更自由的GAN图像联想:无监督跨类的图像转换模型FUNIT,英伟达&康奈尔大学

2019 年 6 月 24 日 极市平台

加入极市专业CV交流群,与6000+来自腾讯,华为,百度,北大,清华,中科院等名企名校视觉开发者互动交流!更有机会与李开复老师等大牛群内互动!

同时提供每月大咖直播分享、真实项目需求对接、干货资讯汇总,行业技术交流点击文末“阅读原文”立刻申请入群~


来源:David 9的博客

已获作者授权,请勿二次转载

想要释放模型的威力,可以尝试解放其输入的自由度,要知道,婴儿对外界各种形式信息从来都是来者不拒 ——David 9


如果你没看到过老虎坐着的样子,但是你看到过其他小动物坐着的样子,你很自然地联想到老虎坐着应该是什么样子(如下图片所示)。



然而要让模型跨类转换图像,就没有那么容易,英伟达&康奈尔大学使用的FUNIT模型的图像生成任务如下:


来自: https://arxiv.org/pdf/1905.01723.pdf

项目地址:https://nvlabs.github.io/FUNIT/

随意抽取一张原内容图片(Content image), 同时给出你想要转换到的目标类别(Target class),最后,需要由模型把原图片转换成目标类别的独特属性。如果你有一张小狗的图片,模型可以为你联想这只小狗“进化”成狮子会是什么样?


FUNIT训练框架如下:


来自: https://www.youtube.com/watch?v=kgPAqsC8PLM

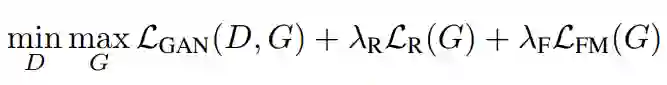
模型分3大块:内容编码器(Content Encoder), 类别编码器(Class Encoder)以及总解码器(Decoder)。当然,要通过这三个组件构造老套的GAN训练平衡,总的Loss函数如下:



其中3项分别表示GAN的loss图像本身构图的loss, 以及特征匹配的loss 。


其中,


1. GAN的loss保证生成器和判别器之间的博弈,即,生成器竭力生成与目标类别相似的图像让判别器无法判断;判别器要竭力区分不同类别图片之间的区别。


2. 图像本身构图的loss保证生成的图像要像原图片的构图,即,转换后的图像要在内容上像转换前的图像(虽然类别性质明显不同)。


3. 特征匹配的loss用来给整个训练加上正则,保证生成的图像用cnn编码的倒数几层的特征值,与目标类别图像cnn倒数几层的特征值相似,即,生成图像与目标类别中的图像也都是相似的。


整个模型的源代码还没有完全公开,大家可以关注以下链接,有新进展可以联系作者一起讨论成长

https://github.com/nvlabs/FUNIT/, 

 

 

参考文献:

  1. https://nvlabs.github.io/FUNIT/

  2. https://arxiv.org/abs/1905.08233

  3. https://www.youtube.com/watch?v=kgPAqsC8PLM


本文采用署名 – 非商业性使用 – 禁止演绎 3.0 中国大陆许可协议进行许可。著作权属于“David 9的博客”原创,如需转载,请联系微信:david9ml,或邮箱:yanchao727@gmail.com


原文:

http://nooverfit.com/wp/%E4%B8%8D%E5%8F%98%E4%BF%A1%E6%81%AF%E8%81%9A%E7%B1%BB%EF%BC%9A%E6%BB%A1%E8%B6%B3%E4%BD%A0%E5%AF%B9%E6%97%A0%E7%9B%91%E7%9D%A3%E6%B7%B1%E5%BA%A6%E8%81%9A%E7%B1%BB%E7%9A%84%E4%B8%80%E7%82%B9/





*延伸阅读



点击左下角阅读原文”,即可申请加入极市目标跟踪、目标检测、工业检测、人脸方向、视觉竞赛等技术交流群,更有每月大咖直播分享、真实项目需求对接、干货资讯汇总,行业技术交流,一起来让思想之光照的更远吧~



觉得有用麻烦给个在看啦~  

登录查看更多
3

相关内容

 【SIGGRAPH 2020】人像阴影处理,Portrait Shadow Manipulation
专知会员服务
29+阅读 · 2020年5月19日
自回归模型:PixelCNN
专知会员服务
27+阅读 · 2020年3月21日
【GitHub实战】Pytorch实现的小样本逼真的视频到视频转换
专知会员服务
36+阅读 · 2019年12月15日
【ICIP2019教程-NVIDIA】图像到图像转换,附7份PPT下载
专知会员服务
55+阅读 · 2019年11月20日
GANs最新综述论文: 生成式对抗网络及其变种如何有用
专知会员服务
72+阅读 · 2019年10月19日
学习一个宫崎骏画风的图像风格转换GAN
AI科技评论
18+阅读 · 2020年3月13日
综述:基于GAN的图像翻译模型盘点
GAN生成式对抗网络
21+阅读 · 2019年9月2日
能生成逼真图像的不只有 GAN
机器学习算法与Python学习
8+阅读 · 2019年6月6日
【学界】英伟达又火了一篇图像转换论文,我们竟然用来吸猫
GAN生成式对抗网络
3+阅读 · 2019年5月10日
探幽深度生成模型的两种方法:VAE和GAN
AI前线
15+阅读 · 2018年3月10日
Arxiv
15+阅读 · 2019年11月26日
Seeing What a GAN Cannot Generate
Arxiv
8+阅读 · 2019年10月24日
Arxiv
4+阅读 · 2018年9月25日
Arxiv
5+阅读 · 2018年5月1日
Arxiv
7+阅读 · 2018年3月12日
VIP会员
相关VIP内容
相关资讯
相关论文
Arxiv
15+阅读 · 2019年11月26日
Seeing What a GAN Cannot Generate
Arxiv
8+阅读 · 2019年10月24日
Arxiv
4+阅读 · 2018年9月25日
Arxiv
5+阅读 · 2018年5月1日
Arxiv
7+阅读 · 2018年3月12日
Top
微信扫码咨询专知VIP会员