成为VIP会员查看完整内容
VIP会员码认证
首页
主题
发现
会员
服务
注册
·
登录
0
征文 | 我的童年与数学
2019 年 8 月 9 日
遇见数学
作者
我很低调
,本文参与遇见数学
#数学蒲公英#
第2次征文活动,参与链接请
点击这里
.
从童年的某一段时期开始,“数学”就突然变成了我心中的兴奋剂。它意味着“神秘”、“挑战”、“折磨”、“快感”、“满足”、“得意”,也意味着与同学的友谊、人生中第一次为了一种存在而奋斗,还有一颗赤子之心的诞生。
那是小学四年级暑假结束后的夏末,天空下着大雨,看了一个暑假动漫并疯狂买零食想要集齐整整一本《神奇宝贝》贴纸(打开袋子,零食倒给狗狗吃,我要贴纸。狗狗吃得拉肚子,我同样也没达到目的,长大后才知道那是多么大的一个坑)的我转学到了新的学校。学校里那棵存在了几十年的高大蜈柳树(枫杨树)绿油油的,一如整个校园里旺盛的孩童生机,也包括了我。
数学课老师,是位姓孙的女老师,曾经是教高中的,带着一副近视眼镜,很和善。是她把我带进了“数学”这个“坑”。
每当开始讲新的单元,老师总会让我们熟练背诵其中的全部概念(背的时候,大家就像小麻雀一样,一派热闹景象,犹如小镇里繁华的街道,与敷衍了事的课间操可不一样),现在想来对小学生而言是必须且行之有效的做法。解题的时候,我时常能从这些概念的定义中得到关于题中关系的启发,而不断的解题又加深了对概念的理解。
题目的来源,通常有三种。一是课本每部分内容后面的习题,二是老师复印的试卷,三是部分同学私下里遇到的不解之“迷”。无论“习题”还是“试卷”,在班上掀起风浪的总是最后两三道题,而同学带来的“私货”亦属同类(高中时买小学奥数教材给班上妹子恶补数学基础,才发现长得怎么看就怎么跟奥数题是一家子,越看越像)。老师上课的流程一般是:
将解新知识点,带着大家一起做一部分课后习题,
将剩下的习题连带着她复印的一张试卷(纸张是那种回收纸制造的复印纸,颜色不是白的,密度也更小,我很喜欢)一起留做家庭作业,
第二天一大早由课代表把作业带给老师批阅,
上课讲解作业(我始终觉得这时候才是在上课,将新知识点的时候只是顺带的而已)
老师经常诱导大家冒出头来“显摆”。有次班上某个脸蛋经常红扑扑的机智女生很淡定地把某道“找规律”的数列题给迅速抢先做了出来,顿时在大家的注释之下变得亮闪闪的。
放学回家后,最令我激动的就是最后那几道题。其他事懒得管,一溜烟就跑一边儿做作业去了。三下五除二把前面的题给打发了,做完一题就检验一题,忙完了就摩拳擦掌地围着后的几道题打转儿。这一转往往就是两三个小时(中途家长叫去吃饭,饿虎扑食一般草草了事),弄得自己面红耳赤的,但往往都能把问题成功解决,得意得不得了,感觉自己牛叉哄哄的,“世间高手千千万,我也能坐第一楼”~
第二天清晨来到学校,除了跟班里力气大的同学掰掰手腕儿或者领过让同学帮忙带的锅贴之外,就是跟几个同学核对答案。答案一样,看看你怎么个解法,我又是怎么个解法;答案不一样,那就得彼此说道说道了,你这思路有问题、有漏洞呀,应该怎样怎样呀,一阵阵的血液沸腾,谁都说服不了谁就一起冲进老师办公室找帮手。而这些压轴题,往往也是老师课堂上将会重点讲解的对象。
一旦老师说:“这道题班上有X个同学做出来了,XXX(同学)的是这样解的……”,就意味着又有人名声大噪,“响彻寰宇”。
有时候,老师讲题讲到一半,会说些题外话来舒缓课堂氛围。例如说说她在家里喜欢上网啊用QQ之类的,亦或是蜻蜓点水地提一点我们中学之后要学的数学内容,总能勾搭出我们的兴致,并在我们心里埋下一些伏笔让我们在今后的人生里亲自写下续篇。记得有一天,她说起世界上有人在比赛背诵圆周率,一副那很厉害的样子。我听了之后也感觉那是一件特牛叉的事,后来初一的时候硬是花了一个下午把圆周率给背到了小数点后面一百位,又听闻天文学上一般圆周率小数点后面9位就够用了,便没有再背下去。另外,那时对圆周率那么大反应,还有一层原因。
家父经常给我找一些旧书看,就是那种新中国成立之初的几十年里出的散文期刊与科普读物(后来一提到“旧书”,我的第一反应就是“有秘密,有宝贝”。如今,业余时间已在孔夫子旧书网开了家店铺),其中就有许多数学书,例如《祖冲之的故事》。这本书如今想来有点薄,但内容还是很充足的,而且有许多古风线描插图,在一定程度上引发了我后来对绘画的兴致。全书除了介绍祖冲之在求学、人品等方面的杰出之外,也讲述了他在水碓磨与天文等方面的贡献,更着重描写了他在圆周率上下的苦工与取得的先进成果。也许是对这本书的喜爱吧,连带着圆周率也成了心里别样的存在。
人很容易受到自己心喜之物(或人)的影响,而这种影响若是长期持续的话则往往可能对一生意义深远。那时在所有数学类的旧书之中,有一本习题集对我有着巨大的帮助,那便是《趣味数学》(Б. А.柯尔詹姆斯基 /著,张继武 程韬 /译,Е. К.阿尔古钦斯基 /绘图,少年儿童出版社,1961)。
这是苏联 Математическая смекалка 一书的选译本,分为10章,248个题目(往往从生活里遇到的情况引发出来),每道题都在书后有详细解答,以繁体字印刷而成(这也给我增加了新鲜感,并且使我掌握了认繁体字的诀窍:熟悉常见繁体偏旁部首,认字看个大概,带入所在词汇或语句中)。这本书,我一直收藏至今,里面的题对小学生乃至部分中学生而言还是有些困难的,刚开始容易考虑不周而做错,过了一两周就令我发现自己变得聪明机智了好多,也较少出错了。一如老师所倡导的那样,我一直喜欢用算术方法解,鲜少去走省时省力的列方程路线,因为算术方法更能锻炼思考能力并带来波涛浩瀚的乐趣。就像这本书的《前言》里说的那样:“我们无论做什么事,劳动、学习、游戏,都需要思考。
人的思考能力是随着年龄的增加逐渐在增长的,虽然如此,同年龄的人,思考能力可不完全相同:有人思考能力比较强,有人思考能力就比较差些。这是什么道理?当然有很多原因,其中一个原因是,有人经常在锻炼思考能力,有人却缺乏锻炼,经常在锻炼的人,思考能力就要强些,缺乏锻炼的人,思考能力就要差些”,正是这本书开启了我今后每接触一个新领域就积极“锻炼”的学习门径,而效果也往往颇佳。例如,每每接触到一个新的公式,总会想方设法去摸索解释一番。
记得孙老师曾介绍凸多边形内角和公式给我们,于是我就心里痒痒了吖,“这怎么推导出来的呢?”在接下来的几天里,我茶饭不思,心里那个咆哮吖,却不料居然在上厕所的时候给解决了,还真是被茅房给浇灌了一回。当时一边蹲着的我一边在想着那道公式到底怎么来的,脸往斜上方一侧,却见墙角处不知何时冒出的一个蜘蛛网从中心开始被许多蛛丝分割成了一个个三角形,而所有的三角形公用一个顶点构成了一个圆周角,n 条边就是 n 个三角形,一共 (180°·n),再减去这 n 个三角形位处蛛网中心的内角之和 360°,不就是那公式的由来了么!从此,我发现有的问题也许连续几天甚至几个月都令人一筹莫展,但它的答案可能只需要我们去某些地方溜达溜达便能灵感闪现,亦或是构造一个类似的其它场景来寻找突破的思路。
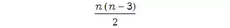
还有一次遇到一个让我们数多边形(隐约记得是五边形)对角线条数的题,做完之后听老师说还有公式可以直接算,新鲜~真是新鲜,兴奋之感节节攀升。放学回到家里给自己泡了一碗毛峰(家父喜欢。我时常拿来“漱漱口”,所以用碗“泡”)搁在桌子上,然后就在坐椅子上摆出各种姿势考虑多边形对角线怎么形成的(脑袋里不断地在连接着多边形的一个个顶点),一会儿翘着二郎腿,一会儿盘着腿,一会儿歪着身子把一只脚踩在椅子上单手撑着脸,一回儿又双手撑在桌上。终于,当我留意到每个顶点能引出的对角线是个定值并且每条对角线恰好被计算两次的时候,得到了想要的结果:
我开始模糊地意识到,也许任何问题都有一些关键性的东西,我们必须努力让自己的注意力逐渐能聚焦到这些东西。
除了家父找来的旧书之外,我偶尔也会带着攒了好几个星期的零花钱(大概五六十元的样子)在放学的路上去附近的新华书店转转,要么自己在里面挨个儿物色一遍,要么直接请店员推荐。印象很深的有三本书:
《无敌初中英语语法》
复旦大学出版社的《国际音标快速拼读法》
上海科技教育出版社出版的一本数学练习册(封面是绿色的,风格简约,每个单元的内容根据难度与类型分为固定的几个模块,由易到难,习题质量颇高,属于做起来会感到有些困难但耐住性子头大一把还是能做出来的那种,用上一段时间能显著提高解题能力)
滴答,滴答,缓步走在梧桐轻轻摇曳的街道上,阳光屡屡,树影斑驳,微风带来夏日的梦幻。
一天上午,去一位同学家里,像平日里午休时一样用象棋棋盘与棋子下了几盘五子棋(由于盘面有限,棋子数目也不多,所以每一步都必须非常谨慎,不然极容易导致全线崩溃。平时班上很流行这样玩)。临别前,他送了我一本薄薄的高年级用的集合论教材。而我,也开始期待起几十天后将要开始的中学生活······
时至今日,数学仍旧是我生活里努力钻研的目标之一,也是我的太阳!它不仅带来了精神上的锻炼与愉悦,解决了种种专业上的问题,也曾广了我的社交圈子,更成了一种情怀。
登录查看更多
点赞并收藏
0
暂时没有读者
0
权益说明
本文档仅做收录索引使用,若发现您的权益受到侵害,请立即联系客服(微信: zhuanzhi02,邮箱:bd@zhuanzhi.ai),我们会尽快为您处理
相关内容
数学
关注
103
数学是关于数量、结构、变化等主题的探索。
【开放书】生命建模——用数学工具探索生物系统,456页pdf
专知会员服务
107+阅读 · 2020年7月8日
【经典书】算法基础:打开算法之门,Algorithm unlocked,237页pdf
专知会员服务
147+阅读 · 2020年7月3日
【干货书】用Python构建聊天机器人,205页pdf,使用自然语言处理和机器学习
专知会员服务
220+阅读 · 2020年6月14日
《周志华机器学习详细公式推导版》完整PDF首发!1.1w+标星开源项目pumpkin-book
专知会员服务
286+阅读 · 2020年5月27日
【纽约大学】最新《离散数学》笔记,451页pdf
专知会员服务
131+阅读 · 2020年5月26日
一本有意思的书!《用Python做数学》,265页pdf使用编程探索代数,统计,微积分! Doing Math with Python: Use Programming to Explore Algebra, Statistics, Calculus, and More
专知会员服务
173+阅读 · 2020年4月27日
【经典】《上海交通大学生存手册》,一本让你在大学活出精彩的秘籍
专知会员服务
202+阅读 · 2020年4月18日
【经典重顾】如何学会读论文?三轮阅读法,滑铁卢大学S. Keshav
专知会员服务
82+阅读 · 2019年12月28日
【经典】深度学习数学宝典《深度学习所需要的矩阵微积分》
专知会员服务
286+阅读 · 2019年12月2日
992页《初等微积分:无穷小方法》(Elementary Calculus. An Infinitesimal Approach)书籍【附下载】
专知会员服务
26+阅读 · 2019年10月28日
被周志华机器学习“西瓜书”中数学公式难住了?“南瓜书”来帮你
新智元
15+阅读 · 2019年8月29日
「科学」27岁天才院士2拒诺奖,32岁神秘消失,让世界多等了70年
ZEALER订阅号
18+阅读 · 2019年5月5日
机器学习入门 | 刷新你三观的高数和线代教程
大数据技术
21+阅读 · 2019年3月22日
做机器学习和AI必备的42个数学知识点
AI前线
9+阅读 · 2018年12月6日
南大首届AI本科课程曝光:周志华为第一批00后,准备了大剂量烧脑数学
量子位
8+阅读 · 2018年9月3日
丘成桐:攻克物理难题的数学大师
科技导报
5+阅读 · 2018年7月23日
数学不好能搞人工智能吗?
算法与数学之美
3+阅读 · 2017年11月27日
图解高等数学|线性代数
遇见数学
39+阅读 · 2017年10月18日
大学数学不好,或许是数学教材的锅?
算法与数学之美
15+阅读 · 2017年8月1日
如何用Python从海量文本抽取主题?
AI研习社
7+阅读 · 2017年7月6日
Towards Making the Most of BERT in Neural Machine Translation
Arxiv
5+阅读 · 2020年3月26日
Graph Neural Tangent Kernel: Fusing Graph Neural Networks with Graph Kernels
Arxiv
8+阅读 · 2019年11月4日
PPO-CMA: Proximal Policy Optimization with Covariance Matrix Adaptation
Arxiv
8+阅读 · 2018年12月18日
Conditional BERT Contextual Augmentation
Arxiv
8+阅读 · 2018年12月17日
Stochastic Gradient Descent Optimizes Over-parameterized Deep ReLU Networks
Arxiv
8+阅读 · 2018年11月21日
Relational recurrent neural networks
Arxiv
8+阅读 · 2018年6月28日
Measurement-wise Occlusion in Multi-object Tracking
Arxiv
3+阅读 · 2018年5月21日
On the loss of Fisher information in some multi-object tracking observation models
Arxiv
3+阅读 · 2018年3月26日
Application of Rényi and Tsallis Entropies to Topic Modeling Optimization
Arxiv
6+阅读 · 2018年2月28日
Differentiable Dynamic Programming for Structured Prediction and Attention
Arxiv
56+阅读 · 2018年2月20日
VIP会员
自助开通(推荐)
客服开通
详情
相关主题
数学
数学基础
虎扑
注释(编程)
孔夫子旧书网
单元
相关VIP内容
【开放书】生命建模——用数学工具探索生物系统,456页pdf
专知会员服务
107+阅读 · 2020年7月8日
【经典书】算法基础:打开算法之门,Algorithm unlocked,237页pdf
专知会员服务
147+阅读 · 2020年7月3日
【干货书】用Python构建聊天机器人,205页pdf,使用自然语言处理和机器学习
专知会员服务
220+阅读 · 2020年6月14日
《周志华机器学习详细公式推导版》完整PDF首发!1.1w+标星开源项目pumpkin-book
专知会员服务
286+阅读 · 2020年5月27日
【纽约大学】最新《离散数学》笔记,451页pdf
专知会员服务
131+阅读 · 2020年5月26日
一本有意思的书!《用Python做数学》,265页pdf使用编程探索代数,统计,微积分! Doing Math with Python: Use Programming to Explore Algebra, Statistics, Calculus, and More
专知会员服务
173+阅读 · 2020年4月27日
【经典】《上海交通大学生存手册》,一本让你在大学活出精彩的秘籍
专知会员服务
202+阅读 · 2020年4月18日
【经典重顾】如何学会读论文?三轮阅读法,滑铁卢大学S. Keshav
专知会员服务
82+阅读 · 2019年12月28日
【经典】深度学习数学宝典《深度学习所需要的矩阵微积分》
专知会员服务
286+阅读 · 2019年12月2日
992页《初等微积分:无穷小方法》(Elementary Calculus. An Infinitesimal Approach)书籍【附下载】
专知会员服务
26+阅读 · 2019年10月28日
热门VIP内容
开通专知VIP会员 享更多权益服务
量子计算发展态势研究报告(2025年)
Video-LMM后训练:多模态大模型的视频推理深度解析
【CMU博士论文】用于提升含优化层学习的算法与体系结构
【NeurIPS2025】有何不同于过去?基于自监督偏差学习的时空时间序列预测
相关资讯
被周志华机器学习“西瓜书”中数学公式难住了?“南瓜书”来帮你
新智元
15+阅读 · 2019年8月29日
「科学」27岁天才院士2拒诺奖,32岁神秘消失,让世界多等了70年
ZEALER订阅号
18+阅读 · 2019年5月5日
机器学习入门 | 刷新你三观的高数和线代教程
大数据技术
21+阅读 · 2019年3月22日
做机器学习和AI必备的42个数学知识点
AI前线
9+阅读 · 2018年12月6日
南大首届AI本科课程曝光:周志华为第一批00后,准备了大剂量烧脑数学
量子位
8+阅读 · 2018年9月3日
丘成桐:攻克物理难题的数学大师
科技导报
5+阅读 · 2018年7月23日
数学不好能搞人工智能吗?
算法与数学之美
3+阅读 · 2017年11月27日
图解高等数学|线性代数
遇见数学
39+阅读 · 2017年10月18日
大学数学不好,或许是数学教材的锅?
算法与数学之美
15+阅读 · 2017年8月1日
如何用Python从海量文本抽取主题?
AI研习社
7+阅读 · 2017年7月6日
相关论文
Towards Making the Most of BERT in Neural Machine Translation
Arxiv
5+阅读 · 2020年3月26日
Graph Neural Tangent Kernel: Fusing Graph Neural Networks with Graph Kernels
Arxiv
8+阅读 · 2019年11月4日
PPO-CMA: Proximal Policy Optimization with Covariance Matrix Adaptation
Arxiv
8+阅读 · 2018年12月18日
Conditional BERT Contextual Augmentation
Arxiv
8+阅读 · 2018年12月17日
Stochastic Gradient Descent Optimizes Over-parameterized Deep ReLU Networks
Arxiv
8+阅读 · 2018年11月21日
Relational recurrent neural networks
Arxiv
8+阅读 · 2018年6月28日
Measurement-wise Occlusion in Multi-object Tracking
Arxiv
3+阅读 · 2018年5月21日
On the loss of Fisher information in some multi-object tracking observation models
Arxiv
3+阅读 · 2018年3月26日
Application of Rényi and Tsallis Entropies to Topic Modeling Optimization
Arxiv
6+阅读 · 2018年2月28日
Differentiable Dynamic Programming for Structured Prediction and Attention
Arxiv
56+阅读 · 2018年2月20日
大家都在搜
PINN
国防科技创新
最新文献
俄乌战争
NTU博士论文
朱克爱德华兹家族
操作系统
军民融合
久别重逢话双塔
精排模型-从MLP到行为序列:DIN、DIEN、MIMN、SIM、DSIN
Top
提示
微信扫码
咨询专知VIP会员与技术项目合作
(加微信请备注: "专知")
微信扫码咨询专知VIP会员
Top