CVPR2019 | OCGAN: 使用具有约束潜在表示的GAN的一类新颖性检测

2019 年 4 月 28 日 极市平台

加入极市专业CV交流群,与6000+来自腾讯,华为,百度,北大,清华,中科院等名企名校视觉开发者互动交流!更有机会与李开复老师等大牛群内互动!

同时提供每月大咖直播分享、真实项目需求对接、干货资讯汇总,行业技术交流点击文末“阅读原文”立刻申请入群~

CVPR2019 accepted list 已经发布,极市已将目前收集到的公开论文总结到github上(目前已收集510篇),后续会不断更新,欢迎关注,也欢迎大家提交自己的论文:

https://github.com/extreme-assistant/cvpr2019

作者 | 另半夏

来源 | https://zhuanlan.zhihu.com/p/61935975


最近刷文献看到了CVPR19接收的一篇论文:《OCGAN: One-class Novelty Detection Using GANs with Constrained Latent Representations》。作者来自约翰霍普金斯大学。正好自己做的方向也是异常行为检测,就解读一下这篇文章。


论文链接:https://arxiv.org/abs/1903.08550


1. Novelty Detection

中文翻译过来 新奇检测,不完全等同于异常检测。通俗来讲就是训练样本中只有单类(one-class)样本,测试中需要检测到不属于该类的样本。常用的方法有基于差异度量(重构误差)和基于分布(GMM)。对于基于距离度量方法,常用就是auto-encoder,通过单类样本训练一个AE,我们期望它对该类重构的误差越小越好,同时对于其他类样本,由于训练过程中没有见过,产生的重构误差应该较大。


但这有个问题,AE的capacity比较强,很难保证对于其他类样本重构较差,这在其他文献中也有出现。该文作者发现,我们不仅需要1)单类样本在隐空间(latent space)中被很好表示,2)同时希望其他类样本在该空间不能被很好表示。之前的工作大部分局限在前半部分1),而忽视了后半部分2)。基于此,作者提出自己的构想--->>如果整个隐空间被限制为表示给定类的图像,那么其他类(outof- class)样本的表示将认为在该空间几乎不存在(minimal)——从而为它们产生很高重构误差。


2. OCGAN

OCGAN有四部分组成:

①去噪编码器(denoising ae) ②隐判别器(latent discriminator)

③图像判别器(visual discriminator) ④分类器(classifier)



我们一一讲解其作用。


1、去噪编码器(denoising AE)


AE的主要作用就是学习特征表示(feature representation)。其瓶颈层的输出即为表示,其所在空间即为隐空间。为了使得隐空间有界,作者使用了tanh,将其空间的值限定在[-1,1]。该AE的loss即为均方误差(mse)。



BTW:使用去噪AE的原因是因为去噪AE可以降低过拟合,提高泛化能力。


2. 隐判别器(latent discriminator)



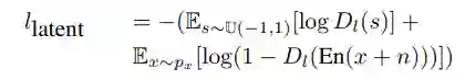
如前所述,该动机是获得一个隐空间,空间中的每个实例表示给定类的图像。如果给定类的表示仅限于潜在空间的子区域,则无法实现此目标。因此,我们显式地强制给定类的表示均匀的分布在整个隐空间。做法如下:


构建一个判别器  ,来判别给定类的表示和来在 的样本。其损失函数:



3. 图像判别器(visual discriminator)



动机:隐空间的所有样本通过decoder(或者叫generator)生成的图像应该来自于给定类的图像的空间。为了满足这个约束,构建第二个判别器,来判别给定类的图像和从隐空间随机采样通过decoder之后生成的图像。损失函数如下:



至此构成整个论文的核心。但是作者发现,即使这样,从隐空间中采样生成的图像有时候也很难对应于给定类图像。这是因为隐空间太大了,完全采样到是不可能的。于是不如主动去发现隐空间中的那些产生poor的图像的区域。


4. 分类器



分类器的作用是判别生成的图像和给定类的图像的相似度。使用给定类图像作为正样本,生成图像作为负样本。该分类器的损失函数为二类交叉熵(BCE)。

这个部分说的比较绕口,大家还是去看原文吧。。。。2333


5. 最终结构



训练方式如下:



交替优化的方式:

第一步 固定住除分类器之外的所有部件。优化分类器

第二部 固定分类器,优化AE和判别器。

网络结构不做过大阐述了,参考原文吧。


3. Experiment

罗列一些实验结果



消融实验:



个人感觉这个论文创意是很不错的,很大程度了弥补了之前novelty detection方法的不足。也希望志同道合的小伙伴一起讨论。





*延伸阅读

时序数据异常检测工具/数据集大列表

CVPR2019 论文解读汇总(更新中)



点击左下角阅读原文”,即可申请加入极市目标跟踪、目标检测、工业检测、人脸方向、视觉竞赛等技术交流群,更有每月大咖直播分享、真实项目需求对接、干货资讯汇总,行业技术交流,一起来让思想之光照的更远吧~


△长按关注极市平台


觉得有用麻烦给个好看啦~  

登录查看更多
23

相关内容

【CMU】基于图神经网络的联合检测与多目标跟踪
专知会员服务
59+阅读 · 2020年6月24日
专知会员服务
109+阅读 · 2020年5月21日
姿势服装随心换-CVPR2019
专知会员服务
36+阅读 · 2020年1月26日
CVPR2019 oral | CPNet : 对应提议网络
极市平台
4+阅读 · 2019年6月17日
万字综述之生成对抗网络(GAN)
PaperWeekly
43+阅读 · 2019年3月19日
ST-CGAN 用GAN实现阴影检测和阴影去除
极市平台
7+阅读 · 2017年12月14日
Arxiv
4+阅读 · 2018年3月23日
VIP会员
相关VIP内容
【CMU】基于图神经网络的联合检测与多目标跟踪
专知会员服务
59+阅读 · 2020年6月24日
专知会员服务
109+阅读 · 2020年5月21日
姿势服装随心换-CVPR2019
专知会员服务
36+阅读 · 2020年1月26日
Top
微信扫码咨询专知VIP会员