DQN系列(1):Double Q-learning

2019 年 12 月 24 日 深度强化学习实验室

深度强化学习实验室报道

作者:DeepRL

论文地址: https://papers.nips.cc/paper/3964-double-q-learning.pdf

本论文由DeepMind发表于2015年NIPS的一篇论文,作者Hasselt。

前言: Q-Learning算法由于受到大规模的动作值过估计(overestimation)而出现不稳定和效果不佳等现象的存在,而导致overestimation的主要原因来自于最大化值函数(max)逼近,该过程目标是为了最大的累计期望奖励,而在这个过程中产生了正向偏差。而本文章作者巧妙的是使用了两个估计器(double estimator)去计算Q-learning的值函数,作者将这种方法定义了一个名字叫“Double Q-learning”(本质上一个off-policy算法),并对其收敛过程进行了证明(缺点:当然double Q-learning算法有时会低估动作值,但不会像Q学习那样遭受过高估计)

1. 问题及原因

"过估计" (overestimate)

过估计是指对一系列数先求最大值再求平均,通常比先求平均再求最大值要大(或相等,数学表达为:

一般来说Q-learning方法导致overestimation的原因归结于其更新过程,其表达为:

其中的   表示为最大化action-value, 而更新最优化过程如下:

对于任意的  来说,最优值函数   的更新依赖于  , 从公式中可以看出,我们把N个Q值先通过取max操作之后,然后求平均(期望),会比我们先算出N个Q值取了期望之后再max要大。这就是overestimate的原因。

注: 一般用于加速Q-learning算法的方法有:Delayed Q-learning, Phased Q-learning, Fitted Q-iteration等

2. Estimator原理与思想

通常情况下对于一个集合中的变量  来说,奖励的最大化累计期望表示为:

那么在实际的过程中,对于每个  ,我们定义  为采样,其中的   表示为对于所有 采样的一个子集,假设   满足独立同分布情况, 那么期望值的“无偏估计”可以通过计算每个变量的样本平均值来获得,其计算方法如下:

注:   是   的估计器

这个过程是一个无偏估计,因为每一个采样  是一个对   的无偏估计,因此,近似中的误差仅由估计中的 “方差“ 组成,当我们获得更多样本时会减小。

为了后面方便理解,这里我们定义两个函数:概率密度函数”(Probability Density Function, PDF)和“累积分布函数”(Cumulative Distribution Function, CDF),概率密度函数 表示 个  ,则累积分布函数表示为:  ,同样的道理,对于PDF和CDF来说估计器分别表示为

补充1. 概率密度函数, 其实就是给定一个值, 判断这个值在该正态分布中所在的位置后, 获得其他数据高于该值或低于该值的比例,其中的曲线就是概率密度函数(PDF),通常情况下pdf的曲线下面积(AUC)总和为1,且曲线末端不会接触到x轴(换句话说, 我们不可能100%的确定某件事)。

2. 累积分布函数累积分布函数 (CDF) 计算给定 x 值的累积概率。可使用 CDF 确定取自总体的随机观测值将小于或等于特定值的概率。还可以使用此信息来确定观测值将大于特定值或介于两个值之间的概率。例如,罐装苏打水的填充重量服从正态分布,且均值为 12 盎司,标准差为 0.25 盎司。概率密度函数 (PDF) 描述了填充重量的可能值的可能性。CDF 提供每个 x 值的累积概率。此处参考PDF-CDF指导

(1)单估计器方法(Single Estimator)

所谓的单估计就是使用一组估计量的最大值作为近似值,

即近似 的最好的方式就是最大化估计器,表示为:

表示为估计器,而此处对于最大的估计器 来说,它是依赖于   的,若要求取PDF,首先需要考虑CDF,但它的概率分布中最大的估计器小于等于 ,这等同于所有的估计均小于等于 ,数学表示为:

那么 是对的无偏估计,详细表示为:

(2)双估计器方法(Double Estimator)

对每个变量使用两个估计器,并将估计器的选择与其值解耦。

问题单一估计器方法导致过高估计可能会对使用此方法的算法(例如Q学习)产生很大的负面影响。为了解决这个问题,double estimator方法用来解决过高估计。

那么对于原来的  来说,此处我们需要定义两个估计器: ,他们分别表示为: ,然后两个估计器都使用采样的样本子集来更新,其规则表示为:

那么像单估计器 一样,如果我们假设样本以适当的方式(例如随机地)分布在两组估计器上,则 也都是无偏的。设  为  中最大估计值集合,由于 是一个独立的无偏估计值,那么  对于任何 都成立,包括 

此处有疑问,为什么包括

 是最大化   的估计器,表示为:,如果存在多个最大化的  是最大化估计量,我们可以例如随机选择一个,然后我们可以将 用作 的估计值,那么对于 可以近似为:

随着我们获得更多的样本,估计量的方差减小,在极限情况下,

具体证明过程部分如下:

3. Double Q-learning算法

我们可以解释为 Q-learning学习其实使用单估计器(single estimate)去估计下一个状态:那么 是  的一个估计,一般的,将期望理解为对同一实验的所有可能运行的平均,而不是(通常在强化学习环境中使用)对下一个状态的期望,根据原理部分,Double Q-learning将使用两个函数  (对应两个估计器),并且每个 函数都会使用另一个 函数的值更新下一个状态。两个 函数都必须从不同的经验集中学习,这一点很重要,但是要选择要执行的动作可以同时使用两个值函数。 因此,该算法的数据效率不低于Q学习。 在实验中作者为每个动作计算了两个Q值的平均值,然后对所得的平均Q值进行了贪婪探索。算法伪代码如下

为了区分Double Q-learning算法和Q-learning的区别,本文同样Q-learning算法伪代码贴出来了。

对比:此处对于Q-learning算法和double Q-learning 算法来说,double使用了B网络来更新A网络,同样的道理对于B网络则使用A网络的值来更新。

4. 实验过程于结果

在这里插入图片描述

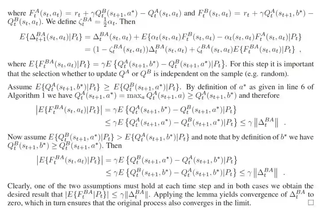
5. 附录:收敛性证明过程

对于Double Q-learning收敛性的证明过程如下:

原文博客地址:

https://blog.csdn.net/gsww404/article/details/103413124


# 往期论文精彩回顾#

第37篇:从Paper到Coding, 一览DRL挑战34类游戏

第36篇:复现"深度强化学习"论文的经验之谈

第35篇:α-Rank算法之DeepMind及Huawei的改进

第34篇:DeepMind-102页深度强化学习PPT(2019)

第33篇:全网首发|| 最全深度强化学习资料(永久更新)

第32篇:腾讯AI Lab强化学习招聘(正式/实习)

第31篇:强化学习,路在何方?

第30篇:强化学习的三种范例

第29篇:框架ES-MAML:进化策略的元学习方法

第28篇:138页“策略优化”PPT--Pieter Abbeel

第27篇:迁移学习在强化学习中的应用及最新进展

第26篇:深入理解Hindsight Experience Replay

第25篇:10项【深度强化学习】赛事汇总

第24篇:DRL实验中到底需要多少个随机种子?

第23篇:142页"ICML会议"强化学习笔记

第22篇:通过深度强化学习实现通用量子控制

第21篇:《深度强化学习》面试题汇总

第20篇:《深度强化学习》招聘汇总(13家企业)

第19篇:解决反馈稀疏问题之HER原理与代码实现

第18篇:"DeepRacer" —顶级深度强化学习挑战赛

第17篇:AI Paper | 几个实用工具推荐

第16篇:AI领域:如何做优秀研究并写高水平论文?

第15篇: DeepMind开源三大新框架!
第14篇: 61篇NIPS2019深度强化学习论文及部分解读
第13篇: OpenSpiel(28种DRL环境+24种DRL算法)
第12篇: 模块化和快速原型设计的Huskarl DRL框架
第11篇: DRL在Unity自行车环境中配置与实践
第10篇: 解读72篇DeepMind深度强化学习论文
第9篇: 《AutoML》:一份自动化调参的指导
第8篇: ReinforceJS库(动态展示DP、TD、DQN)
第7篇: 10年NIPS顶会DRL论文(100多篇)汇总
第6篇: ICML2019-深度强化学习文章汇总
第5篇: 深度强化学习在阿里巴巴的技术演进
第4篇: 深度强化学习十大原则
第3篇: “超参数”自动化设置方法---DeepHyper
第2篇: 深度强化学习的加速方法
第1篇: 深入浅出解读"多巴胺(Dopamine)论文"、环境配置和实例分析


第11期论文:2019-12-19(3篇,一篇OpennAI,一篇Nvidia)

第10期论文:2019-12-13(8篇)

第9期论文:2019-12-3(3篇)

第8期论文:2019-11-18(5篇)

第7期论文:2019-11-15(6篇)

第6期论文:2019-11-08(2篇)

第5期论文:2019-11-07(5篇,一篇DeepMind发表)

第4期论文:2019-11-05(4篇)

第3期论文:2019-11-04(6篇)

第2期论文:2019-11-03(3篇)

第1期论文:2019-11-02(5篇)


登录查看更多
0

相关内容

因果关联学习,Causal Relational Learning
专知会员服务
185+阅读 · 2020年4月21日
深度强化学习策略梯度教程,53页ppt
专知会员服务
184+阅读 · 2020年2月1日
强化学习扫盲贴:从Q-learning到DQN
夕小瑶的卖萌屋
52+阅读 · 2019年10月13日
【重磅】61篇NIPS2019深度强化学习论文及部分解读
AI科技评论
15+阅读 · 2019年9月9日
RL 真经
CreateAMind
5+阅读 · 2018年12月28日
蒙特卡罗方法(Monte Carlo Methods)
数据挖掘入门与实战
6+阅读 · 2018年4月22日
入门 | 通过 Q-learning 深入理解强化学习
机器之心
12+阅读 · 2018年4月17日
一个强化学习 Q-learning 算法的简明教程
数据挖掘入门与实战
10+阅读 · 2018年3月18日
从零开始学习「张氏相机标定法」(四)优化算法前传
计算机视觉life
4+阅读 · 2018年3月14日
一文学习基于蒙特卡罗的强化学习方法(送书)
人工智能头条
7+阅读 · 2018年3月13日
Arxiv
4+阅读 · 2018年10月5日
Hierarchical Deep Multiagent Reinforcement Learning
Arxiv
8+阅读 · 2018年9月25日
Arxiv
11+阅读 · 2018年4月25日
VIP会员
相关VIP内容
因果关联学习,Causal Relational Learning
专知会员服务
185+阅读 · 2020年4月21日
深度强化学习策略梯度教程,53页ppt
专知会员服务
184+阅读 · 2020年2月1日
相关资讯
强化学习扫盲贴:从Q-learning到DQN
夕小瑶的卖萌屋
52+阅读 · 2019年10月13日
【重磅】61篇NIPS2019深度强化学习论文及部分解读
AI科技评论
15+阅读 · 2019年9月9日
RL 真经
CreateAMind
5+阅读 · 2018年12月28日
蒙特卡罗方法(Monte Carlo Methods)
数据挖掘入门与实战
6+阅读 · 2018年4月22日
入门 | 通过 Q-learning 深入理解强化学习
机器之心
12+阅读 · 2018年4月17日
一个强化学习 Q-learning 算法的简明教程
数据挖掘入门与实战
10+阅读 · 2018年3月18日
从零开始学习「张氏相机标定法」(四)优化算法前传
计算机视觉life
4+阅读 · 2018年3月14日
一文学习基于蒙特卡罗的强化学习方法(送书)
人工智能头条
7+阅读 · 2018年3月13日
Top
微信扫码咨询专知VIP会员