的介绍。


(本期责编:李文超)




一起阅读科学!

科学出版社│微信ID:sciencepress-cspm

专业品质  学术价值

原创好读  科学品味

点击“阅读原文”可购买本书

登录查看更多
0

相关内容

【ICML2020】持续图神经网络,Continuous Graph Neural Networks
专知会员服务
151+阅读 · 2020年6月28日
2019中国硬科技发展白皮书 193页
专知会员服务
86+阅读 · 2019年12月13日
丘成桐:攻克物理难题的数学大师
科技导报
5+阅读 · 2018年7月23日
进攻机动作战中的机器人集群
无人机
31+阅读 · 2017年12月4日
一张通往计算机世界的地图
中科院物理所
8+阅读 · 2017年10月12日
Graph Analysis and Graph Pooling in the Spatial Domain
Arxiv
4+阅读 · 2018年4月30日
Arxiv
3+阅读 · 2017年12月18日
VIP会员
相关资讯
丘成桐:攻克物理难题的数学大师
科技导报
5+阅读 · 2018年7月23日
进攻机动作战中的机器人集群
无人机
31+阅读 · 2017年12月4日
一张通往计算机世界的地图
中科院物理所
8+阅读 · 2017年10月12日
相关论文
Graph Analysis and Graph Pooling in the Spatial Domain
Arxiv
4+阅读 · 2018年4月30日
Arxiv
3+阅读 · 2017年12月18日
Top
微信扫码咨询专知VIP会员